Find Your Style
Women
Men
Accessories
Search for clothing, brands, styles...
×
Women
Men
Accessories
Lactolone Tab
Search
Loading...
No suggestions found
INR Full Form: What is full form of INR?
bankersadda.com
MCL signs INR 7.02 crore MoU for AAROGYA initiative
psuconnect.in
Samsung Launches Galaxy Tab S10FE Series in India, Starting at INR ...
news.samsung.com
Mini-Lactone - Strip of 10 Tablets : Amazon.in: Health & Personal Care
amazon.in
Lactovrol 100 - Lactulose Solution U.S.P. - Euphony Healthcare
pharmavends.com
Lacotab 100 MG Tablet (15): Uses, Side Effects, Price & Dosage | PharmEasy
pharmeasy.in
Lactare Strip Of 30 Capsules: Uses, Side Effects, Price & Dosage ...
pharmeasy.in
Looz Enema 275 ml @Rs. 317 | Contraindications | Approved by Experts
cureka.com
Pharmaceutical Tablets and Pharmaceutical Injections Wholesale Trader ...
medbeathealthcare.in
Buy Minilactone Strip Of 10 Tablets Online at Flat 15% OFF | PharmEasy
pharmeasy.in
Lactulose Solution Syrup - Trium Pharmaceuticals
triumpharma.co.in
Tacrolimus lactone Isomer | CAS No- 134590-88-8 | Simson Pharma Limited
simsonpharma.com
Spironolactone: View Uses, Side Effects and Medicines
truemeds.in
Thermodynamic Properties of γ- and δ-Lactones: Exploring Alkyl Chain ...
mdpi.com
Sarlose - Lactulose solution usp - Cynak Healthcare
pharmavends.com
Laxrid - Lactulose Oral Solution U.S.P. - Pride Pharma
pharmavends.com
Lactoryl - Lactulose Solution - Ryland Health Care
pharmavends.com
Lactutone - Lactulose solution USP - Medok Life Sciences Pvt. Ltd
pharmavends.com
Pharmaceutical Syrup - Magaladrate And Simethicone Oral Suspension USP ...
mcbrexlife.co.in
Lachemz - Lactulose Solution - Ryze Lifecare
pharmavends.com
LACTULOSE SOLUTION Shinepro Lifesciences Pvt. Ltd.
company.pharmahopers.com
Lactulose 10 gm / 15 ml Solution USP Medox Pharmaceuticals
company.pharmahopers.com
Antispasmodic, Antacids and Enzymes - Nifazyme in Pan India Exporter ...
elfinpharma.in
Lactu - Lactulose Solution U.S.P. - Zegchem
pharmavends.com
Aldactone Tablet: Uses, Side Effects, Price & Substitutes
truemeds.in
Acitrom 4 Tablet | Uses, Side Effects, Price | Apollo Pharmacy
apollopharmacy.in
Lactulose Solution Syrup 10gm/15ml Welcome Pharma
company.pharmahopers.com
The prebiotic potential of lactulose: A review
phytopharmajournal.com
Lactulose Syrup: Benefits, Side Effects, and Uses
medicoverhospitals.in
Chalcone-Derived Lactones: Synthesis, Whole-Cell Biotransformation, and ...
mdpi.com
Depsipeptides Targeting Tumor Cells | Encyclopedia MDPI
encyclopedia.pub
Mécanisme d'action, dosage et sécurité du lactulose.
medicoverhospitals.in
shop
prevegohealthcare.in
Aldactone Tablet: Uses, Side Effects, Price & Substitutes
truemeds.in
Laxan 10 G Oral Solution (200): Uses, Side Effects, Price & Dosage ...
pharmeasy.in
Lactulose Syrup Supplier from Ahmedabad
alpicremedies.co.in
Linapaz-M 2.5/500 Tablet 10's Price, Uses, Side Effects, Composition ...
apollopharmacy.in
Ovral L - Strip of 21 Tablets : Amazon.in: Health & Personal Care
amazon.in
Augmentin 375 Tablet 10's Price, Uses, Side Effects, Composition ...
apollopharmacy.in
Warf 3 MG Tablet (30): Uses, Side Effects, Price & Dosage | PharmEasy
pharmeasy.in
Warf-5 Tablet: Uses, Side-effects, Price, Dosage & More Info - PharmEasy
pharmeasy.in
Warf 2 Tablet | Uses, Side Effects, Price | Apollo Pharmacy
apollopharmacy.in
Comparative Chemical Analysis of the Essential Oil Constituents in the ...
mdpi.com
8 Obat Stroke yang Efektif dan Tersedia di Apotik - Alodokter
alodokter.com
Lacto - Lactulose Drops 600 Units - Biofrank Pharmaceuticals India ...
pharmavends.com
Strengthen & Detox Pack for Him – Power Gummies
powergummies.com
Pharmaceutical Syrup - Calcium Magnesium Zinc And Vitamin D3 ...
vrovwenbiologics.in
Intacoxia 90 Tablet 10's Price, Uses, Side Effects, Composition ...
apollopharmacy.in
Warf 3 MG Tablet (30): Uses, Side Effects, Price & Dosage | PharmEasy
pharmeasy.in
Warfarin and Antibiotics: Drug Interactions and Clinical Considerations
mdpi.com
Buy Caffeine Pills 220mg With Green Tea | 300 Tablets | Vegetarian, Non ...
ubuy.co.in
Atorvastatin Lactone 125995-03-1 | Tokyo Chemical Industry (India) Pvt ...
tcichemicals.com
Sitaxa M XR 100/1000 mg Tablet 10's Price, Uses, Side Effects ...
apollopharmacy.in
Buy Intas Looz Enema 275ml Online - Cureka
cureka.com
Montelukast Lactone | CAS No- 1100617-38-6 | Simson Pharma Limited
simsonpharma.com
ALBILACT SYP. | Lactulose 10gm/ 15ml (Sugar Free)
albia.in
Met Xl R 50mg/5mg Strip Of 15 Tablets: Uses, Side Effects, Price ...
pharmeasy.in
R-RD Capsule | Uses, Side Effects, Price | Apollo Pharmacy
apollopharmacy.in
Voveran SR 100 Tablet 15's Price, Uses, Side Effects, Composition ...
apollopharmacy.in
Warf 3 MG Tablet (30): Uses, Side Effects, Price & Dosage | PharmEasy
pharmeasy.in
blood related | PREVEGO HEALTHCARE & RESEARCH PVT LTD in Mumbai, India
prevegohealthcare.in
Tacrolimus Delta Lactone Impurity | CAS No- NA | Simson Pharma Limited
simsonpharma.com
Tulac 3.335 GM Oral Solution (200): Uses, Side Effects, Price & Dosage ...
pharmeasy.in
Warf-5 Tablet | Uses, Side Effects, Price | Apollo Pharmacy
apollopharmacy.in
Warf-3 - Strip of 30 Tablets : Amazon.in
amazon.in
Linapil 5 MG Tablet (10): Uses, Side Effects, Price & Dosage | PharmEasy
pharmeasy.in
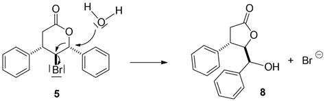
Compound ( X ) undergoes following sequence of reactions to give the ...
tardigrade.in
Acitrom 3 Tablet: Uses, Side-effects, Price, Dosage & More Info - PharmEasy
pharmeasy.in
Tulac 3.335 GM Oral Solution (200): Uses, Side Effects, Price, Dosage ...
pharmeasy.in
USD/INR Cracks Big: Falls 2% in 4 Days! | Investing.com India
in.investing.com
Pitavastatin Lactone
kmpharma.in
Lactulose Solution (Syrup) - Lactulose Solution (Syrup) Manufacturer ...
altarlifesciences.in
Welcome [www.dlpindia.in]
dlpindia.in
IMPPAT | IMPPAT: Indian Medicinal Plants, Phytochemistry And Therapeutics
cb.imsc.res.in
A hydroxyl acid on heating gives a 5- membered lactone. The acid is
tardigrade.in
Augmentin 375mg Strip Of 10 Tablets: Uses, Side Effects, Price & Dosage ...
pharmeasy.in
Milixim O Sr 400mg Tablet 5'S: Uses, Side Effects, Price & Dosage ...
pharmeasy.in
Pantoprazole 40 mg ER Levosulpiride 75 mg SR Capsule For PCD Franchise
mkmedicine.in
Lactulose Syrup Exporter,Lactulose Syrup Supplier from Mumbai India
mahavirmedicalagency.co.in
Welcome [www.dlpindia.in]
dlpindia.in
India and Malaysia can now trade in Indian rupee
currentaffairs.adda247.com
Duphalac Oral Solution 250 ml Price, Uses, Side Effects, Composition ...
apollopharmacy.in
Linares 5 MG Tablet (10): Uses, Side Effects, Price & Dosage | PharmEasy
pharmeasy.in
Buy Udapa Trio Strip Of 10 Tablets Online at Flat 15% OFF | PharmEasy
pharmeasy.in
Montelukast Lactone | CAS No- 1100617-38-6 | Montelukast Lactone
chemicea.com
Linares 5 MG Tablet (10): Uses, Side Effects, Price & Dosage | PharmEasy
pharmeasy.in
Irinotecan Lactone Impurity
kmpharma.in
Lactulose | CAS No- 4618-18-2 | Simson Pharma Limited
simsonpharma.com
Prolomet R 25 Tablet | Uses, Side Effects, Price | Apollo Pharmacy
apollopharmacy.in
D-Glucurono-6,3-lactone 32449-92-6 | Tokyo Chemical Industry (India ...
tcichemicals.com
Laczo - Lactulose Solution USP - Medizec Laboratories
pharmavends.com
Rejunex Cd3 Nf Tablets 10 - Uses, Side Effects, Dosage, Price | Truemeds
truemeds.in
Buy Stalix M Xr 50/500mg Strip Of 10 Tablets Online at Flat 15% OFF ...
pharmeasy.in
5-Hydroxynorbornane 2,6-Lactone - ChemicalBook India
chemicalbook.in
India shining: Rupee inches closer to becoming international currency ...
timesnownews.com
blood related | PREVEGO HEALTHCARE & RESEARCH PVT LTD in Mumbai, India
prevegohealthcare.in
Sharayu Ayurveda Panchkarma & Wellness Centre in Mumbai
ayurvedwale.in
Corey Lactone Diol 32233-40-2 | Tokyo Chemical Industry (India) Pvt. Ltd.
tcichemicals.com
5-Hydroxydrospirenone lactone | CAS No- 197721-70-3 | Simson Pharma Limited
simsonpharma.com
R-Loc 150 Tablet | Uses, Side Effects, Price | Apollo Pharmacy
apollopharmacy.in
Warf 5 MG Tablet (30): Uses, Side Effects, Price & Dosage | PharmEasy
pharmeasy.in
Buy Warf 5 MG Tablet (15) Online at Flat 15% OFF | PharmEasy
pharmeasy.in
IMPPAT | IMPPAT: Indian Medicinal Plants, Phytochemistry And Therapeutics
cb.imsc.res.in
Usi ed effetti collaterali del warfarin: cosa devi sapere
medicoverhospitals.in
Nifty-SR Tablet: Uses, Side-effects, Price, Dosage & More Info - PharmEasy
pharmeasy.in
3a-Hydroxy Pravastatin Lactone | CAS No- 85798-96-5 | Simson Pharma Limited
simsonpharma.com
IMPPAT | IMPPAT: Indian Medicinal Plants, Phytochemistry And Therapeutics
cb.imsc.res.in
Chalcone-Derived Lactones: Synthesis, Whole-Cell Biotransformation, and ...
mdpi.com
Buy Istamet Xr 100/1000mg Strip Of 10 Tablets Online at Flat 15% OFF ...
pharmeasy.in
Valentas 50mg Strip Of 10 Tablets: Uses, Side Effects, Price & Dosage ...
pharmeasy.in
Chalcone-Derived Lactones: Synthesis, Whole-Cell Biotransformation, and ...
mdpi.com
Wie ich eine disseminierte intravasale Gerinnung diagnostiziere und be ...
universimed.com
Natural Polyketides Act as Promising Antifungal Agents
mdpi.com
Buy Sitaxa M Xr 100/500mg Strip Of 10 Tablets Online at Flat 15% OFF ...
pharmeasy.in
R-Loc D Tablet | Uses, Side Effects, Price | Apollo Pharmacy
apollopharmacy.in
Warf 1 MG Tablet (30): Uses, Side Effects, Price & Dosage | PharmEasy
pharmeasy.in
Chalcone-Derived Lactones: Synthesis, Whole-Cell Biotransformation, and ...
mdpi.com
Aciloc RD 20 New Tablet | Uses, Side Effects, Price | Apollo Pharmacy
apollopharmacy.in
Lanol ER Tablet 10's Price, Uses, Side Effects, Composition - Apollo ...
perfmedicine.apollopharmacy.in
RCIN 450MG CAPSULE Price, Uses, Side Effects, Composition - Apollo Pharmacy
apollopharmacy.in
Related Searches
S Lactone
Lactone Structure
Lactone Ring
What Is a Lactone
Lactone Formation
Beta Lactone
Lacton
Delta Lactone
Alpha Lactone
Lacitone
Lactoned
Lactone Uses
Dairy Lactone
Lactone Formula
Oak Lactone
Lactone Molecule
Milk Lactone
Glucono Delta-Lactone
Gama Lactone
Tab Aldactone 25
香料 Lactone
Cyclohexyl Lactone
Lactone Chemistry
5 Ring Lactone
Lactol to Lactone
Lactone Cream
Coffee Lactone
Lactone Tofu
Angelica Lactone
Lactone General Structure
Corey Lactone
Lactone Syrup
Triacetic Acid Lactone
Sugar Lactone
Mini Lactone
Glucono Delta Lactone in Food
Lactone Capsules
Refre Lactone
Absorption Lactone
GDL Glucono Delta Lactone
Gluconolactone Powder
5-Member Lactone
Lactone Hydrazide
Glucono Delta Lactone for Tofu
Corey Lactone Synthesis
Gamma Lactone
What Is Lactone
Structure of Lactone
Homoserine
Γ Lactone
Search
×
Search
Loading...
No suggestions found