Find Your Style
Women
Men
Accessories
Search for clothing, brands, styles...
×
Women
Men
Accessories
Largest Cone Shell
Search
Loading...
No suggestions found
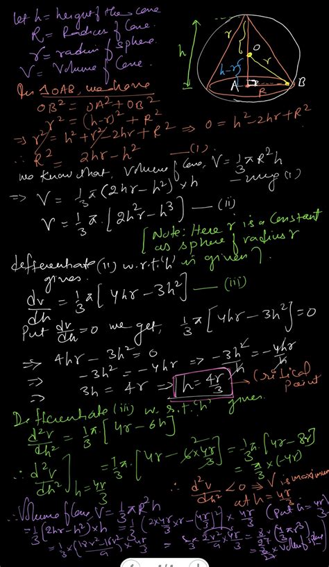
Prove that the volume of the largest cone that can be inscribed in a ...
brainly.in
Florida Cone Shells
resinhologram.com
Prove that the volume of the largest cone that can be inscribed in a sphere
esaral.com
Revision Acetabular Shell utilized as Tibial Cone in Revision Total ...
medicaldialogues.in
The largest possible sphere is inscribed in a cone of base radius 6 cm ...
edurev.in
Discover China's Most Spectacular Opera House – Home to the World’s ...
msn.com
Prove that the volume of the largest cone that can be inscribed in a ...
brainly.in
Buy Giant Sugar Pine Tree Seeds for Planting - Produces The Largest ...
ubuy.co.in
what is the volume of the largest cone that can be inscribed completely ...
brainly.in
Buy Systematic Classification of Recent & Fossil Conoidean Gastropods ...
amazon.in
A metallic spherical shell of internal and external diameters 4cm and ...
brainly.in
Tiger Cone Shells – Bold Patterned Pack – Epoxy Tales
epoxytales.com
Prove that the volume of the largest cone that can be inscribed in a ...
brainly.in
Prove that the volume of the largest cone that can be inscribed in a sphere
esaral.com
Florida Cone Shells
resinhologram.com
Prove that the volume of the largest cone that can be inscribed in a ...
esaral.com
prove that the volume of the largest cone that can be inscribed in a ...
brainly.in
Comb Jellies
studyiq.com
Buy Cone Shells: Synopsis of the Living Conidae Book Online at Low ...
amazon.in
Find volume of largest right circular cone that can be cut out from ...
brainly.in
Find the volume of the largest right circular cone that can be cut out ...
ask.learncbse.in
From a solid cube of side 9cm a largest cone is hollowed out find the ...
brainly.in
The volume of largest right circular cone that can be cut out of the ...
brainly.in
The volume of the largest right circular cone that can be carved out ...
iqclasses.in
Florida Cone Shells
resinhologram.com
the largest cone is curved out from one face of solid cube of side 21 ...
brainly.in
The largest cone is formed at the base of a cube of side measuring 7 cm ...
edurev.in
(xii) From a cube of side 14 cm, the largest cone is cut. The volume of ...
brainly.in
what is the volume of the largest right circular cone that can be cut ...
brainly.in
Volume of largest cone that can be curved out of a cylinder o base 6cm ...
brainly.in
Efficient ice cream cone automatic production equipment ice cream cone ...
machinio.com
The Largest Cone is Curved Out from One Face of Solid Cube of Side 21 ...
shaalaa.com
Man Sets New Guinness World Record By Putting 125 Ice Cream Scoops On ...
indiatimes.com
Shell net zero emission targets: How Shell, the world’s second largest ...
economictimes.indiatimes.com
what is the volume of the largest cone that can be inscribed completely ...
brainly.in
Auckland | 100% Pure New Zealand
newzealand.com
Kunplast Road Traffic Cone with Weighted Rubber Base, Pack of 8 cones ...
amazon.in
The Shell Hair Turns 6 🎉 Celebrate with Our Biggest Birthday Sale!
theshellhair.com
Find the volume of the largest right circular cone that can be cut out ...
brainly.in
With A Fire Range Of 47Km, Schwerer Gustav Is The Largest, Most ...
mobygeek.com
find the volume of the largest right circular cone that can be cut out ...
brainly.in
Gauss Law or Gauss Theorem : Solid Angle and Electric Flux|Chemistry Page
chemistrypage.in
Shell Reportedly Eyes $90B Deal For BP, Setting The Stage For Largest ...
in.investing.com
prove that the volume of the largest right circular cone that can be ...
brainly.in
What will be the volume of the largest right circular cone that can be ...
brainly.in
दुनिया की सबसे बड़ी आइसक्रीम कोन, जिसे गिनीज वर्ल्ड रिकॉर्ड्स के ...
ndtv.in
BP Shell merger: Is the biggest merger ever in oil and gas industry ...
msn.com
There is a solid cube with side 10 m. of the largest possible cone is ...
brainly.in
શેરબજારના ઇતિહાસની સૌથી મોટી રેડ! અમદાવાદ, મુંબઈ અને ગુરુગ્રામથી ...
gujarati.news18.com
શેરબજારના ઇતિહાસની સૌથી મોટી રેડ! અમદાવાદ, મુંબઈ અને ગુરુગ્રામથી ...
gujarati.news18.com
શેરબજારના ઇતિહાસની સૌથી મોટી રેડ! અમદાવાદ, મુંબઈ અને ગુરુગ્રામથી ...
gujarati.news18.com
Shell’s Prelude FLNG Facility reached a significant milestone, with gas ...
vesselfinder.com
Lamansh® Shell Floral Jewellery Set 🌺🌻🌹🌷 / Haldi Set
lamansh.in
prove that the volume of the largest right circular cone that can be ...
brainly.in
An edge of a cube measures r cm. If the largest possible right circular ...
brainly.in
Find the volume of the largest right circular cone that can be cut out ...
brainly.in
Find the volume of the largest right circular cone that can be fitted ...
brainly.in
શેરબજારના ઇતિહાસની સૌથી મોટી રેડ! અમદાવાદ, મુંબઈ અને ગુરુગ્રામથી ...
gujarati.news18.com
Buy Shells Group Bright Blue Largest Snap Hook Stroller Hook Hanger ...
ubuy.co.in
find volume of the largest cone that can be placed in a cube of edge of ...
brainly.in
find the volume of the largest cone that can be cut out of a cube whose ...
brainly.in
the largest cone is formed at the base of cube of side measuring 7 cm ...
brainly.in
Does different sizes in rolling paper makes a difference
outontrip.com
the largest possible right circular cone is cut out of cube of edge r ...
brainly.in
Alluvial fan area
iitk.ac.in
Two spheres of radii 6 cm and 1cm are inscribed in a right circular ...
brainly.in
Buy JEGS Rooftop Cargo Carrier for Car Storage - Large Roof Rack Cargo ...
ubuy.co.in
NIDY DIY Non-Stick Stainless Steel Baking Cones Set. Spiral Horn Pastry ...
flipkart.com
DC Motors | Commutators | Sahney | Mica based insulation and ...
sahney.com
The Biggest Crocs Outlet Store Is Now Open At Shell Station, 55% OFF
elevate.in
The best-looking buttes in America
msn.com
Dished Ends, MS Dished Ends, Stainless Steel Dished Ends, Flat Dished ...
opwgroup.co.in
.: FRANGIBLE ROOF
offshoretigers.blogspot.com
Dished Ends, MS Dished Ends, Stainless Steel Dished Ends, Flat Dished ...
opwgroup.co.in
Production, Types, and Applications of Activated Carbon Derived from ...
mdpi.com
ER11 | BT40 | BT Taper ER Collet Chuck | RR Brand
rrtoolstore.com
Volume of sphere and hollow sphere — lesson. Mathematics State Board ...
yaclass.in
World's largest pearl to be displayed in Philippines | And More ...
zeenews.india.com
Weld Joint Category as per ASME Section VIII Div 1 UW-3
letsfab.in
15 Examples Of Maths Patterns In Nature That Will Stun You - MobyGeek.com
mobygeek.com
The right circular cone of largest volume that can be enclosed by a ...
brainly.in
The volume of the largest right circular cone that can be carved out ...
brainly.in
Dished Ends, MS Dished Ends, Stainless Steel Dished Ends, Flat Dished ...
opwgroup.co.in
Dished Ends, MS Dished Ends, Stainless Steel Dished Ends, Flat Dished ...
opwgroup.co.in
121 scoops of ice cream on a cone – Italian man sets Guinness World Record
newsd.in
Find the volume of the largest right circular cone that can be cut out ...
brainly.in
Dished Ends, MS Dished Ends, Stainless Steel Dished Ends, Flat Dished ...
opwgroup.co.in
20. A spherical shell of lead whose external and internal diameters are ...
brainly.in
Find the volume of the largest right circular cone that can be cut out ...
brainly.in
Largest Manufacturers & Exporters of Ductile Iron, Cast Iron, Grey Cast ...
shivmetalcast.in
Kitchen Trust® DIY Non-Stick Stainless Steel Baking Cones Set. Spiral ...
amazon.in
12 Inch Cone - Sturdy Sports
sturdysports.in
Dished Ends, MS Dished Ends, Stainless Steel Dished Ends, Flat Dished ...
opwgroup.co.in
Dished Ends, MS Dished Ends, Stainless Steel Dished Ends, Flat Dished ...
opwgroup.co.in
Dished Ends, MS Dished Ends, Stainless Steel Dished Ends, Flat Dished ...
opwgroup.co.in
Dished Ends, MS Dished Ends, Stainless Steel Dished Ends, Flat Dished ...
opwgroup.co.in
Dished Ends, MS Dished Ends, Stainless Steel Dished Ends, Flat Dished ...
opwgroup.co.in
Dished Ends, MS Dished Ends, Stainless Steel Dished Ends, Flat Dished ...
opwgroup.co.in
AI Noise Cancelling Hearing Aid | Phonak Audéo Sphere™ Infinio
phonak.com
Dished Ends, MS Dished Ends, Stainless Steel Dished Ends, Flat Dished ...
opwgroup.co.in
Buy Kitchen Trust® DIY Non-Stick Stainless Steel Baking Cones Set ...
amazon.in
Dished Ends, MS Dished Ends, Stainless Steel Dished Ends, Flat Dished ...
opwgroup.co.in
Find the volume of the largest right circular cone that can be cut out ...
brainly.in
What are the Differences between Gymnosperms and Angiosperms ...
aakash.ac.in
Dished Ends, MS Dished Ends, Stainless Steel Dished Ends, Flat Dished ...
opwgroup.co.in
Mount Etna erupts again, spews fire and ash, disrupting travel in ...
iasgyan.in
Dished Ends, MS Dished Ends, Stainless Steel Dished Ends, Flat Dished ...
opwgroup.co.in
mergers and acquisitions: Latest News & Videos, Photos about mergers ...
economictimes.indiatimes.com
Dished Ends, MS Dished Ends, Stainless Steel Dished Ends, Flat Dished ...
opwgroup.co.in
Dished Ends, MS Dished Ends, Stainless Steel Dished Ends, Flat Dished ...
opwgroup.co.in
Ice Cream Burgers To Brownie Cones, Delhi's Biggest Dessert Fest Is ...
whatshot.in
Dished Ends, MS Dished Ends, Stainless Steel Dished Ends, Flat Dished ...
opwgroup.co.in
Dished Ends, MS Dished Ends, Stainless Steel Dished Ends, Flat Dished ...
opwgroup.co.in
Dished Ends, MS Dished Ends, Stainless Steel Dished Ends, Flat Dished ...
opwgroup.co.in
DC Motors | Commutators | Sahney | Mica based insulation and ...
sahney.com
Dished Ends, MS Dished Ends, Stainless Steel Dished Ends, Flat Dished ...
opwgroup.co.in
Largest Manufacturers & Exporters of Ductile Iron, Cast Iron, Grey Cast ...
shivmetalcast.in
World’s Biggest Food: All You Need To Know For Your Next Trip
traveltriangle.com
Dished Ends, MS Dished Ends, Stainless Steel Dished Ends, Flat Dished ...
opwgroup.co.in
Dished Ends, MS Dished Ends, Stainless Steel Dished Ends, Flat Dished ...
opwgroup.co.in
Related Searches
Sea Shells Cone
Cone Shell Types
Spiral Cone Shell
Hebrew Cone Shell
Hawaiian Cone Shells
Largest Conch Shell
Poison Cone Shell
Geography Cone Shell
Cone Shell Hawaii
Large Cone Shells
Cone Shell Sting
Cone-Shaped Sea Shells
Guam Cone Shells
Coned Shell
Textile Cone Shell
Con Shell
Florida Cone Shell
Alphabet Cone Shell
Cone Sheels
Cone Shell Clip Art
Okinawa Cone Shells
Male Cone Shell
Saying About Cone Shells
Shell Cone Gasoline
Cone Shell Drawing
Lined Cone Shell
Cone Shell Snail
Marble Cone Shell
Blue Shell Cone
Female Conch Shell
Conical Shell
Come Shell
Giant Cone Shells
Very Rare Cone Shells
Where Are Cone Shells Found
Cone Shell Animal
Conus Shell
Tropical Cone Shell
Cone Shells Poisonous Animal
Cone Shell Straight On
Cone Shels
Cone Shells Gray
Swirl Cone Shells
Cone Shell Sesfood
Cone Shells in Water
Cone Shelled Squid
Giant Cong Shells
Whelk Sea Shells
Florida Massive Cone Shells
Cone Shell Patterns
Search
×
Search
Loading...
No suggestions found