Find Your Style
Women
Men
Accessories
Search for clothing, brands, styles...
×
Women
Men
Accessories
Javascript Calculator Project Interface Website
Search
Loading...
No suggestions found
[Solved] Management is considering a INR 100000 investment in a project ...
studocu.com
[Solved] Management is considering a INR 100000 investment in a project ...
studocu.com
Javascript Calculator example
rrtutors.com
Javascript Calculator example
rrtutors.com
Sketchub • JavaScript Interface example
web.sketchub.in
Sketchub • Calculator
web.sketchub.in
Getting Started with Kotlin: Modern Android Development
fita.in
Javascript Micro-Project - A Report on Basic Calculator by Suhas ...
studocu.com
Creating an E-commerce Product Filter with JavaScript
tutorjoes.in
JavaScript Frameworks: How to Select the Ideal One for Your Project
primathon.in
How to Program HTML Frames: Interface Design with JavaScript : Teague ...
amazon.in
Overview of Web-Architecture, HTML, CSS and JS
cwipedia.in
Porchys
porchys.in
SWP (Systematic Withdrawal Plan) Calculator Online - Pocketful
pocketful.in
ChatGPT quickstart for developers
abdullin.com
Gratuity Calculator India (FY 2025–26) | Calculate Tax-Free Gratuity
taxcalculators.in
What is data integration architecture? | Blog | Fivetran - EU-Vietnam ...
1985.co.in
Buy Button - Add Your Products to Any Website - Shopify India
shopify.com
Web 2.0 scientific calculator
web2.0calc.com
Divyal Technologies - Java
divyaltech.com
How CSS, JavaScript, & HTML make the best combo for frontend developme
content.techgig.com
Arduino Tinkercad Calculator Project: How to Build Calculator Circuit ...
amazon.in
Free CAT Mock Test 2024, Score 99 Percentile in CAT Exam
oliveboard.in
Project Report Scientific Calculator SUB - PROJECT REPORT ON SCIENTIFIC ...
studocu.com
JEE MAIN Mock Test Software :: Get Free demo now
justexam.in
RBI to Launch Pilot Project on Retail Digital Rupee on 1 December 2022
bankersadda.com
Project F.R.O.G. Apparel Collection release date. Nike SNKRS
nike.com
CGPA Calculator Project - CGPA CALCULATOR Table of contents 01 Abstract ...
studocu.com
Use the basic calculator on iPhone - Apple Support (IN)
support.apple.com
write a python program to find all roots of a quadratic equation ...
brainly.in
Project F.R.O.G. Apparel Collection release date. Nike SNKRS
nike.com
Project F.R.O.G. Apparel Collection release date. Nike SNKRS
nike.com
Project F.R.O.G. Apparel Collection release date. Nike SNKRS
nike.com
Project F.R.O.G. Apparel Collection release date. Nike SNKRS
nike.com
Hot Wheels 1:64 15 Jaguar F Type Project 7 HW Roadsters 3 Years & Above ...
amazon.in
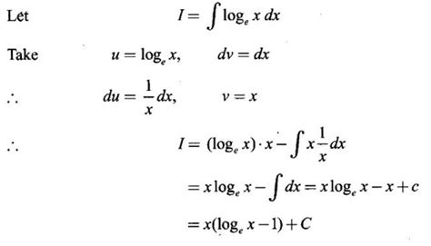
Integration by Parts - Worked Examples, Exercise with Answers ...
mech.poriyaan.in
Wah Notion Dummy Indian Currency Duplicate Money Notes Kids 100 Units ...
amazon.in
Bending Stresses in Beam | Bending Stresses Calculator | Simply ...
civildailyinfo.com
Gajendra Haldea
gajendrahaldea.in
Повна детальна інструкція для особистого асистента — Teletype
teletype.in
Comment faire un diagramme de flux de données | Lucidchart
lucidchart.com
Shure MVX2U XLR-to-USB Digital Interface with Headphone Jack ...
amazon.in
Project F.R.O.G. Apparel Collection release date. Nike SNKRS
nike.com
JavaScript vs TypeScript: Which One Should You Choose for Your Next ...
noobgeek.in
Vault Features | 2025 Features | Autodesk
autodesk.com
Project F.R.O.G. Apparel Collection release date. Nike SNKRS
nike.com
Project F.R.O.G. Apparel Collection release date. Nike SNKRS
nike.com
Entry #24 by freelancermonir9 for create online store project using ...
freelancer.in
Tutorial To Use PIC16F877A Microcontroller EEPROM, 48% OFF
iiitl.ac.in
那些好看又好用的 React 組件庫大集合 (含 Figma 模板)| Yuanlin Lin 林沅霖
yual.in
Darshan's CL-CY-001 course work. | UVCE MARVEL
hub.uvcemarvel.in
Pyproject - code - PROJECT REPORT On Project Name: SCIENTIFIC ...
studocu.com
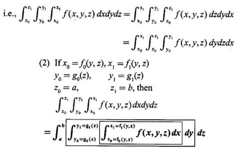
Triple Integral in Cartesian Coordinates - Worked Examples, Exercise ...
mech.poriyaan.in
10 Best Tools For UI/UX Designer | Graphic Design.
codingfizz.in
ITTO of Project Integration Management - How to remember it?
itechgurus.org
Project Management System Class Diagram
edrawmax.wondershare.com
How Can Beginners Master Revit in 2025?
novatr.com
Project Duration Calculator Excel – ITSM Docs - ITSM Documents & Templates
itsm-docs.com
Autodesk Revit Features | Revit Software Features
dotcom-publish-iac-default.efddotcom.autodesk.com
RBI Introduces Offline Capability for E-Rupee Transactions
currentaffairs.adda247.com
Why Top Performing Teams Use AI Workflow Automation and How You Can Do ...
appsmanager.in
CASIO Official Website | CASIO INDIA
casio.com
What Is Digital Rupee, RBI launches Its First Pilot Project
currentaffairs.adda247.com
Metal Weight Calculator - Round, Square, Rectange, Hexagon, Octagon ...
rkcasting.in
Critical Angle: Definition, Formula, Derivation, Examples for Class 10 ...
adda247.com
SonicMaps - Locative Audio
sonicmaps.xyz
Las 6 mejores herramientas gratis de diagramas ER
edrawsoft.com
Contact Us | Contact us for a quote on your new website and mobile app ...
practiz.in
A wooden block of specific gravity 0.75 floats in water if the size of ...
brainly.in
DR-210R | CASIO
casio.com
ZippZapp - Ride Sharing Made Easy
zippzapp.in
Setup a ES6 javascript project using webpack, babel and eslint
bitwiser.in
Calculate the numerical aperture, acceptance angle and the critical ...
akhandduttaengineering.in
RBI Chooses 5 Banks for Retail Digital Currency Pilot
currentaffairs.adda247.com
Microsoft Planner | Daily Task and Work Management
microsoft.com
Buy Designing Website Interface Elements Book Online at Low Prices in ...
amazon.in
AXI_ADRV9001/AXI_ADRV9002 Interface Core [Analog Devices Wiki]
wiki.analog.com
AutoCAD Useful Tips | AutoCAD User Interface | AutoCAD Tools and Features
constructioncivilengineering.com
+9 Best AI Tools for Project Management in India for 2025
allaboutai.com
Composite wire of uniform diameter 3.0 mm consisting of A copper wire ...
edurev.in
Project Interface Document - Computer Science - Project Interface ...
studocu.com
Vault Features | 2024, 2023, 2022 Features | Autodesk
autodesk.in
UX/UI design basics: creating intuitive user interfaces for a better ...
northitgroup.com
Works - The One-Rupee Entrepreneur | Project 88
project88.in
Internal Rate of Return - Meaning, Formula and Usage
cleartax.in
Online TDS Calculator on Salaries U/s Sec 192 2022-23 Employees TDS ...
apteachers.in
Double Integrals Video Lecture - Crash Course for JEE (English)
edurev.in
Sketchub • JavaScript Interface example
web.sketchub.in
Project Cost Estimation Calculator – ITSM Docs - ITSM Documents & Templates
itsm-docs.com
2025 Updated | Best 5 Ways to Upload/Post GIFs to Instagram
democreator.wondershare.com
Electrical Toolset in Autodesk AutoCAD | Features
autodesk.com
G-SHOCK | CASIO INDIA
casio.com
An optical fibre has a numerical aperture of 0.20 and a cladding ...
brainly.in
Homgeel Calculator Scientific Graphic Calculator Multi-Functional ...
amazon.in
Entry #21 by sathiyanathanr for create online store project using html ...
freelancer.in
Top How-Tos for Adobe Captivate: Essential Tips & Solutions
helpx.adobe.com
Using a Calculator Worksheets | Primary Teaching Resources
twinkl.co.in
Internal Rate Of Return (IRR): Definition, Calculation & More // Unstop
reliancetup.in
Flipkart.com | Casio FX-95 MS Scientific Calculator - Scientific
flipkart.com
BeMicro FPGA Project for AD7176-2 with Nios driver [Analog Devices Wiki]
wiki.analog.com
Top 3 Java Microservice Frameworks for 2024 - Aimprosoft
aimprosoft.com
A ray of light is incident at the glass-water interface at an angle i ...
allen.in
A first order reaction takes 30 minutes for 50% completion. Calculate ...
brainly.in
Healthy Lifestyle Project Ideas (teacher made) - Twinkl
twinkl.co.in
Top 3 Motion Blur Plugins for Adobe After Effects
filmora.wondershare.com
Do an Art Integration project between the states Tamil Nadu and West ...
brainly.in
Everything You Need To Know About Voice User Interface (VUI) Design
asesasoft.com
Interface Management: Energized Concurrent Engineering on Oil & Gas ...
amazon.in
Explained : भारत में प्रत्येक रुपया कहां से आता है और कहां जाता है, ऐसे ...
ndtv.in
How to Use JavaScript to Add Ecommerce to Any Website - Shopify India
shopify.com
Meet The New TorProject.org | Tor Blog
blog.torproject.org
A game consists of tossing a one-rupee coin 3 times and noting its ...
brainly.in
IEEE International conference on “Artificial Intelligence and Smart ...
jct.ac.in
AutoCAD Features | 2026 New Features | Autodesk
autodesk.com
Entry #46 by RayaLink for create online store project using html, CSS ...
freelancer.in
Simple project management for small teams – Microsoft Project
microsoft.com
Income Tax 2023-24 FY [2024-25 AY] New IT Slab Rates Online Income Tax ...
apteachers.in
5 Best Navisworks Online Training Courses in India in 2025
novatr.com
PowerMill | Key Features and Enhancements | Autodesk
autodesk.com
How To Compute Labor Cost for Concrete Work | Estimating for Construction
constructioncivilengineering.com
Related Searches
Calculator Project
Calculator in JavaScript
Calculator J&S Project
Simple Calculator in JavaScript
How to Make Calculator in JavaScript
JavaScript Calculator Code
Calculator Using JavaScript
Calculator Project in HTML CSS and JavaScript
Tip Calculator JavaScript
Credit Calculator JavaScript
JavaScript Projects
Project Management JavaScript Project
JavaScript Calculetor Template Image
Coding Project in JavaScript
Calculator Themes for JavaScript
JavaScript Projects for Beginners
JavaScript Calculate Volume
Calculator JavaScript Example
Binary Calcualtor JavaScript
Calculator Web Development Project
JavaScript Relative Project Modles
Calculator App JavaScript
Best Handmade Calculator for Profect
JavaScript Project Thumnile
Calculator Design Ideas JavaScript
JavaScript Calculator Outline with Source Code
Calculator Website Project
Matrix Calculator in JavaScript
Basic Calculator in JavaScript
Vim Editor/Project Mapping in Additoin Calculator
CodePen Calculator JavaScript
JavaScript Easy Projects
Calculator-Style
JavaScript Tips
Code.org Projects
Create Calculator in JavaScript
Financial Calculator JavaScript
JavaScript Project Imagw
JavaScript 100 Projects
JavaScript Pricing Calculator
Calculator with Tkinter
Cricket Calculator with JavaScript
Show Projct of Calculator
Calculator JavaScript Worth
Build Calculator
Calculator JavaScript Quote
Budget Calculator Using JavaScript
Background Image for Calculator Project
JavaScript Calculator Benefits
Flames Game Calculator
Search
×
Search
Loading...
No suggestions found