Find Your Style
Women
Men
Accessories
Search for clothing, brands, styles...
×
Women
Men
Accessories
Jkpsi Syllabus
Search
Loading...
No suggestions found
INR Full Form: What is full form of INR?
bankersadda.com
Top 8 Ivy League Schools: About, Courses and Fees in INR | CollegeSearch
collegesearch.in
Top 8 Ivy League Schools: About, Courses and Fees in INR | CollegeSearch
collegesearch.in
Top 8 Ivy League Schools: About, Courses and Fees in INR | CollegeSearch
collegesearch.in
Top 8 Ivy League Schools: About, Courses and Fees in INR | CollegeSearch
collegesearch.in
JK Police SUB INSPECTOR (JKP-SI) 2024 Edition (As Per NEW SYLLABUS ...
amazon.in
JK Police Sub Inspector (2022 Edition) JKPSI (As Per New Syllabus) skim ...
amazon.in
JK Police SUB INSPECTOR (JKP-SI) 2024 Edition (As Per NEW SYLLABUS ...
amazon.in
Kashmir Student Portal
kashmirstudentportal.in
Wings Ek Udaan
wingsekudaan.in
JKSSB J&K Police Sub Inspector (JKPSI) (HOME DEPARTMENT) 2025 ...
amazon.in
IMPORTANT MCQ FOR JKPSI AND UPCOMING EXAMS
jkssbwala.in
JKPSI | DOWNLOAD RESPONSE SHEET WITH MODEL ANSWER KEY, DOWNLOAD NOW
kashmirstudentportal.in
JKSSB JKPSI PET Update, Check Full Details Here
kashmirstudentportal.in
Wings Ek Udaan
wingsekudaan.in
RRB JE Eligibility Criteria 2025: Age Limit, Qualification, Nationality
jagranjosh.com
Wings Ek Udaan
wingsekudaan.in
Wings Ek Udaan
wingsekudaan.in
AISSEE 2025 | Sainik School Entrance Exam Class 6 and 9 Syllabus and ...
nationaldefenceinstitute.in
Jammu & Kashmir SI Live Foundation ( JKPSI ) Batch 2
studyiq.com
JKSSB JKPSI Shortlisted candidate for PST/PET
homeacademy.in
Some questions asked in today's JKPSI Exam
kashmirstudentportal.in
EMRS PGT Teacher Syllabus and Exam Pattern 2025, Syllabus PDF
careerpower.in
Operation Devi Shakti, Background, Timeline, Challenges, Impact
vajiramandravi.com
CBSE Class 10 Syllabus 2025-2026: Download Subject-wise Curriculum PDFs
jagranjosh.com
Quest UPSC Notes - Vajiram & Ravi
vajiramandravi.com
CBSE Class 10 Hindi A Syllabus 2024-2025: Download PDF
jagranjosh.com
RPSC RAS Syllabus 2025, Check Prelims and Mains Exam Pattern PDF
studyiq.com
MPPSC Previous Year Question Papers 2025: Download PDF for Prelims Exam
jagranjosh.com
Jammu & Kashmir Government Approves 178 New Posts for High Court - JKToday
jktoday.in
UPSC Ancient History Notes - Vajiram & Ravi
vajiramandravi.com
Wings Ek Udaan
wingsekudaan.in
M.Sc. Courses at Cardiff Metropolitan University: Fees, Eligibility ...
shiksha.com
J&k Grameen Bank Jobs Recruitment / 206 Vacancies / : Apply - JKToday
jktoday.in
SSC CGL Reasoning Syllabus 2025 For Tier 1 and 2, Download PDF
adda247.com
Aptech Vs JKPSI Case | Big Update Check Details Here
kashmirstudentportal.in
MBA Finance Subjects: Semester-wise, 1st Year Syllabus, Books
collegesearch.in
Pan-India CBI raids over JK Police SI exam scam
awazthevoice.in
NEET Physics Syllabus 2025, Check Class 11, 12 Important Topics with ...
adda247.com
JKPSI Exam Paper Leak: CBI conducts searches at seven locations ...
timesofindia.indiatimes.com
CBSE Class 12 Business Studies Chapter 5 Organising Notes, Download PDF
jagranjosh.com
UP BEd JEE 2025 Participating University; Check Complete List Here
jagranjosh.com
UPPSC Syllabus in Hindi: Download UPPSC Syllabus 2025 in Hindi PDF
studyiq.com
NDA Syllabus 2025, Download Maths and English Syllabus PDF
studyiq.com
KSRTC Technical assistant and Security guard Syllabus | vidhyarthimitra ...
vidhyarthimitra.in
UP Board Class 12 Chemistry Syllabus 2023-24: Download UP Board Class ...
jagranjosh.com
Wings Ek Udaan
wingsekudaan.in
UPSC Previous Year Papers: Download Free Prelims and Mains PDFs
jagranjosh.com
Purdue University: Rankings, Courses, Fees, Admission, Cost & Reviews
shiksha.com
Upsc syllabus 2023 in hindi (pre+mains)
missionupsce.in
MPSC Syllabus 2025, Exam Pattern, Download Subject wise PDF
studyiq.com
UPSC Prelims Syllabus 2023, Check GS, CSAT Syllabus PDF
studyiq.com
JKSSB | JKSSB IMPORTANT NOTIFICATIONS, RESULTS 2024, CHECK DETAILS HERE ...
kashmirstudentportal.in
UPSC Syllabus 2026, Check UPSC CSE Syllabus and Subjects for UPSC
studyiq.com
CBSE Class 12 Hindi Elective Syllabus 2022-23: Download The Revised ...
jagranjosh.com
CUET PG English Syllabus 2026; Check Exam Pattern and Mock Test
prepp.in
Wings Ek Udaan
wingsekudaan.in
UPSC CSAT Syllabus, Topic-wise syllabus for Maths & Reasoning
studyiq.com
Bihar Jeevika Salary 2025: Post-wise BRLPS Pay, Benefits and Job Profile
jagranjosh.com
Wings Ek Udaan
wingsekudaan.in
Driver job Vacancies, District Court Recruitment 2022, Download ...
jktoday.in
UPSC Economics Syllabus 2025, Prelims & Optional Syllabus PDF
vajiramandravi.com
CDS Syllabus 2025, Download Subject Wise Syllabus PDF Here
studyiq.com
Karnataka Village Administrative Officer Syllabus 2024: ಗ್ರಾಮ ...
karnatakahelp.in
ICSE Class 9 Selina Concise Physics Book: Download Chapter-Wise PDFs
jagranjosh.com
Wings Ek Udaan
wingsekudaan.in
Oil Rig Assignment - 1) Hackers are not all the same; they range in ...
studocu.com
SSC CHSL Salary 2024: Pay Scale, Job Profile, Perks & Benefits
jagranjosh.com
Indiana Wesleyan University Admission 2025: Application Dates ...
shiksha.com
8th, 10th Pass Anganwadi Jobs in J&k : Check Vacancy Details | Official ...
jktoday.in
MPPSC Syllabus 2023, Check Prelims and Mains Syllabus PDF
studyiq.com
Top BSc Maths Syllabus: Semester & Year Wise Syllabus, Courses & Structure
collegesearch.in
Utrecht University (UU): Rankings, Courses, Fees
shiksha.com
Blogs
iasgyan.in
CBSE Class 10 Hindi B Syllabus for Board Exam 2024: Download PDF
jagranjosh.com
Wings Ek Udaan
wingsekudaan.in
University of Victoria Fees 2026: Tuition, Application & Courses Fee ...
shiksha.com
CBSE Class 10 Science Exam Pattern 2026 (Revised): Check New Question ...
jagranjosh.com
CBSE Class 11 Syllabus 2023-2024: Download Class 11th Syllabus PDF
jagranjosh.com
DCA Course Syllabus: Subjects, Books, Curriculum 2025
collegesearch.in
KTU S5-S6 2019 Scheme Syllabus for All Branches | Latest Updated | KTU ...
ktustudents.in
UP Board Class 12 Hindi Syllabus 2023-24: Download UP Board Class 12 ...
jagranjosh.com
SKIMS: Nursing Aid Recruitment Result Declared : check here - JKToday
jktoday.in
Jobs in Srinagar : Apply for various Post : Salary Upto 17,000 : 8th ...
jktoday.in
JKSSB Constable Selection List 2025 Released for 3478 Posts - JKToday
jktoday.in
UPSC Psychology Syllabus 2024 for Mains Optional Paper 1 and 2
studyiq.com
Syllabus of BPSC Notes | Study BPSC Prelims Mock Test Series & Past ...
edurev.in
SSC CHSL Previous Year Question Paper with Solutions, Download Free PDFs
jagranjosh.com
UPSC IAS Toppers Optional Subjects
vajiramandravi.com
TA Recruitment 2025 Jammu and kashmir : Check Notification - JKToday
jktoday.in
BPSC Head Master Syllabus 2025 and Exam Pattern, Syllabus Topics
careerpower.in
BEU Syllabus : 1st Year Syllabus All Branches PDF 2023 [ME, CE, EE, ECE ...
beubihar.org.in
Daily Current Affairs for SSC CGL 2025: Latest Quiz & PDF
jagranjosh.com
NEET UG Syllabus 2024: NEET UG సిలబస్లో భారీ మార్పు, PDFని ఇక్కడ డౌన్ ...
collegedekho.com
University of Rajshahi Courses & Fees 2025: Popular Programs, Eligibility
shiksha.com
NEET Biology Syllabus 2025, Important Zoology, Botany Chapters of Class ...
adda247.com
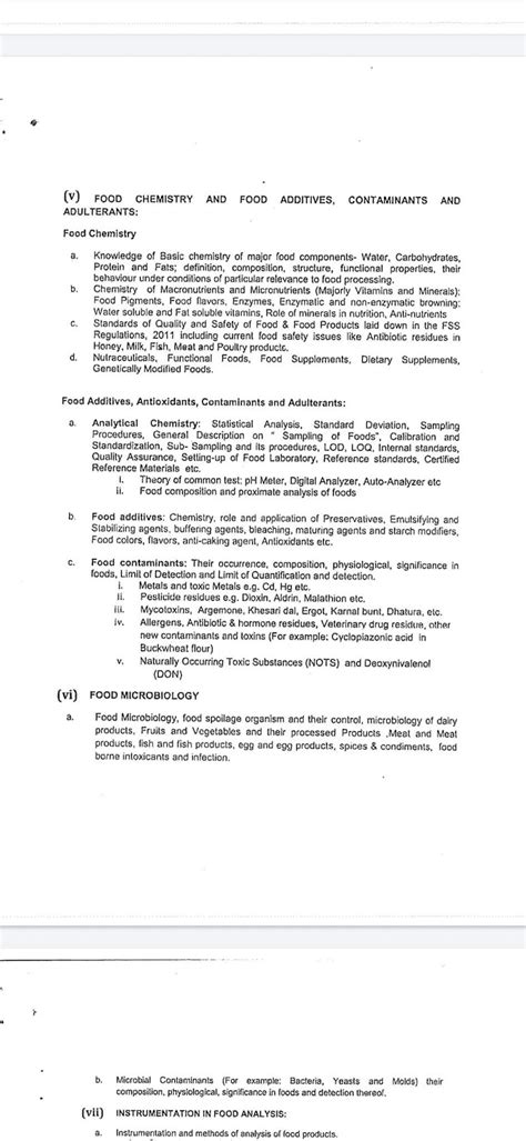
JKPSC - Syllabus for the post of Assistant Commissioner Food Safety
kashmirstudentportal.in
Download Cash Memo Format in Word, Excel, PDF
refrens.com
SECL MINE SURVEYOR EXAM SYLLABUS | Mine Portal - India's No.1 Mining ...
mineportal.in
IFSCA Assistant Manager Syllabus 2024, Detailed Syllabus & Exam Pattern
bankersadda.com
TBS Education: Rankings, Courses & Fees
shiksha.com
University College Cork (UCC): Rankings, Courses, Fees, Reviews
shiksha.com
CAT Exam Syllabus 2023: Latest Section-wise Syllabus | Download PDF
edurev.in
Summer vacation for primary classes in kashmir from tomorrow - JKToday
jktoday.in
Nimcet Syllabus - Hii thii to to us zo off - NIMCET 2020 Syllabus PDF ...
studocu.com
3110015 - GUJARAT TECHNOLOGICAL UNIVERSITY BACHELOR OF ENGINEERING ...
studocu.com
RBI and SEBI Issue Standard Operating Procedure for Inter-operable ...
bankersadda.com
Courses at Karlshochschule International University: Fees, Eligibility ...
shiksha.com
Wings Ek Udaan
wingsekudaan.in
Jkpsc Prosecuting officer recruitment 2025:- apply online, check ...
jktoday.in
What is GATE Exam Purpose: Age Limit, Fees, Benefits, Opportunities ...
jagranjosh.com
Bihar Police SI Previous Year Question Papers, Download PDF with Solutions
jagranjosh.com
JEE Main Syllabus 2024 for Maths, Physics and Chemistry - PDF Download
esaral.com
MBA Finance Subjects: Semester-wise, 1st Year Syllabus, Books
collegesearch.in
Bangor University: Ranking, Acceptance Rate, Application Fee, and ...
zollege.in
JKPSC - Syllabus for the post of Assistant Commissioner Food Safety
kashmirstudentportal.in
J&K NHM Recruitment 2024 Notification Out: Salary: Rs.45,000 to 85,000 ...
jktoday.in
UPSC Anthropology Syllabus for Optional Paper 1 & 2, PDF, 2023
studyiq.com
Growing Beyond The Syllabus eBook : Chhatbar, Loukikk M. : Amazon.in ...
amazon.in
American University of Sharjah: Rankings, Courses, Fees
shiksha.com
Related Searches
Jkpsi Syllabus.pdf
Jkpsi Syllabus JKSSB
JKPSC A&E Syllabus
UKPSC A&E Syllabus
Syllabus of JKP Police
General Syllabus for JKPSC Lecturer
Kas Syllabus.pdf
JKP Constable Syllabus
Chemistry Syllabus JKPSC
Syllabus of JKPSC Economics
C Syllabus
JKSSB NT Syllabus
JKP Si Latest Syllabus
JKP Syllabus Notes
Jkas Prelims Syylabus
JKSSB Most Questions as per Syllabus
JKP Constable Sylabus
Book for JKSSB Syllabud
CCE Syllabus as per Amrita
JKSSB Syllubus Written Exam
JKSSB Science Syllabus
JKSSB Si Syllabus
CCE Syllabus
JKPSC Building
CCE Group a Syllabus
Syllibus of Je Electrical in JKSSB Exam
JKSSB Jkpsi Syllabus
Coaching JKSSB
JKP DSP Photo
CCE New Sylabus
Mains Syllabus
Sub Inspector Syllabus
JKPSC Books
Kas Syllabus
JKSSB Police Constable Syllabus
JKSSB FAA Syllabus
Forester Syllabus JKSSB
JKP Monogram
Vlw Syllabus JKSSB
JKPSC A&E Mechanical Syllabus
JKPSC Cut Off
JKP PDF Download
JKPSC Coaching
Search
×
Search
Loading...
No suggestions found