Find Your Style
Women
Men
Accessories
Search for clothing, brands, styles...
×
Women
Men
Accessories
Jotaro Part 4 Hat
Search
Loading...
No suggestions found
Buy Anime Jojos Bizarre Adventure Jotaro Kujo Cap Hat Part 4 Diamond Is ...
desertcart.in
Buy JoJos Hats Bizarre Adventure Jotaro Hat (Golden Strip) Online at ...
amazon.in
Anime Part 4 Jotaro Kujo White Attire Cosplay India | Ubuy
ubuy.co.in
Buy EIKOU JOJO Kujo Jotaro Cap Kujo Jotaro hat at Ubuy India
ubuy.co.in
Cosplay Life JoJo Kujo Cosplay Full Costume Outfit | Ubuy India
ubuy.co.in
Buy Jotaro Hat, JoJo‘s Baseball Cap Jotaro Kujo Hat JoJos Bizarre ...
ubuy.co.in
Buy CosplayCos Jotaro Kujo Cosplay Costume Jotaro Hat Cardigan Jacket ...
ubuy.co.in
JoJo’s Bizarre Adventure Part 4 - Artwork der 2. Staffel des Anime ...
sumikai.com
Buy Shopular Kujo Jotaro Cap Hat Star Platinum Metal Golden Badges JOJO ...
desertcart.in
JoJo's Bizarre Adventure: Part 4--Diamond Is Unbreakable, Vol. 1 | Book ...
simonandschuster.co.in
Buy JoJos Hats Bizarre Adventure Jotaro Hat (Golden Strip) Online at ...
amazon.in
Xcoser Teens Jotaro Baseball Cap Hat for Cosplay India | Ubuy
ubuy.co.in
Cosfun Kujo Jotaro Cosplay Leather Costume Suit with | Ubuy India
ubuy.co.in
Buy CosplayCos Jotaro Kujo Cosplay Costume Jotaro Hat Cardigan Jacket ...
ubuy.co.in
Buy CosplayCos Jotaro Kujo Cosplay Costume Jotaro Hat Cardigan Jacket ...
ubuy.co.in
Buy Anime JoJo's Bizarre Adventure Cosplay Cap Jotaro Kujo Joseph Hat ...
desertcart.in
Transparent Jotaro Kujo Png Jotaro Part Manga, Png Download, 48% OFF
iiitl.ac.in
Anime Jojos Bizarre Adventure Cosplay Cap Jotaro Kujo Joseph Hat ...
desertcart.in
Ichibansho Figureichiban Jojos Bizarre Adventure Anime Jotaro Kujo ...
desertcart.in
Meelanz Cosplay Hat Jojos Hat Emblem Visored Jotaro Hat Black ...
desertcart.in
Jotaro Hat, JoJo's Hat Cosplay Black Visor With Metal Pins Baseball Cap ...
amazon.in
Buy CosplayCos Jotaro Kujo Cosplay Costume Jotaro Hat Cardigan Jacket ...
ubuy.co.in
p3d.in - Jotaro Kujo Hat
p3d.in
Buy JoJos Hats Bizarre Adventure Jotaro Hat (Golden Strip) Online at ...
amazon.in
Medicos Jojos Bizarre Adventure Part 3 Stardust Crusaders Jotaro Kujo ...
desertcart.in
Buy JoJos Hats Bizarre Adventure Jotaro Hat (Golden Strip) Online at ...
amazon.in
Buy JoJo's Bizarre Adventure Jotaro Kujo cosplay costume with hat ...
ubuy.co.in
Buy Medicos - Jojo's Bizarre Adventure Pt 3 Statue Legend Jotaro Kujo ...
desertcart.in
Buy Medicos JoJo's Bizarre Adventure: Part 3--Stardust Crusaders ...
desertcart.in
Jojo Austin Naked Complete Visual Content #975
superadmin.kalaignarcentenarylibrary.tn.gov.in
VENUS H-6000 Vent Series ANSI Certified Safety Helmet, Easy fit Ratchet ...
amazon.in
RS485 CAN HAT for Raspberry Pi 4B/3B+/3B/2B/B+/A+/Zero/Zero W/WH,Allow ...
amazon.in
Vesil Mini Kids Birthday Party Hats, Assorted, DIY Assembly Required ...
amazon.in
GeeekPi Raspberry Pi GPIO Screw Terminal Block Breakout Board HAT with ...
amazon.in
Buy Hard Hats Electrician Construction Work Safety Helmet Cap Style ...
ubuy.co.in
Quectel RM500x / RM502x 5G HAT for Raspberry Pi HAT with Module and Ca
hnhcart.com
ESL YLE Flyers Speaking Part 4 Question Cards (Sports) [Kids, A2]
twinkl.co.in
Uninterruptible Power Supply UPS HAT For Raspberry Pi, Stable 5V Power ...
mgsuperlabs.co.in
YLE Movers - Reading and Writing Part 3 - Practice Sheet (Countryside) [A1]
twinkl.co.in
ESL B1 PET Reading Part 2 Worksheet (Gyms)
twinkl.co.in
ESL B1 PET Speaking Part 1 Conversation Cards (Free Time)
twinkl.co.in
ESL YLE Flyers Speaking Part 4 Conversation Cards (Cinema) [Kids, A2]
twinkl.co.in
15 Independence Day Crafts & Activities - Twinkl USA
twinkl.co.in
All About My Body Jigsaw | Twinkl
twinkl.co.in
Buy Black Baseball Safety Bump Cap - 100% Cotton, Impact-Resistant ABS ...
desertcart.in
6 Thinking Hats In The Classroom - F-6 - Critical Thinking
twinkl.co.in
Body Parts Name, All 50 Body Parts Name in English
careerpower.in
KS1 Private Body Parts Activity | RSHE Resources - Twinkl
twinkl.co.in
YLE Movers - Speaking Part 1 - Practice Sheet (Swimming Pool) [A1]
twinkl.co.in
Body Parts Cut-Out Counting Activity - Twinkl EYFS
twinkl.co.in
Names starting with R, R names, store name ideas - N4B
names4brands.com
Tata Ace spare parts | Buy used spare parts | Partfinder India
partfinder.in
HP Color LaserJet Professional CP5225 Printer series Software and ...
support.hp.com
Parts of Speech คืออะไร? บทความสรุป Parts of Speech
twinkl.co.in
YLE Movers - Reading and Writing Part 3 - Practice Sheet (School) [A1]
twinkl.co.in
Wagon R Car Music System - Wagon R Android Stereo | Woodman
hiwoodman.com
Body Flashcards | Body Parts | Ages 5-6 | Twinkl - Twinkl
twinkl.co.in
Numbers to 20 Part-Whole Model Worksheet (teacher made)
twinkl.co.in
Partes Del Cuerpo A4 Spanish (teacher made)
twinkl.co.in
R87F-A1A15HP Omron Electronics Inc-EMC Div | Fans, Thermal Management ...
digikey.in
Parts of a House Poster (teacher made)
twinkl.co.in
What is a Flower? - Answered - Twinkl Teaching Wiki - Twinkl
twinkl.co.in
Buy Lookwoild Bucket Boonie Hunting Fishing Outdoor Cap Wide Brim ...
ubuy.co.in
Maruti Ignis- All About Ignis Price, Features, Colours, & Specs
carfolio.in
Parts of a Plant Worksheet | Twinkl Teacher-Made Resources
twinkl.co.in
Metal Studs at Lowes.com
lowes.com
6 Assorted Dress Up Costume & Party Hats by Funny Party Hats (6 Adult ...
amazon.in
Buy METALLI BEACH HAT | Johnny Was
johnnywas.com
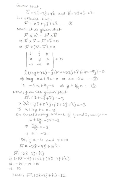
Let [tex]\vec{a}=2 \hat{i}-3 \hat{j}+4 \hat{k}[/tex] and [tex]\vec{b}=7 ...
brainly.in
Grade R LS - Activity Sheet: Parts of My Body (CAPS Aligned)
twinkl.co.in
A uniform sphere (mass M , radius R ) exerts a force F on a small mass ...
tardigrade.in
Streaming attack on sale on titan 1
metrorailnews.in
A perpendicular is drawn from the point P having position vector hat i ...
tardigrade.in
Msa 475362 V Gard Cap Style Safety Hard Hat Fas | Desertcart INDIA
desertcart.in
30 Ideen zum Frühlingsbasteln mit Kindern die Sie unbedingt sehen müssen!
diydekoideen.com
Grade R Data Handling Big 5 Animals Bar Graph
twinkl.co.in
Hat Colouring Sheet | Colouring Pages (teacher made)
twinkl.co.in
Buy Stetson Men's 4X Corral Wool Cowboy Hat Sand 6 3/4 Online at ...
desertcart.in
Unit 4 - Biostatistics And Research Methodology - 8th Semester - B ...
carewellpharma.in
Parts of a Plant Diagram, Functions and Plants Types
careerpower.in
Stream Miley Says Goodbye? - Part I Season 3 Episode 29 – Miley Says ...
apps.disneyplus.com
ESEKSAFAR Heavy Duty 3-Way Female Ball Valve 3/4'' BSP Thread Forged ...
flipkart.com
Berühmtes Open-Air-Thermalbad in Wakayama öffnet wieder für den Winter
sumikai.com
Speaking C1 Advanced (CAE): Guía Completa Con Ejemplos KSE, 52% OFF
iiitl.ac.in
Dr Bimal Jalan authored a book titled "From dependence to SelfReliance"
currentaffairs.adda247.com
'Attack on Titan' gears up for epic conclusion; releases teaser for ...
ibtimes.co.in
Let the position vectors of two points P and Q be 3 hat i - hat j +2 ...
tardigrade.in
History of Sotho People - Twinkl SA - Twinkl
twinkl.co.in
If you was to shade in 1/4 of this shape,how many sections would you ...
brainly.in
Body Parts Name With Pictures in English & Hindi PDF
adda247.com
Let AB =3 hat i - hat j , AC =2 hat i +3 hat j and DE =4 hat i -2 hat j ...
tardigrade.in
Buy HONG YI-HAT R/C scania truck metal sticker decals kit for tamiya 1: ...
desertcart.in
Buy Ash Ketchum Adult Baseball Cap Original Hat Pokemon Trainer Cosplay ...
ubuy.co.in
B.R. Oxford Public School - Powered by Edumitra
edumitra.in
In an octagon ABCDEFGH of equal side, what is the sum of AB + AC + AD ...
tardigrade.in
Java Programming Part-8 (Multi threading) Lecture Notes - Java ...
studyglance.in
2 t-shirts and 3 hats costs £12. 5 t-shirts and 4 hats costs £23. Find ...
brainly.in
Buy Curly V Part Wig Human Hair No Leave Out Curly Wigs For Black Women ...
ubuy.co.in
Stephen R. Covey Quote: “Be part of the solution, not part of the ...
quotefancy.com
Let \vec{a}=\hat{i}+2 \hat{j}+4 \hat{k}, \vec{b}=\hat{i}+\lambda \hat{j ...
brainly.in
العقود والجدران 2 Nasr Saleh-Model - 160 88 40 20 80 R R R R R R 16 40 ...
studocu.com
what percent of the circle is shaded? i want the full answer please ...
brainly.in
Stephen R. Covey Quote: “Be part of the solution, not part of the ...
quotefancy.com
On R K Narayan's birth anniversary, let's thank him for these 4 things ...
indiatoday.intoday.in
Theodor Seuss Geisel (Dr. Seuss) Kimdir, Hayatı ve Resimleri
msxlabs.org
'Can We Not Do Better?' [First Part Of A Series By R. Basant, Senior ...
livelaw.in
The Princess Cup 2024 - Harry Potter edition, T. J. Sokol České ...
allevents.in
Dunzo Has A Subscription Service With Free Delivery | LBB, Bangalore
lbb.in
Jose A Gonzales, a registered Sex Offender in Camden, NJ 8104 at ...
offenderradar.com
Related Searches
Jotaro Part 6 Hat
Jotaro in Part 4
Jotaro Part 4 Outfit
Jotaro Kujo Part 4 Hat
Jotaro Part 4 Pose
Jotaro Part 3 Hat
Jotaro Part 4 Injured
Jjba Jotaro Hat Hand Part 4
Jotaro Part 4 Manga
Jotaro Part 4 Pointing
Jotaro Part 4 PFP
Jotaro Part 5 Hat
Jotaro Part 7
Jotaro No Hat
Part 4 Jotaro Stare
Jotaro Cat Part 4
Jotaro Part 4 Fit
Jotaro Part 6 Face
Jotaro Part 4 Star Platinum
Jotaro Hat PNG
Part 4 Jotaro Art
Jotaro Costume Part 4
Jotaro Part 4 Sad
Jojo Part 4 Jotaro
Jotaro Part 3 without Hat
Jotaro Part 4 Icon
Jotaro Part 4 Phone
Jotaro PT 4 Cream Room
Jotaro Part 4 Bloody
Jotaro Part 4 UHD
Part 4 Jotaro Dolphin
Roblox Jotaro Part 4
Jotaro Hat No Background
The Age of Jotaro in Part 4
Jotaro Hand Symbol
Jotoaro Part 4
Jaotaro Part 4
Jotaro Part 4 Bd
Jotaro Hat Hair
Jotaro Hat Pins
Jotaro Hat Clear
Jotaro No0 Hat
Jotaro's Design Part 4
Jotaro Part 4 Figure
Part 4 Jotaro Concerned
Jotaro Part 8 Style
Jotaro Hat deviantART
Jotaro Part 4 Transparent Art
Jotaro Part 4 Final Batle
Jotaro Part 4 Bleeding
Search
×
Search
Loading...
No suggestions found