Find Your Style
Women
Men
Accessories
Search for clothing, brands, styles...
×
Women
Men
Accessories
Jerome Abalos Larawang Kupas
Search
Loading...
No suggestions found
The Art House
The Art House Saint Jerome Canvas Wall Rectangle Paintings Wall Art -9 x 12 In
1080
myntra.com
The Art House
The Art House Saint Jerome Canvas Wall Rectangle Paintings Wall Art - 24 x 16In
4320
myntra.com
The Art House
The Art House Beige Saint Jerome Painting Wall Art
7680
myntra.com
Buy Faicai Art Thick Texture Gold Tree Paintings Canvas Wall Art Hand ...
desertcart.in
Buy World Wall Art | World Canvas | of The World Wall Art | of The ...
desertcart.in
Modern Buddha Canvas Wall Art | Vastu Painting for Northeast Wall in ...
artfactory.in
Buy World Wall Art | World Canvas | of The World Wall Art | of The ...
desertcart.in
Buy walllane - Mandala Art Wall Decor Paintings for Home - Modern ...
desertcart.in
Buy Islamic Wall Canvas Art for Living Room Islamic Art Gold Islamic ...
desertcart.in
Buy Asdam Art- White Flower in Vase Wall Art Abstract Floral Oil ...
desertcart.in
Buy Faithgee Armor of God Wall Art Large for Women Men Put on the Full ...
desertcart.in
Hadley House Golden Tulips by Hal Halli Wall Art, 9 x 12 : Amazon.in ...
amazon.in
Buy Official Art Nouveau 2022 Wall , 2022 , 12" x 12" Square Wall 2022 ...
desertcart.in
RUKMINI HandiCraft Ganesha Wall Hanging by Lippan Art Price in India ...
flipkart.com
AY FASHION Multiple Frames Split Art Texture MDF Wall Paintings, Wall ...
flipkart.com
Buy ArtbyHannah 3 Pieces 12x16 inch Modern Abstract Wall Art Decor ...
ubuy.co.in
Sunset And Sunrise Wall Art 9 – Myindianthings
myindianthings.com
Buy Inspirational, Motivational Quotes Painting | Wall Art Quotes ...
ecraftindia.com
Wall Art for Living Room Deity Festival Artwork | Ubuy India
ubuy.co.in
Nature Landscape Metal Wall Art – auromin.in
auromin.in
SEJ by Nisha Gupta Wall Art Frame Set of 3 | Abstract Framed Wall ...
amazon.in
Vasu Art 9 X 12 Inch MDF Board for Art and Craft |6 Pcs | Wood ...
amazon.in
Buddha Stencils | Buddha art painting | Buddha Stencil Painting | Wall ...
decorze.com
Buy OneSheep Shop African American Wall Art Black Woman Wall Art ...
desertcart.in
Soulscapes Canvas Matangi Yantra Energy Art (9 x 12) : Amazon.in
amazon.in
Buy Inspirational Wall Art For Office Motivational Quotes Wall Decor We ...
desertcart.in
Buy HAUS AND HUES Minimalist Line Art Wall Decor Woman Art Print ...
desertcart.in
Waves Round 3D Wooden Wall Art 9 Layer – LET ME DECOR
letmedecor.com
Buy Punisher Skull Metal Wall Art 9"x 6.5" {SILVER} | PREMIUM Powder ...
desertcart.in
ASMA UL HUSNA Islamic Wall Art - 99 Names of ALLAH wall art - Framed I ...
makemythingz.com
Life On Wall Art Gallery, Inorbit Mall | LBB, Bangalore
lbb.in
Islamic Wall Art – Make My Thingz
makemythingz.com
Islamic Wall Art – Make My Thingz
makemythingz.com
Sikhash Modern Art Canvas Paintings, Colorful Owl, Abstract Art ...
amazon.in
Variety Canvas 8 X 10 & 9 X 12 & 10 x 12 Inch, A4 Canvas Boards for ...
amazon.in
Len Campbell Art | 9" x 12" | Acrylic on Paper | Original abstract art ...
pinterest.com
The Art Museum | CEPT - Portfolio
portfolio.cept.ac.in
Studio Ghibli art is breaking the internet & here’s how you can create it
indiatimes.com
Buy Round Canvas Paintings at Arte'Venue
artevenue.com
Printelligent Double Panel Clear Acrylic Wall Mount Floating Frame with ...
amazon.in
Avery 9 in. W X 12 in. L Self-Adhesive Laminating Sheets 10 pk 73603 | Zoro
zoro.com
Columbian Envelopes Columbian 9 x 12 Catalog Mailing India | Ubuy
ubuy.co.in
Mahalakshmi - 5 Pcs Set | 9 x 12 inches – Magicsimsim
magicsimsim.com
Safavieh Courtyard 9 X 12 Gray/Black Indoor/Outdoor Geometric Area Rug ...
lowes.com
Askprints Artist Sketch Book Wiro Bound 9 x 12 inches 100 Pages (Acid ...
amazon.in
Addison Rugs Chantille 9 X 12 (ft) Purple Indoor/Outdoor Abstract ...
lowes.com
Pop art là gì? Lịch sử phát triển của phong trào pop art
twinkl.co.in
Indian Miniature Art - Madhubani Painting - Mother And Child - Framed ...
tallengestore.com
ARTNVN: Tanjore & Mural | Complete ART Designers, Hyderabad Artist ...
artnvn.in
warli painting ,warli art painting ,warli folk painting ,warli painting ...
onlineframing.in
Buy Katie Doodle Preppy Room Decor (Aesthetic TikTok) Wall Collage Set ...
desertcart.in
Rousrie Aesthetic Harry Potter Wall Decor Stickers For Room Decoration ...
amazon.in
rise 9 x whole square minus 12 x minus y square minus z square minus 2 ...
brainly.in
Milap Creation Wooden ModerArt 9 x 9 inch Name Plate Price in India ...
flipkart.com
Elements of Art Worksheet pdf | Arts & Crafts | Twinkl USA
twinkl.co.in
jan 1, 1950 - Pop Art (Timeline)
time.graphics
ZOTIMO UV Light for Resin Art - 405nm LED Curing Lamp for 3D Printer ...
amazon.in
inr | A1 Black Color Chart Paper Special Imperial Size 71cm x 56 cm ...
amazon.in
art biennale kochi dubai florence newyork france, top contemporary art ...
vinitadasgupta.in
Buy Carnet PIXEL ART-pixel art coloriage-cahier de dessin pixel art ...
desertcart.in
KS1 All About Pop Art PowerPoint (teacher made) - Twinkl
twinkl.co.in
D'source Products | Bottle Painting with Warli Art - Orissa | D'Source ...
dsource.in
Highest Ever: $777,777 Paid for an NFT Digital Art Collection
cryptopanic.com
Canvases - Buy Canvases Online at Best Prices in India
flipkart.com
SAF Fish Abstract Set of 3 UV Textured Painting (1 Pc.:-12 X 18 Inches ...
amazon.in
Canvases - Buy Canvases Online at Best Prices in India
flipkart.com
Canvases - Buy Canvases Online at Best Prices in India
flipkart.com
Canvases - Buy Canvases Online at Best Prices in India
flipkart.com
Canvases - Buy Canvases Online at Best Prices In India | Flipkart.com
flipkart.com
Canvases - Buy Canvases Online at Best Prices in India
flipkart.com
Canvases - Buy Canvases Online at Best Prices in India
flipkart.com
Canvases - Buy Canvases Online at Best Prices in India
flipkart.com
Canvases - Buy Canvases Online at Best Prices in India
flipkart.com
nuLOOM Aurora 8 x 10 (ft) Loomed Polyester Green Grey Rectangular ...
lowes.com
Southworth 25% Cotton Paper Blue Manuscript Covers, 9" x 15.5", 30 lb ...
amazon.in
Canvases - Buy Canvases Online at Best Prices in India
flipkart.com
Canvases - Buy Canvases Online at Best Prices in India
flipkart.com
Gray 9' x 12' Lagom Shag Rug - Simple Geometric Pattern
pt.pinterest.com
TenorArts Allah Islamic Laminated Poster Framed Paintings with Matt ...
amazon.in
Canvases - Buy Canvases Online at Best Prices in India
flipkart.com
The mean of x, (x+3), (x + 6), (x+9) and (x +12) is - Brainly.in
brainly.in
Vintage Rock Band Album Covers Posters Canvas Cool Concert Music ...
desertcart.in
69,999 INR to USD - Convert Indian rupees to US dollars | INR to USD ...
wise.com
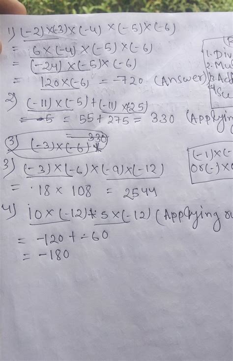
9. Evaluate:1. (-2) x (-3) x (-4) x (-5) x (-6)2.(-11) x (-15) + (-11 ...
brainly.in
Indian Rupee Symbol (₹): Facts about the official Currency of India
indiatimes.com
2,900 INR to USD - Convert Indian rupees to US dollars | INR to USD ...
wise.com
Buy IRN-BRU Regular, 12 Pack Iconic Flavoured, Fizzy Drinks Multipack ...
desertcart.in
Optical Illusion: There are 9 faces in this picture; only 1% can find ...
m.timesofindia.com
In Vyapam Killer Scam, First Murder Case In 19-Year-Old Namrata Damors ...
ndtv.in
20 rs Notes: RBI to issue new Rs 20 note: Here are all the details
economictimes.indiatimes.com
Top 15 Hotels In Istanbul For A Classy Staycation
traveltriangle.com
RBI introduces new Rs 100 note: A look at the salient features - India ...
indiatoday.in
5 Things to Keep In Mind Before You Buy Trimmer Online – Bombay Shaving ...
bombayshavingcompany.com
Ashlo's Decor Handcrafted Hanging Decorative Item for Home, Restaurant
ashlos.com
Buy Hand Painted Dot Mandala Art, Dot Painting, Pointillism Artwork ...
etsy.com
DmcreativityCraft Lionel Messi Poster - Framed Football Posters for ...
amazon.in
भारत की लोक चित्रकला (Folk Paintings)
hindiarise.com
DmcreativityCraft Superman Logo Poster with Frame DC Comics Posters for ...
amazon.in
PEACORA Resin Large Silicone Irregular Tray Mould for DIY Handmade ...
amazon.in
DICHIARAZIONE ART. 80, comma 1, lettera a), b), c), d), e), f ... Doc ...
pdffiller.com
API 5L Grade B Pipe and Gr B PSL2/ PSL1 Seamless/ ERW Pipe supplier
tridentsteel.co.in
Serplex® 13" Tool Bag Waterproof Oxford Cloth Tools Bag with Plastic ...
amazon.in
Buy Painting Raja Ravi Varma Reproductional Painting Artwork No 663 by ...
indianartideas.in
Buy LOPIU Juice Wrld Death Race for Love Album Cover Goodbye&Good ...
desertcart.in
Demdaco This Thing Called Family Collection Ask Your Mother' Dad's ...
amazon.in
Candle Stick (12 Posters) Chart Patterns Self Adhesive Crypto and Stock ...
flipkart.com
Buy 'Rukmini Kalyanam' a beautiful painting by Indian Artist ...
indianartideas.in
Teko Craft Stock Market Poster For Trading Setup, Trader Investor And ...
amazon.in
Buy ISO 4762/DIN 912 steel 10.9 zinc plated online
eshop.wuerth.in
Mod. IMP-1 Dichiarazione art. 90 comma 9 lettera b) del D.Lgs ... Doc ...
pdffiller.com
August वेक्टर - Freepik से मुफ़्त उच्च-गुणवत्ता वाले वेक्टर डाउनलोड ...
in.freepik.com
What made Sam Bankman-Fried launch FTX — and what he now thinks about ...
cryptopanic.com
GE1X AB7 Silca GE-5D GG2-A - Zylinderschlüssel
a-key-gmbh.com
New Rs 100 currency note: All you need to know
newsheads.in
Related Searches
The Art House Saint Jerome Canvas Wall Rectangle Paintings Wall Art - 24 x 16In
The Art House Beige Saint Jerome Painting Wall Art
The Art House Brown Saint Jerome Painting Wall Art
The Art House Portrait of St. Jerome Writing 1648 by Rembrandt Van Rijn
Search
×
Search
Loading...
No suggestions found