Find Your Style
Women
Men
Accessories
Search for clothing, brands, styles...
×
Women
Men
Accessories
Judicial Separation
Search
Loading...
No suggestions found
INR Full Form: What is full form of INR?
bankersadda.com
Judicial Separation Under Hindu Marriage
legalbites.in
Judicial Separation - JUDICIAL SEPARATION By Kavidharani R 20211BAL BA ...
studocu.com
Judicial Separation & Divorce - Judicial separation & Divorce Section ...
studocu.com
[Legal Article] Why Judicial Separation is better than Divorce by ...
mylawman.co.in
Judicial Separation Under Section 10 HMA: Legal Petition | Backed By Law
backedbylaw.in
Section 2 Hindu Marriage Act 1955 – Application Of Act | Vkeel - Legal Blog
vkeel.com
न्यायिक पृथक्करण - hindi iPleaders
hindi.ipleaders.in
Judicial Overreach and Constitutional Balance
studyiq.com
Explained: What Is Separation Of Powers?
indiatimes.com
Judicial Separation and Divorce | PCS (J) Study Notes
adda247.com
Judicial separation - Integrated llb - Studocu
studocu.com
Separation of Powers in India, UPSC Notes
vajiramandravi.com
06 Judicial Separation - JUDICIAL SEPARATION It is a remedy which is ...
studocu.com
Difference Between Judicial Separation and Divorce | Advocate J.S. Rohilla
jsrohilla.in
Judicial Separation - Following the Indian culture of considering a ...
studocu.com
"The Judicial Separation is considered to be the stepping stone towards ...
legalbites.in
Judicial seperation HMA - JUDICIAL SEPARATION, S. 10 Qtn. Enumerate the ...
studocu.com
Judicial Separation in India - Getlegal India
getlegalindia.com
Format of Affidavit to be filed with Petition for Judicial Separation ...
studycafe.in
Difference Between Judicial Separation and Divorce
ezylegal.in
Judicial Divorce Under Muslim LAW yoo - JUDICIAL DIVORCE UNDER MUSLIM ...
studocu.com
Divorce And Judicial Separation Under Hindu Law | Vkeel - Legal Blog
vkeel.com
Judicial Separation और Divorce के बीच क्या अंतर है, जानिए कुछ अहम बातें ...
my-lord.in
Hindu LAW Notes 2 - Good For Use - DIFFERENCE BETWEEN JUDICIAL ...
studocu.com
Buy Judicial Separation Under Hindu Law: Statutory Provisions of the ...
amazon.in
Judicial Separation
defactojudiciary.in
Judicial Separation vs. Divorce: Key Distinctions Explained - Studocu
studocu.com
Judicial Separation: Across Different Religions | Vkeel - Legal Blog
vkeel.com
Gender, mental illness and the Hindu Marriage Act, 1955
ijme.in
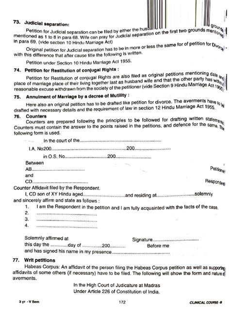
W.P. No. 200: Judicial Separation, Restitution, and Writs Overview ...
studocu.com
Judicial separation and divorce of india - IN THE COURT OF PRINCIPAL J ...
studocu.com
Fillable Online D8 Application for a divorce, dissolution or to apply ...
pdffiller.com
S10 judicial seperation and divorce hindu law - JUDICIAL SEPARATION, S ...
studocu.com
Petition for judicial separation section 10 - PETITION FOR JUDICIAL ...
studocu.com
Judicial separation – Grounds for judicial separation compressed ...
studocu.com
जाने Judicial Separation और Divorce के बीच अंतर
my-lord.in
Difference Between Judicial Separation and Divorce Decree
thedivorcelawfirm.in
Judicial separation - BBA LLB - Studocu
studocu.com
Difference Between Judicial Separation And Divorce | Vkeel - Legal Blog
vkeel.com
CR in Court Cases: What It Means and Why It Matters
bda-skl.in
What Is The Scope Of Judicial Separation And Divorce Under Hindu ...
livelaw.in
Judicial Separation And Divorce Under Hindu Marriage Law | Grounds Of ...
freelaw.in
FL test ans additional Domicile - Muslim marriage dissolution Judicial ...
studocu.com
MOHAMMEDAN LAW 188: Divorce (Talaq) and Judicial Dissolution Insights ...
studocu.com
How to File for Legal Separation in India
divorcelawyer.in
Delhi High Court Upholds Divorce, Says Wife's Claim Of 'Not Recalling ...
livelaw.in
Art12 - safe - CRUELTY AS A GROUND FOR DIVORCE OR FOR JUDICIAL ...
studocu.com
Filing Plea For Judicial Separation After Dismissal Of Divorce Petition ...
livelaw.in
Contested Divorce and Judicial Due Process: Bombay Hc Reinforces ...
thedivorcelawfirm.in
Exploring Separation Without Divorce in India: Legal Insights and Options
bda-skl.in
Separation of powers and judicial activism- Analysis by Supreme Court ...
thelawmatics.in
Judicial Separation And Divorce Under Hindu Marriage Law | Grounds Of ...
freelaw.in
Coping with divorce and separation - InnerSight
innersight.in
Breaking: Muslim Woman Has The Right To Invoke Extra-Judicial Divorce ...
livelaw.in
Child custody Across Borders and Indian Judiciary
amlawfirm.in
₹100 Bond Paper: Uses, Legal Importance & Buying Guide
hexahome.in
झूठा क्रिमिनल केस दर्ज कराना पति संग क्रूरता.... तलाक केस पर इलाहाबाद ...
ndtv.in
Understanding Divorce Settlements: Wife's Entitlement in India
bda-skl.in
How to File for Legal Separation in India
divorcelawyer.in
Judicial Separation
defactojudiciary.in
Realistic Judicial Discretion Under Section 13 B: The Bombay High Court ...
thedivorcelawfirm.in
Nevada Decree Divorce County - Fill Online, Printable, Fillable, Blank ...
pdffiller.com
Best Divorce Advocates, Lawyers & Legal Assistance in India
soolegal.com
Divorce under Christian Law
ezylegal.in
Hema Sharma And Gaurav Saxena's Marriage Comes To An End With Legal ...
msn.com
Fillable Online familylaw co Click here to reset form Divorce ...
pdffiller.com
Franking Charges: Meaning, Benefits and Difference 2025
nobroker.in
Grounds-for-Divorce-Under-the-Hindu-Marriage-Act-1955
legalmantra.net
Read all Latest Updates on and about Judicial Activism
livelaw.in
हिंदू विवाह अधिनियम, 1955 की धारा 9-10: दांपत्य अधिकारों की बहाली और ...
hindi.livelaw.in
Family Courts Have No Power To Grant Judicial Separation In Plea For ...
livelaw.in
Mutual Consent Divorce in India - Step by Step Procedure - LegalDocs
legaldocs.co.in
News: Kerala HC Overrules Half-Century Old Precedent, says Muslim Women ...
soolegal.com
Judicial Separation in Hindu Law? - LawWala
lawwala.co.in
Best Divorce Advocates, Lawyers & Legal Assistance in India
soolegal.com
No Contempt If Legislature Simply Enacts Law: Supreme Court Reaffirms ...
lawbeat.in
Demo
divorcelawyers.co.in
Q. Judicial Activism - 91 92 93 94 95 SEPARATION OF POWERS: STRESSES ...
studocu.com
Exploring Separation Without Divorce in India: Legal Insights and Options
bda-skl.in
Best Child Custody Advocates, Lawyers & Legal Assistance in India
soolegal.com
understand | Blogs
advocateviveksharma.in
About Judiciary v/s Executive Clash: UPSC Current Affairs
iasgyan.in
Muslim Women’s Right to Extra-Judicial Divorce
theleaflet.in
Fillable Online Motion to Convert Decree of Legal Separation of Civil ...
pdffiller.com
"Convenience of wife to be looked into": Allahabad High Court transfers ...
lawbeat.in
Making Justice Accessible and Affordable for All
lawyered.in
Hindu Marriage Act में Judicial Separation
hindi.livelaw.in
Coping with divorce and separation - InnerSight
innersight.in
100 रुपये का स्टांप पेपर: उपयोग और वैधता
housing.com
Fillable Online affidavit of separation Fax Email Print - pdfFiller
pdffiller.com
Latest News on Education & LAW Exams Blogs | Success Mantra
successmantra.in
Supreme Court Issues Notice In SLP Against Kerala High Court's Judgment ...
verdictum.in
Divorce Notice - Fill Online, Printable, Fillable, Blank | pdfFiller
pdffiller.com
Alabama Legal Separation Agreement - With Children | US Legal Forms
uslegalforms.com
STAMP PAPER (INR 100) • Benir e-Store Solutions
benir.in
Wife's Allegations of Mental Illness Against Husband's Mother Not ...
lawbeat.in
Best Divorce Advocates, Lawyers & Legal Assistance in India
soolegal.com
Understanding Types of Courts in India - S.S Rana & Co
ssrana.in
Income Tax Rates For AY 2021-22/FY 2020-21
taxguru.in
Best Child Custody Advocates, Lawyers & Legal Assistance in India
soolegal.com
“Judicial activism should not lead to the dilution of separation of ...
livelaw.in
Filing Divorce Papers in India: A Step-by-Step Guide
ezylegal.in
Explained: What Is Separation Of Powers?
indiatimes.com
CJI Gavai: “Human Dignity Is the Soul of the Constitution”, Charts ...
lawbeat.in
Legal Notices in Mutual Divorce: Your Guide for India
mutualdivorceonline.com
"Contrary To Judicial Propriety & Discipline": SC Pulls Up Kerala HC ...
lawbeat.in
Hindu Marriage Act में Judicial Separation के आधार
hindi.livelaw.in
Lydia Suzanne Thomas, Live Law Page 10
livelaw.in
CJ in Court: What It Means and Why It Matters
bda-skl.in
Hindu Law Notes-II - 2nd semester - Differences between Judicial ...
studocu.com
Supreme Court Issues Notice on Plea Against Kerala HC's Recognition of ...
livelaw.in
Top Lawyers in World, Top Advocate | SoOLEGAL
soolegal.com
What is the Divorce Procedure and Types of Divorce in India?
myadvo.in
Dissolution of Muslim Marriages Act
defactojudiciary.in
Best Divorce Advocates, Lawyers & Legal Assistance in India
soolegal.com
सत्ता-संघर्ष और संविधान की मर्यादा | GShindi.com
gshindi.com
Session on "Judgement writing and Discussion on Divorce Law" (Indian ...
sikkimjudicialacademy.nic.in
Copyright Filing in India @INR 500/-* per work - S.S. Rana & Co.
ssrana.in
Best Divorce Advocates, Lawyers & Legal Assistance in India
soolegal.com
Related Searches
Legal Separation Papers
Marriage Separation Agreement Sample
Marital Separation Agreement Template
Judicial Separation and Divorce
Legal Separation Documents
Legal Separation Agreement Form
Final Divorce Decree
Separation Orders
Divorce or Separation
Virginia Separation Agreement Template
Judicial Separation Vector
Petition for Legal Separation Sample
Judicial Separation Research Paper
Separation vs Divorce
Judicial Separation and Divorce Difference
Written Statement for Judicial Separation
Order of Judicial Separation
Importance of Judicial Separation
Judicial Separation Animation
SC Separation
Divorce Lawyer
Grounds for Judicial Separation
Conversion in Judicial Separation
Separation Act
Application for a Judicial Separation
Judicial Separation Under Hindu Law
Example of Judicial Separation Guernsey
Separation of Judicial Power
Judicial Separation Icon
Judicial Separation Section 10
Deed of Separation
Legally Separated
Petition for Judicial Separation of Property
Separation Argument
D-Separation
Legal Separation Means
Importance of Judicial Separation in Australia
Case Separation
Divorce Sepration
Law Seperation
Sample of Judicial Separation in Nigria
Stages of Separation
What Is Separation
Separation Laws
Definition of Legal Separation
Seperation UK
Legal Separation Petition Indiana
Grounds for Judicial Separation with Relevant Cases Law
Draft Judicial Separation Financial Order UK
Judicial Obstinancy
Search
×
Search
Loading...
No suggestions found