Find Your Style
Women
Men
Accessories
Search for clothing, brands, styles...
×
Women
Men
Accessories
Lambda Calculus Basic Syntax
Search
Loading...
No suggestions found
Buy An Introduction to Functional Programming Through Lambda Calculus ...
amazon.in
Buy The Lambda Calculus: Its Syntax and Semantics (Volume 103) (Studies ...
amazon.in
Python Concepts - The Art of Packet Crafting with Scapy
scapy.disruptivelabs.in
Lambda-Calculus and Combinators: An Introduction eBook : Hindley, J ...
amazon.in
Lambda Calculus with Types (Perspectives in Logic) eBook : Barendregt ...
amazon.in
Buy A Simple Lambda-calculus Model of Programming Languages Book Online ...
amazon.in
Fillable Online Lambda Calculus Interpreter Sample Interpretations ...
pdffiller.com
A Concise Note on Lambda Calculus : Amazon.in: Books
amazon.in
The (untyped) lambda calculus
cmi.ac.in
Contents
cmi.ac.in
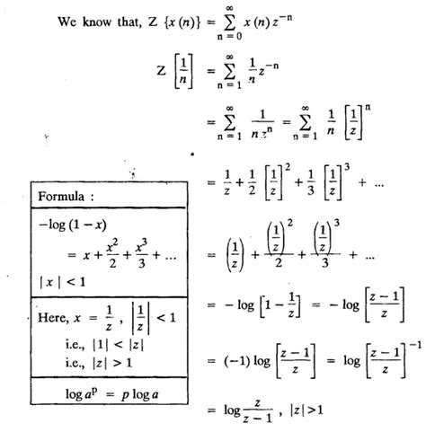
z - transforms - Applications, Elementary properties, Definition ...
mech.poriyaan.in
z - transforms - Applications, Elementary properties, Definition ...
mech.poriyaan.in
z - transforms - Applications, Elementary properties, Definition ...
mech.poriyaan.in
Polymorphic typed calculi
cmi.ac.in
Problems based on Z-transform of some basic functions - Examples
civil.poriyaan.in
AWS Lambda Destinations vs Step Functions - Build Microservices - Cloud ...
rajeshbhojwani.co.in
Lambda Function in Python: Syntax, Examples, and Best Practices
ccbp.in
Data Reduction - 3212 - Data Reduction: A Simple And Concise Guide ...
studocu.com
[Lambda] Expressions In c# - Free Source code Download & Tutorials ...
trickcode.in
Kindle Friendly AWS Compute Blogs
bejoycalias.in
Basic Calculus (3rd Edition) (Book with DVD) : Amazon.in: Books
amazon.in
Basics about R in Statistics - Basics Blue colour courier New font ...
studocu.com
Buy Calculus and Analytic Geometry Book Online at Low Prices in India ...
amazon.in
Essential Calculus Skills Practice Workbook with Full Solutions eBook ...
amazon.in
Basic Syntax in R Programming - We can see that “Hello, World!” is ...
studocu.com
Basic Syntax in R Programming - We can see that “Hello, World!” is ...
studocu.com
Basic Syntax in R Programming - We can see that “Hello, World!” is ...
studocu.com
Syntax of C Language in Hindi (Program Structure) - Tutorial in Hindi
tutorialinhindi.com
Syntax of C Language in Hindi (Program Structure) - Tutorial in Hindi
tutorialinhindi.com
C Programming Basic Syntax And Rules in Hindi Notes - RakeshMgs
rakeshmgs.in
Functions in LibreOffice Calc — lesson. Science State Board, Class 8.
yaclass.in
Lambda Function in Python: Syntax, Examples, and Best Practices
ccbp.in
Functions in LibreOffice Calc — lesson. Science State Board, Class 8.
yaclass.in
Basic Syntax in R Programming - We can see that “Hello, World!” is ...
studocu.com
Basic Syntax in R Programming - We can see that “Hello, World!” is ...
studocu.com
Fix error for lambda function url in localstack - Kuros.in
kuros.in
Calculus Basic Concepts by L. V. Tarasov: A Guiding Dialogue
ebookmela.co.in
Kindle Friendly AWS APN Blogs
bejoycalias.in
Basic Markdown Syntax - The Success Manual
thesuccessmanual.in
Buy A Constructive Semantics of the Lambda Calculus Book Online at Low ...
amazon.in
SQL Syntax
minigranth.in
Lambda Function in Python: Syntax, Examples, and Best Practices
ccbp.in
Basic Python Syntax and First Program in Python | FITA Academy
fitaacademy.in
Lambda Function in Python: Syntax, Examples, and Best Practices
ccbp.in
Function derivative
niser.ac.in
Relational Algebra in DBMS - DBMS Tutorial | Study Glance
studyglance.in
Differential calculus - Basic concepts in chemistry - Studocu
studocu.com
Structure in C++ - C++ Tutorial
sitesbay.com
Calculus-basics (Proofs of Limit Theorems) - AP-4 Appendices Proofs of ...
studocu.com
Basic Python Syntax and First Program in Python | FITA Academy
fitaacademy.in
Buy Basic Concepts Of Integral Calculus Book Online at Low Prices in ...
amazon.in
Matrices and Calculus - MA3151 1st semester | 2021 Regulation Notes ...
poriyaan.in
Basic Calculus Mathematics for Grade 11 - Questions, practice tests ...
edurev.in
Derivation of equations and List of 3 equations of motion - Physics ...
aakash.ac.in
Basic syntax - PHP | Basic Syntax PHP or Hypertext Preprocessor is a ...
studocu.com
Basic Calculus : Friedman, Nathaniel A.: Amazon.in: Books
amazon.in
Differentiation Formulas, Definition, Chart, PDF, Solved Examples
adda247.com
Inheritance: Basics - Definition, Concept, Advantages, Syntax
cse.poriyaan.in
Calculus: Itegration
gateoverflow.in
Maxima and Minima of a Function of one variable - Definition, Theorem ...
mech.poriyaan.in
From Lambda Calculus to Cybersecurity Through Program Analysis: Essays ...
amazon.in
Amazon.in: Lambda calculus quiz : Alexa Skills
amazon.in
50+ calculus worksheets for 12th Class on Quizizz | Free & Printable
wayground.com
JAVAFX Event Basics - Syntax with Example Java Programs
cse.poriyaan.in
Structured Text Programming in PLC – Basics, Syntax & Industrial Use
plcblog.in
The wavelength (lambda) of the matterwaves may depend upon Planck ...
brainly.in
All Integration Formulas PDF and Sheet for Class 12 Students
adda247.com
PYTHON INTRODUCTION | PYTHON EDUCATION
diplomawale.in
Module 1 = Basic Calculus - Module 1 : Basic Calculus 1. Improper ...
studocu.com
Buy Basic Laws of Electromagnetism & Differential Calculus For ...
amazon.in
Derivative Formula, Rules, Examples And Derivatives List
pw.live
The wavelengths corresponding to violet, yellow and red lights are λv ...
edurev.in
Buy Basic Calculus Book Online at Low Prices in India | Basic Calculus ...
amazon.in
Derivative Formula, Rules, Examples And Derivatives List
pw.live
Basic Methods of Integration class notes - Subject :- Mathematics Basic ...
studocu.com
PHP Programming 10 - ,/ . / T . / ,/99
studocu.com
Integral Calculus - Useful - INTEGRAL CALCULUS Vital math is the ...
studocu.com
M-II- Notes part1 - covers differential calculus - Basic Engineering ...
studocu.com
SQL DROP Command : Syntax
minigranth.in
The Power of Limits in Calculus [1 min read]
fairgaze.com
determination of lambda by Newton ring - Ques: What is the basic ...
studocu.com
DevOps Architecture: Reference Diagram IBM Cloud, 53% OFF
elevate.in
Basic Python Syntax and First Program in Python | FITA Academy
fitaacademy.in
Calculus : Amazon.in: Books
amazon.in
Dispersionclass - 321 - Subject: Introduction to Statistics BS ...
studocu.com
M-II- Notes part3 - covers differential calculus - Basic Engineering ...
studocu.com
Download Basic Python Syntax Handwritten Notes Pdf
diplomawale.in
Noise Pollution Control-Chapter 13 - 453 From: Handbook of ...
studocu.com
M-II- Notes part1 - covers differential calculus - Basic Engineering ...
studocu.com
NEWYES Scientific Calculators with Writing Tablet, Upgraded 991MS Solar ...
amazon.in
SIMPLIFIED BASIC ALGEBRA AND DIFFERENTIAL CALCULUS: The Ultimate Guide ...
amazon.in
Calculus 1 - Differentiation and Integration: Over 1,900 Solved ...
amazon.in
BASIC SYNTAX OF C PROGRAMMING LANGUAGE eBook : AMAKA, CHI: Amazon.in: Books
amazon.in
Java Tutorial For Beginners | Basic Java Programming Tutorials | FITA ...
fita.in
Buy With Calculus (Basic Technical Mathematics) Book Online at Low ...
amazon.in
How to create serverless function with spring cloud function, deploy ...
learnjavaskills.in
Basic applications of Differential and Integral Calculus Video Lecture ...
edurev.in
Laplace Transforms - Basic functions
eee.poriyaan.in
Syntax Analysis - It analyses the syntactical structure and checks if ...
studocu.com
BAT to INR: Convert Basic Attention Token (BAT) to Indian Rupee (INR ...
coinbase.com
Databases: Relational Calculus basic
gateoverflow.in
Mind Map: Basics of Control System and Transfer Function - Control ...
edurev.in
Buy Calculus Made Easy Book Online at Low Prices in India | Calculus ...
amazon.in
Databases: Relational Calculus basic
gateoverflow.in
Feynman’s Path Integral explained with basic Calculus: Buy Feynman’s ...
flipkart.com
Xhtml - XHTML XHTML tutorial provides basic and advanced concepts of ...
studocu.com
Java Record 9 - Daa lab through java notes - J.N.T.U. UNIVERSITY ...
studocu.com
Basic Technical Mathematics WITH Calculus - Basic Technical Mathematics ...
studocu.com
Python basic syntax - tutorialspoint/python/python_basic_syntax.htm ...
studocu.com
How to use Array reduce() Method in JavaScript with Example
encodedna.com
Buy Schaum's Outline of Theory and Problems of Advanced Calculus ...
amazon.in
Ct2 maths Answers - Calculus And Linear Algebra - Studocu
studocu.com
Buy Calculus And Analytic Geometry Book Online at Low Prices in India ...
amazon.in
பயிற்சி 11.1: தொகையிடலின் அடிப்படை விதிகள் (Basic Rules of Integration ...
brainkart.in
Buy Basic Calculus: From Archimedes to Newton to Its Role in Science ...
amazon.in
Buy Thomas' Calculus: Early Transcendentals in SI Units Book Online at ...
amazon.in
Buy Basic Calculus with Applications Book Online at Low Prices in India ...
amazon.in
Calculus I Differentiation Formula Sheet by Rabia Cakmak | TPT
teacherspayteachers.com
Terraform Language Basics | DevOpsWorld
devopsworld.co.in
Calculus- Basics (Mathematical Induction) - AP- APPENDICES Mathematical ...
studocu.com
Related Searches
Lambda Syntax
Y Combinator Lambda Calculus
Why Study Lambda Calculus
Python Lambda Syntax
Lambda Calculus Proof Tree
Lambda Calculus Church Encoding
Who Invented Lambda Calculus
Lambda Calculus Examples
Lambda Calculus Abstraction
Lambda Calculus Question
How to Do Lambda Calculus
Lambda Calculus Rules
Lambda Calculus Expression True
Lambda Calculus Formal Derivation of a Type
Lambda Calculus Combinators
Kestrel Lambda Calculus
Lambda Calculus Solution
Recursion Lambda Calculus
Alonzo Church Lambda Calculus
Lambda Calculus Cheat Sheet
Lambda Calculus Equivalents
What Is Lambda Calculus
Lambda Function Syntax
Lambda Calculus Tower
C# Lambda Syntax
Lambda Calculus Visualized
The Simply Typed Lambda Calculus
String Diagram in Lambda Calculus
Lambda Calculus Wiki
Lambda Calculus ITE Explanation
Knights of Lambda Calculus
Lambda Calculus Mind Map
Simplifing Rules in Lambda Calculus
Nand Lambda Calculus
Lambda Calculus Boolean Logic
Lambda Calculus Formula
Lambda Calculus and Linguistics
Simple Currying Example Lambda Calculus
Lambda Calculus Profile Image
Beta Reduction Lambda Calculus
Monad in Lambda Calculus
Discrete Mathematics and Lambda Calculus
Lambda Calculus Software Download
Lambda Calculus Call by Value
Lambda Ccalculus
Who Invented Lambda Calculus and When for CS
Lambda Calculus Yale
Lambda Calculus Defintion
Lambda Calculus Ocmal
Lambda Calculus Esolang
Search
×
Search
Loading...
No suggestions found