Find Your Style
Women
Men
Accessories
Search for clothing, brands, styles...
×
Women
Men
Accessories
Juglans Nigra Flower
Search
Loading...
No suggestions found
Buy Botanical Artificial Flower from Home Centre at just INR 449.0
homecentre.in
Buy Gardenia Artificial Mum Flowers in Pot from Home Centre at just INR ...
homecentre.in
Buy Botanical Artificial Flower from Home Centre at just INR 499.0
homecentre.in
Buy Botanical Artificial Flower from Home Centre at just INR 199.0
homecentre.in
Buy Botanical Plastic Artificial Flowers from Home Centre at just INR 349.0
homecentre.in
Buy Botanical Solid Artificial Flowers from Home Centre at just INR 349.0
homecentre.in
Buy Botanical Dried Tishi Flowers - 85cm from Home Centre at just INR 299.0
homecentre.in
Buy Botanical Dried Tishi Flowers - 85cm from Home Centre at just INR 299.0
homecentre.in
Buy Botanical Rose Artificial Flower from Home Centre at just INR 129.0
homecentre.in
1,173 Juglans Juglandaceae Stock Photos - Free & Royalty-Free Stock ...
dreamstime.com
Juglans nigra - black walnut | State Botanical Garden of Kentucky
uky.arboretumexplorer.org
Characterization of Phytohormones and Transcriptomic Profiling of the ...
mdpi.com
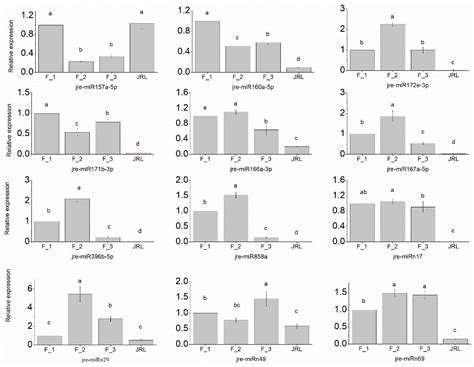
Identification and Expression of miRNAs Related to Female Flower ...
mdpi.com
Identification and Expression of miRNAs Related to Female Flower ...
mdpi.com
Juglans nigra - Black Walnut | Monticello Gardens
monticello.gardenexplorer.org
TENDER LEAVES High Yielding "Fuerte Avocado/alligator pear"Clone Type ...
amazon.in
Black Walnut Hull Extract Capsules Juglans Nigra 500mg Shop Online ...
vaastavik.in
Juglans nigra - Black Walnut | Monticello Gardens
monticello.gardenexplorer.org
Juglans nigra - black walnut | State Botanical Garden of Kentucky
uky.arboretumexplorer.org
Buy Black Walnut Alcohol-Free Liquid Extract, Organic Black Walnut ...
ubuy.co.in
Identification and Expression of miRNAs Related to Female Flower ...
mdpi.com
Creative Farmer Seeds Combo Herb Seeds & Flower Seeds : Venidium-Orange ...
amazon.in
3nh 200g Black walnut/ JUGLANS NIGRA Extract with : Amazon.in: Grocery ...
amazon.in
Juglans nigra - Eastern Black Walnut, American Black Walnut, אגוז שחור ...
jbg.gardenexplorer.org
Juglans nigra - black walnut | State Botanical Garden of Kentucky
uky.arboretumexplorer.org
Juglans nigra - black walnut | The Dawes Arboretum
dawesarb.arboretumexplorer.org
Vitamin C Detox Facial Scrub With Juglans Nigra Seed, Orange, Gojiberr
mesugatra.com
Juglans nigra - black walnut | State Botanical Garden of Kentucky
uky.arboretumexplorer.org
Probiotic Face Scrub With Juglans Nigra Seed, Shea Butter, Strawberry,
mesugatra.com
Best Travel Company
bookviaus.in
Zingiberaceae Resource Centre
iitg.ac.in
Buy Juglans Regia, Walnut, Akhrot - 0.5 kg Seeds online from ...
nurserylive.com
Karanja Oil Cold Press
manoramagroup.co.in
Elder | CLARINS®
clarins.in
Buy Corsica Axel Dried Flower Arrangement in Glass Jar from Corsica by ...
homecentre.in
Chiara- Garden Flower – Early Sunday
earlysunday.co
Flowers – Page 2 – Madras Prop Store
madraspropstore.com
Buy Garnet Garden Artificial Flower in Ceramic Planter from Home Centre ...
homecentre.in
Flowers – Page 2 – Madras Prop Store
madraspropstore.com
Identification and Comparative Analysis of Genes and MicroRNAs Involved ...
mdpi.com
Trending Bouquet Collection Bangalore | Flowerbox
flowerbox.in
Trending Bouquet Collection Bangalore | Flowerbox
flowerbox.in
Trending Bouquet Collection Bangalore | Flowerbox
flowerbox.in
Buy Serena Fabric Flower String Lights - 18 Bulbs from Home Centre at ...
homecentre.in
Buy Garnet Garden Artificial Flower in Ceramic Planter from Home Centre ...
homecentre.in
Trending Bouquet Collection Bangalore | Flowerbox
flowerbox.in
Buy Gardenia Artificial Flower in Glass Pot from Home Centre at just ...
homecentre.in
Creative Farmer Natural Air Cleansing Plants Seeds Combo Herb Seeds and ...
amazon.in
Buy Corsica Aura Flower Picture Frame - 35x35cm from Corsica by Home ...
homecentre.in
Buy Botanical Artificial Carnation Flower Stick - 62cm from Home Centre ...
homecentre.in
Juglans cinerea - white walnut, butternut | State Botanical Garden of ...
uky.arboretumexplorer.org
Buy Botanical Artificial Single Carnation Flower Stick - 61cm from Home ...
homecentre.in
Buy Gloria Bud Artificial Platycodon Flowers in Cement Pot from Home ...
homecentre.in
Buy Botanical Artificial Camellia Flower Stick - 54cm from Home Centre ...
homecentre.in
Buy Botanical Artificial Daisy Flower Stick - 70cm from Home Centre at ...
homecentre.in
Frozen Theme – Madras Prop Store
madraspropstore.com
Buy Botanical Artificial Single Carnation Flower Stick - 61cm from Home ...
homecentre.in
Buy Dastkari Dried Flower Arrangement in Ceramic Pot from Home Centre ...
homecentre.in
Buy Botanical Artificial Delphinium Flower Stick - 82cm from Home ...
homecentre.in
Buy Cascade Floating Lotus Plastic Artificial Flower from Home Centre ...
homecentre.in
Buy Gardenia Artificial Flower in Glass Pot from Home Centre at just ...
homecentre.in
Buy Botanical Artificial Carnation Flower Stick - 61cm from Home Centre ...
homecentre.in
Buy Gardenia Artificial Flower in Glass Pot from Home Centre at just ...
homecentre.in
Buy Splendid Dastkari Dried Leaves and Flowers Potpourri - 180g from ...
homecentre.in
Buy Botanical Artificial Carnation Flower Stick - 62cm from Home Centre ...
homecentre.in
Buy Botanical Artificial Daisy Flower Stick - 70cm from Home Centre at ...
homecentre.in
Identification and Expression of miRNAs Related to Female Flower ...
mdpi.com
Morphology Of Flowering Plants - NCERT Book of Class 11 Biology
betrained.in
Buy Gardenia Orchid Artificial Flower in Ceramic Pot from Home Centre ...
homecentre.in
Buy Gloria Artificial Lotus Flowers in Glass Vase from Home Centre at ...
homecentre.in
Buy Botanical Sakura Artificial Flower - 96 cm from Home Centre at just ...
homecentre.in
Rudra Centre
rudraksha-ratna.com
Identification and Expression of miRNAs Related to Female Flower ...
mdpi.com
Early Sunday
earlysunday.co
Buy Gloria Artificial Mum Flowers in Paper Mache Pot from Home Centre ...
homecentre.in
Buy Redolance Dried Leaves & Flowers Potpourri Box from Home Centre at ...
homecentre.in
Flowers – Madras Prop Store
madraspropstore.com
Buy Botanical-Art Flowers Plastic Palm Rose Bunch from Home Centre at ...
homecentre.in
Buy Botanical Sakura Artificial Flower - 96 cm from Home Centre at just ...
homecentre.in
Buy Botanical Artificial Carnation Flower Stick - 62cm from Home Centre ...
homecentre.in
Buy Brezza Set of 2 Canvas Flower and Bicycle Printed Picture Frames ...
homecentre.in
Buy Botanical Spring Delphinium Artificial Flower Stick - 82cm from ...
homecentre.in
Buy Hoovu Aluminium Multi-Flower Twig - 41.5cm from Home Centre at just ...
homecentre.in
Welcome MANSHA by Vishakha Mehra
vishakhamehra.in
Early Sunday
earlysunday.co
Buy Gloria Floret Natural Dried Flowers in Glass Jar from Home Centre ...
homecentre.in
Buy Botanical Bougainvillea Artificial Flower from Home Centre at just ...
homecentre.in
Buy Botanical Artificial Gerbera Daisy Flower Stick - 61cm from Home ...
homecentre.in
Buy Botanical Solid Artificial Plastic Flowers : 10 cm x 55 cm - White ...
homecentre.in
Buy Botanical Spring Delphinium Artificial Flower Stick - 82cm from ...
homecentre.in
Buy Botanical Orchid Artificial Flower Bunch from Home Centre at just ...
homecentre.in
Buy Botanical Orchid Artificial Flower Bunch from Home Centre at just ...
homecentre.in
Luna Eid Edit'25 - FLOWERS – Nainpreet - The Collective
nainpreet.com
Morphology Of Flowering Plants - NCERT Book of Class 11 Biology
betrained.in
Buy Botanical Solid Artificial Plastic Flowers : 10 cm x 55 cm - White ...
homecentre.in
Buy Botanical-Art Flowers Plastic Palm Rose Bunch from Home Centre at ...
homecentre.in
Buy Dastkari Dried Flower Arrangement in Ceramic Pot from Home Centre ...
homecentre.in
Buy Amida Cole Artificial Bajra Flowers in Ceramic Vase from Home ...
homecentre.in
Buy Gloria Floret Natural Dried Flowers with Bamboo Fence from Home ...
homecentre.in
Buy Botanical Sakura Artificial Flower - 70 cm from Home Centre at just ...
homecentre.in
Frozen Theme – Madras Prop Store
madraspropstore.com
Buy Festoon Natura Set of 5 Dried Shola Flowers - 53cm from Home Centre ...
homecentre.in
Flowering Plants Identification & Aesthetic Characteristics B.sc 3 ...
flipkart.com
Buy Gardenia Plumeria Artificial Magnolia Flowers in Pot from Home ...
homecentre.in
Flowers – Madras Prop Store
madraspropstore.com
Buy Splendid Dastkari Dried Leaves and Flowers Potpourri - 180g from ...
homecentre.in
Buy Panorama Glitz Metal Flower with Leaf Wall Accent from Home Centre ...
homecentre.in
Khangchendzonga National Park: Experience Nature at its Best
traveltriangle.com
Buy Gloria Floret Natural Dried Flowers in Glass Jar from Home Centre ...
homecentre.in
Buy Botanical Sakura Artificial Flower - 70 cm from Home Centre at just ...
homecentre.in
Chilli at flowering stage
agritech.tnau.ac.in
Buy Corsica Eden Artificial 3-Petal Flowers in Glass Vase - 28 cm from ...
homecentre.in
Identification and Comparative Analysis of Genes and MicroRNAs Involved ...
mdpi.com
Buy Botanical Cherry Blossom Artificial Flower - 104 cm from Home ...
homecentre.in
Buy Gloria Floret Natural Dried Flowers with Basket from Home Centre at ...
homecentre.in
Buy Brezza Set of 2 Canvas Woman and Flowers Printed Picture Frames ...
homecentre.in
Buy Botanical-Art Flowers Plastic Palm Rose Bunch from Home Centre at ...
homecentre.in
Buy Botanical Artificial Gerbera Daisy Flower Stick - 61cm from Home ...
homecentre.in
Buy Botanical Lily Plastic Artificial Flower - 82cm from Home Centre at ...
homecentre.in
Buy Redolance Dried Leaves & Flowers Potpourri Box from Home Centre at ...
homecentre.in
Related Searches
Juglans Nigra Twig
Juglans Nigra Fruit
Juglans Nigra Tree
Nigra Flower
Juglans Nigra Leaf
Juglans Nigra Buds
Juglans Nigra Black Walnut Flower
Juglans Nigra Leaves
Juglans Nigra Seedlings
Juglans Nigra Sapling
Juglans Cinerea
Juglans Nigra L.
Juglans Nigra Nut
Juglans Nigrum
Juglans Nigra Plant
Juglans Nigra Bark
Juglans Regia
Juglans Nigra Range
Juglans Nigra Laciniata
Juglans Nigra Form
Juglans Nigra Winter
Juglans Nigra Catkins
Juglans Nigra Seed
Juglans Nigra Wood
Juglas Nigra
Juglans Nigra Female vs Male Flower
English Walnut Tree Bark
American Black Walnut
Eastern Black Walnut Tree
Juglans Cinera Flower
Juglans Nigra Leaf and Bud
Juglans Nigra Stem
Juglandaceae Juglans Nigra
Juglans Nigra Common
Juglans Nigra Folia
Juglans Jamaicensis
California Black Walnut Tree
Juglans Nigra for Parasites
Juglans Nigra Dye
Juglans Nigra Pith
Hybrids in Juglans Nigra
Black Walnut Native Range
Juglans Nigra Go Botany
Black Walnut Tree Leaf Identification
Juglans Nigra Pods
Juglans Nigra Fall
Juglans Nigra Branch Anatomy
Juglans Nigra Fruit Kernel
Juglans Nigra Branches
Juglans Nigra Foliage
Search
×
Search
Loading...
No suggestions found