Find Your Style
Women
Men
Accessories
Search for clothing, brands, styles...
×
Women
Men
Accessories
Laplave Table
Search
Loading...
No suggestions found
Beautiful Table Lamps Under INR 10K
lbb.in
JZ - 167B-F98B DINING TABLE Products at price INR 0 in Rajapalayam | AK ...
akfurn.in
JZ - 167B-F98B DINING TABLE Products at price INR 0 in Madurai | AK ...
akfurn.in
OFFICE TABLE Products at price INR 2000 in Coimbatore | Zion And Co ...
zionandco.in
JZ - 167B-F98B DINING TABLE Products at price INR 0 in Rajapalayam | AK ...
akfurn.in
JZ - 167B-F98B DINING TABLE Products at price INR 0 in Madurai | AK ...
akfurn.in
JZ - 167B-F98B DINING TABLE Products at price INR 0 in Madurai | AK ...
akfurn.in
DW - OVAL DINING TABLE Products at price INR 0 in Madurai | AK Furniture
akfurn.in
Table of Laplace Transforms - Calculus - Mathematics PDF Download
edurev.in
Table of Laplace Transforms Video Lecture - Calculus - Mathematics
edurev.in
Laplace Table Proofs - Laplace Table Derivations L(tn) = n! s1+n L(eat ...
studocu.com
Laplace and Z transform table - TABLE C Table of Laplace transform and ...
studocu.com
Laplace Table - FORMULA SHEET - M.Sc., Physics - Studocu
studocu.com
Laplace transform table - Brainly.in
brainly.in
Table of Laplace and Z-Transforms - Table of Laplace and Z Transforms ...
studocu.com
Table of Laplace Transforms - Calculus - Mathematics PDF Download
edurev.in
Laplace Transforms - Basic functions
eee.poriyaan.in
Properties of Laplace Transforms
ece.poriyaan.in
Laplace-table - N/A - Manufacturing Systems - IIITDM Kancheepuram - Studocu
studocu.com
Laplace Table - FORMULA SHEET - M.Sc., Physics - Studocu
studocu.com
Laplace Table - nbghj - Table of Laplace Transforms ( ) { ( )} 1 f t F ...
studocu.com
Table of Laplace Transforms - Calculus - Mathematics PDF Download
edurev.in
Inverse Laplace transform 5 - Chapter- Topic-2. Inverse Laplace ...
studocu.com
Table of Laplace and Z-Transforms - Table of Laplace and Z Transforms ...
studocu.com
Laplace Transform - Laplace transform pair, Relationship Between ...
ece.poriyaan.in
1st Semester Engineering Mathematics I part 3 - UNIT III : INTEGRAL ...
studocu.com
Laplace Table - nbghj - Table of Laplace Transforms ( ) { ( )} 1 f t F ...
studocu.com
Table of Laplace and Z-Transforms - Table of Laplace and Z Transforms ...
studocu.com
Laplace table - QUICK UNDERSTAND - Table of Laplace Transforms f (t ...
studocu.com
Use a table of Laplace transforms to find the Inverse Laplace transform ...
ask.learncbse.in
Laplace Table - nbghj - Table of Laplace Transforms ( ) { ( )} 1 f t F ...
studocu.com
Laplace Table - nbghj - Table of Laplace Transforms ( ) { ( )} 1 f t F ...
studocu.com
One way Anova manually in r
mrinalcs.github.io
Properties of Laplace Transforms
ece.poriyaan.in
Laplace transform derivatives - more Problems - B.tech - Studocu
studocu.com
Laplace-Transform-Table - mechanics of solids - Studocu
studocu.com
Tables of Laplace Transforms : Day, W.D.: Amazon.in: Books
amazon.in
How to Interpret a Correlation Coefficient r - India Dictionary
1investing.in
Laplace transform table - Brainly.in
brainly.in
Mansha || Product details
vishakhamehra.in
Kinsman Dining Table – Bay Window
baywindow.co.in
Laplace Table - nbghj - Table of Laplace Transforms ( ) { ( )} 1 f t F ...
studocu.com
The Second Wind | Limited Edition
thesecondwind.in
Laplace transforms - 152 M. BOHNER AND A. PETERSON Table 1. Laplace ...
studocu.com
Balaji Furniture -08048127650 in Charholi
balajifurnitures.in
Zenda Table – Bay Window
baywindow.co.in
Mansha || Product details
vishakhamehra.in
Poisson's and Laplace's Equations - Definition, Solved Example Problems
eee.poriyaan.in
Properties of Laplace Transforms
ece.poriyaan.in
Origami Dining Table – Bay Window
baywindow.co.in
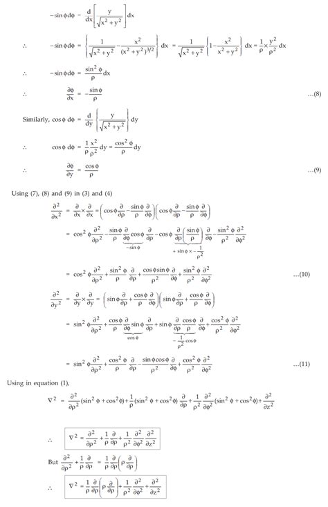
Laplace equation in polar coordinates - Applicable Mathematics - Studocu
studocu.com
Origami Dining Table – Bay Window
baywindow.co.in
Calculating Capacitance using Laplace's Equation - with Example Solved ...
eee.poriyaan.in
MEDOC HEALTHCARE | 8421239543 in Baner, India
medochealthcare.in
Laplace 7 - QUICK CAL - EqWorld eqworld.ipmnet Auxiliary Sections ...
studocu.com
1st Semester Engineering Mathematics I part 3 - UNIT III : INTEGRAL ...
studocu.com
Properties of Laplace Transforms
ece.poriyaan.in
Korean – Frangipani Furniture
frangipanifurniture.com
Ondulata Dining Table – Bay Window
baywindow.co.in
Laplace And Fourier Transforms: Buy Laplace And Fourier Transforms by J ...
flipkart.com
Properties of Laplace Transforms
ece.poriyaan.in
Balaji Furniture -08048127650 in Charholi
balajifurnitures.in
Properties of Laplace Transforms
ece.poriyaan.in
Mansha || Product details
vishakhamehra.in
Inverse Laplace transform 5 - Chapter- Topic-2. Inverse Laplace ...
studocu.com
Balaji Furniture -08048127650 in Charholi
balajifurnitures.in
Furniture - Buy & Sell Used Items | SecondHandBazaar
secondhandbazaar.in
Pcb Assembly Table -TECHNO TRIX INDIA, Delhi (Delhi)
technotrixindia.in
Properties of Laplace Transforms
ece.poriyaan.in
The Second Wind | Limited Edition
thesecondwind.in
Origami Dining Table – Bay Window
baywindow.co.in
Laplace transform of dirac delta function - Brainly.in
brainly.in
Properties of Laplace Transforms
ece.poriyaan.in
show that the function V= A/r+B satisfies Laplace's equation, where A ...
brainly.in
Zenda Table – Bay Window
baywindow.co.in
Procedure for Solving Laplace's Equation - with Example Solved Problems
eee.poriyaan.in
Problems Based on Laplace Transform Analysis of CT System
ece.poriyaan.in
Problems Based on Laplace Transform Analysis of CT System
ece.poriyaan.in
LAPLACE TRANSFORM AND FOURIER SERIES eBook : S. R. Patil, M. D. Bhagat ...
amazon.in
Properties of Laplace Transforms
ece.poriyaan.in
trigonometry table
openclasses.in
Properties of Laplace Transforms
ece.poriyaan.in
LAPLACE TRANSFORM Mathematics - Paper - III (MTH - 203 A) eBook : M. N ...
amazon.in
Agro Dining Table – Bay Window
baywindow.co.in
Procedure for Solving Laplace's Equation - with Example Solved Problems
eee.poriyaan.in
Elizabeth Coffee Table – Bay Window
baywindow.co.in
Buy Fiddlys Wooden Money/Piggy Bank, Money Coin Box for Kids/Children ...
amazon.in
Cocoa Coffee Table – Bay Window
baywindow.co.in
Buy Office Tables Online at Best Price | Ubuy India
ubuy.co.in
Rachin Ravindra IPL | OneCricket
cricket.one
Pcb Assembly Table -TECHNO TRIX INDIA, Delhi (Delhi)
technotrixindia.in
Wilting Coffee Table – Bay Window
baywindow.co.in
Latches - Synchronous Sequential Logic - Digital Principles and ...
cse.poriyaan.in
Origami Dining Table – Bay Window
baywindow.co.in
Poisson's and Laplace's Equations - Definition, Solved Example Problems
eee.poriyaan.in
Engineering Mathematics- ORDINARY DIFFERENTIAL EQUATIONS OF FIRST ORDER ...
studocu.com
Vivante Dining Table – Bay Window
baywindow.co.in
Westchester Coffee Table – Bay Window
baywindow.co.in
Frases de Pierre Simon Laplace (21 citações) | Citações e frases famosas
citacoes.in
Elizabeth Coffee Table – Bay Window
baywindow.co.in
Example 5. find the inverse laplace transform of following function ...
scoop.eduncle.com
USD/INR Recoils As DXY Index Shows Weakness
news.investingcube.com
Furniture - Buy & Sell Used Items | SecondHandBazaar
secondhandbazaar.in
VRK Salt Solutions in Chennai
vrksalt.in
Balancing Pagoda Lights– LandscapeStudio
landscapestudio.in
Laplace Transform Analysis of CT System
ece.poriyaan.in
Welcome MANSHA by Vishakha Mehra
vishakhamehra.in
Dining Table – Bay Window
baywindow.co.in
Problems Based on Laplace Transform Analysis of CT System
ece.poriyaan.in
Laplace Transform - Laplace transform pair, Relationship Between ...
ece.poriyaan.in
Fourier and Laplace Transforms eBook : Beerends, R. J., ter Morsche, H ...
amazon.in
Buy premium wood portable laptop bed table - StarAndDaisy
snd.in
Origami Dining Table – Bay Window
baywindow.co.in
York End Table – Bay Window
baywindow.co.in
Empty Table(2) 23Oct23 202507 - Decision Sciences and Engineering ...
studocu.com
Mansha || Product details
vishakhamehra.in
Minecraft Products Online Shopping Store | Buy Minecraft Products at ...
ubuy.co.in
Laplace 7 - QUICK CAL - EqWorld eqworld.ipmnet Auxiliary Sections ...
studocu.com
Tables thermodynamiques - PROPERTY TABLES AND CHARTS TABLE A– Saturated ...
studocu.com
D44c7a907a0577610667821 c3f6f98fb MIT2 092F09 lec03 - 2.092/2 — Finite ...
studocu.com
Related Searches
Laplace Transform Table
Laplace Transform Sheet
Standard Laplace Transform Table
La Place Table Unit Step
LaPlace Transform of T
La Place Form
La Place of Integral
Laplace Transform Chart
Inverse Laplace Transform Sheet
La Place Table Impulse
Z Transfer Table
La Place vs Fourier Transform
Laplace Transform Table Differential Equation
Laplace-Transformation
Differential Equations Table
La Place Transform of Cos
Laplace Transform Series
Transformata LaPlace
Common Laplace Transform Pairs
La Place Transform of F
Tabla De LaPlace
Transfer Function Table
La Place Transform of Y''
Bilateral Laplace Transform Table
Transformada De LaPlace
Laplace Transform Cheat Sheet
Laplace Transform Identities
General Laplace Transform Table
La Place Formula
La Place Transform of Cosine
Invert La Place Table
Standard La Place Tranform Table
Pierre-Simon Laplace
Laplace Transform Property Table
Hyperbolic La Place
La Place Box
Laplace Transform Table Control Systems
La Place Transortm Table
La Place Table Erfc
One Shangri-La Place
LaPlace Louisiana Map
Laplas Transformation Table
Simple Laplace Transforms
La Place Transormations Table
La Place Transform of E T
Discrete Fourier Transform Table
Le Place Transformation Table
Cosh Laplace Transform Table
Laplace Transform Signals and Systems
Laplace Transform Tabnle
Search
×
Search
Loading...
No suggestions found