Find Your Style
Women
Men
Accessories
Search for clothing, brands, styles...
×
Women
Men
Accessories
Log10 Curve
Search
Loading...
No suggestions found
BUY Curve (CRV) in INR on PocketBits!
pocketbits.in
If log102= 0.3010, then log10 50 is (1) 1.9379 (2) 1.3799 (3) 1.6990 (4 ...
brainly.in
Draw the graph of Logarithmic function: y = log10 (x - 1) - Brainly.in
brainly.in
Effective Early Treatment of Microcystis Exponential Growth and ...
mdpi.com
log10 tan 1° +log10 tan 2° +log10 tan 3° +...........log10 tan 89°is ...
brainly.in
Draw the graph of common logarithm and natural logarithm of the number ...
brainly.in
Order Of Reaction : Zero Order And First Order | Science Vision
sciencevision.in
Logarithms
freeganita.com
Scaleguard
scaleguard.in
If log10 [log10 (log10x)] =0 find x - Brainly.in
brainly.in
(u) 10C) 0.1393. F logo 2 = 0.3010, the value of log10 25 is - Brainly.in
brainly.in
Logarithm Formula- Explanation, Types, Properties, Examples
adda247.com
log10 5.log10 20 + (log10 2)2 - Brainly.in
brainly.in
prove thatlog10 4÷log10 2=log3 9 - Brainly.in
brainly.in
How to Interpret Dose-Response Curves
sigmaaldrich.com
11. Given log10 25 = x, log10 75 = y, evaluate withoutusing logarithmic ...
brainly.in
[Answered] If log10 7 = a, then log10(1/70) is equal to: op 1: -(1 + a ...
brainly.in
log10 10+ 2log103-log10 2 - Brainly.in
brainly.in
log10 x = 1+ log10 3 - Brainly.in
brainly.in
2 log10(5) + 2 log10(3) - log10(2) + 1. please solve this question with ...
brainly.in
Given that log10^2=x, log10^3=y,then log10^1.2 is expressed in the ...
brainly.in
Differentiate log10x with respect to x. - Brainly.in
brainly.in
Value of log1 to log10 - Brainly.in
brainly.in
Find the angle between radius vector and tangent r=a(1+sin theta ...
brainly.in
2log10(11/13) + log10(130/77) - log10(55/91) please give full ...
brainly.in
The value of 2 + log10 (0.01) is - Brainly.in
brainly.in
Given that log10^2=x, log10^3=y,then log10^1.2 is expressed in the ...
brainly.in
If log10 4 + log10 (4x + 1) = {log10 (x + 4)} + 1, then x is equal to ...
brainly.in
Cell Density measurement by OD600 Method
sigmaaldrich.com
Plz solve 5.(iv) 1/2log10 9 +1/4log10 81 + 2log10 6 - log10 12.Don't ...
brainly.in
7. log10 log10X ka differentiates w.r.t x - Brainly.in
brainly.in
If log10 7 = a, then log10(1/70) is equal to: - Brainly.in
brainly.in
Bacterial Growth Curve: Lag, Log, Stationary & Death Phase | Firsthope
firsthope.co.in
If log10 3 = a and log10 7=6 find the value of log10 63 - Brainly.in
brainly.in
Schneider MCB 10A DP C-Curve ACTI9 10kA (A9N2P10C) : Amazon.in ...
amazon.in
Study the graph given below and answer the questions that follow: i ...
allen.in
Real-Time Voltage Stability Assessment Method for the Korean Power ...
mdpi.com
The area of the region bounded by the curve `ysqrt(16-x^(2))` and X-axis is
allen.in
Suppose that a firm's total fixed cost is `₹ 100`, and the marginal ...
allen.in
Aea of the region nclosed between the curves `x=y^2-1` and `x=|y|sqrt(1 ...
allen.in
Schneider Electric A9N18374 MCB 100A FP C-Curve ACTI9 10kA, White ...
amazon.in
Given log10 x= a, log10 y = b,1)Write down 10^a+1 in terms of x. 2 ...
brainly.in
Livart Sink
livart.in
Why is total variable cost curve inverse S-shaped?
allen.in
Log 8 base3/log 16 base 9×log10 base4 solve - Brainly.in
brainly.in
Figure shows the kinetic energy `(E_(k))` and potential energy (`E_(p ...
allen.in
If y = log10 x, then the value of dy/dx is - Brainly.in
brainly.in
Determine the value of log10(0.01) - Brainly.in
brainly.in
Find the Angle between the two polar Curves of r=aSin 2theta r=acos ...
brainly.in
find the angle between the polar curves r=a(1-costheta) and r=(1 ...
brainly.in
6 If a = log10x, find the following in terms of a:(i) x(ii) log10 5√x² ...
brainly.in
Shown below are the black body radiation curves at temperature `T_(1 ...
allen.in
log10(log10(9) will be positive or negative ?? - Brainly.in
brainly.in
Hydrostatic Curves
meoexamnotes.in
p=log10^20 and q =log10^25 find 2log10(x+1)=2p-q - Brainly.in
brainly.in
For the two reactions Reaction I: `A rarr B` Reaction II: `C rarr D ...
allen.in
Solved: Which graph represents the polar curve r=3-2cos (θ ) 2 [Calculus]
gauthmath.com
If log10 2 = a and log10 3 = b; express each of the following in terms ...
brainly.in
Practical Maintenance » Blog Archive » Phase Diagrams (Part 2)
practicalmaintenance.net
Mean Stress Effect on the Axial Fatigue Strength of DIN 34CrNiMo6 ...
mdpi.com
Stability
thenauticalsite.in
The fig. shows the variation of photon current with anode potential for ...
allen.in
evaluate log10 0.001 - Brainly.in
brainly.in
log10 (x-10) =1 solve for x - Brainly.in
brainly.in
LG 34 (86.36cm) UltraGear™ OLED all-new 800R curved gaming monitor | 21 ...
lg.com
Logarithm Formula: Rules, Explanation, Solved Examples
pw.live
The graph of Fig. shows the variation of photoelectric current with ...
allen.in
Differentiate the following functions log 10 x + logx 10 + logx x + log ...
brainly.in
If x + log10(1 + 2x) = xlog10 5 + log10 6 then x is equal to (a) 2, –3 ...
brainly.in
log10^5.log10^20 + (log10^2)^2 - Brainly.in
brainly.in
When the curves y = log10 x and y=xil are drawn in the X HY plane, how ...
brainly.in
What is the value of the 2 log10 5 +log 10 4? - Brainly.in
brainly.in
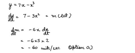
Given a curve y = 7x - x3 and x increases at the rate of 2 units per ...
iqclasses.in
A cyclic process is shown in the `P-T` diagram. Which of the curves ...
allen.in
Find the angle btw the radius vector and tangent of curve r=(1-sin ...
brainly.in
The number of real solution of the equation:log10(7x-9)^2+log10(3x-4)^2 ...
brainly.in
Potential energy `v//s` position curve for one dimensional conservative ...
allen.in
log 10 4 + log 10 5 - log 10 2 - Brainly.in
brainly.in
The gaseous reaction `2A(g) + nB(g) iff mC(g)` is represented by ...
allen.in
Sea Surface Current Estimation Using Airborne Circular Scanning SAR ...
mdpi.com
Which of the following curves represent(s) Boyle's law?
allen.in
Find the angle between the curves r=a/1 cos theta and r=a/1-cos theta ...
brainly.in
Phillips Curve, Definition, Graph, Formula, Equation, Significance
studyiq.com
solve log10 to base x2-5x+7 =0 - Brainly.in
brainly.in
4 077 84 Legrand | Legrand DX Range DX3 MCB, 2P, 16A Curve C, 230V AC ...
in.rsdelivers.com
If log10(x-9)=2 then find x - Brainly.in
brainly.in
How to find the pedal of the curve r = a(1+cos theta) with respect to ...
brainly.in
4 077 01 Legrand | Legrand DX Range DX3 MCB, 20A Curve C, 230V AC, 10 ...
in.rsdelivers.com
Curved vs Flat Monitor: A New Perspective on Monitor Choice | BenQ India
benq.com
Molicel INR21700-P42A 3.6V 4200mAh Lithium-Ion Battery - Thingbits India
thingbits.in
1 + 2 log 2. log (10-x) = 2/log.x. 1 + 2 log 2. log ( 10 - x ) = 2 ...
brainly.in
2log10(11/13) + log10(130/77) - log10(55/91) please give full ...
brainly.in
Difference Between Short Run and Long Run Costs
navi.com
log10 (x-10) =1 solve for x - Brainly.in
brainly.in
The given curve represents the variation of temperatue as a function of ...
allen.in
If log105 + log10(5x + 1) = log10(x + 5) + 1, then x is equal to: (1 ...
brainly.in
Following are some figures: Classify each of these figures on the basis ...
allen.in
The value of log10 K for the reaction A B is ? (Given, andDelta ...
edurev.in
The correct curve between fringe width `beta` and distance between the ...
allen.in
Architecture and Stress: The Role of Curves and Orthogonal Designs
freepressjournal.in
4 077 15 Legrand | Legrand DX Range DX3 MCB, 20A Curve C, 230V AC, 10 ...
in.rsdelivers.com
What is the type of graph between log P and `log ((1)/(V))` at constant ...
allen.in
Stunning Design, Superior Photography, and Power-Packed Performance ...
vivonewsroom.in
抗生素杀灭曲线
sigmaaldrich.com
Sea Surface Current Estimation Using Airborne Circular Scanning SAR ...
mdpi.com
The spectrum of a black body at two temperatures `27^(@)C` and `327 ...
allen.in
Find out the work done in the given graph. Also draw the corresponding ...
allen.in
Find the radius of curvature for the curve x^3 + y^3 = 3axy on the ...
brainly.in
Redmi Pad SE 4G set to launch in India soon: Design, features and ...
tech.hindustantimes.com
4 078 29 Legrand | Legrand DX Range DX3 MCB, 3P, 16A Curve C, 230V AC ...
in.rsdelivers.com
Resmed India
shop.resmed.co.in
Bonjean Curves
meoexamnotes.in
Tecno Pova Curve 5g Geek Black 128 Gb Reviews: Latest Review of Tecno ...
flipkart.com
Tailoring Scales/Fashion Designing Scale- Hard Scale- Set of 2, French ...
gonakart.in
If log10 (98 + V x2 – 12x + 36= 2then x = - Brainly.in
brainly.in
Find the angle between the radius vector and tangent for the following ...
brainly.in
Find a Cartesian equation for the curve and identify it. r2 cos2θ=1 ...
ask.learncbse.in
Log10 [Analog Devices Wiki]
wiki.analog.com
Sea Surface Current Estimation Using Airborne Circular Scanning SAR ...
mdpi.com
КАК ПОНИМАТЬ РЫНОК: краткая инструкция для взрослых — Teletype
teletype.in
Related Searches
Log10 Graph
Graph of Log Base 10
Serial Dilution Curve
Log10 Scale
Common Log Graph
Log10 Table
Log10 Bacteria Curve
Log Function Graph
Natural Log Curve
Log Positive Curve
Stribeck Curve Beta Log10
Logarithmic Curve
Log Color Curve
Log Scale Plot
Log10 Chart
Common Logarithm
Log10 Y-Axis
Negative Logarithmic Graph
Log Catch Curve
Log 2 Curve
Log Sheet for Thies Curve
Fuse Log-Log Curve
How to Label a Log10 Graph
Log10 Scale Empty Graph
Logarithmic Regression Equation
Asymmetric Log Curve
Log Graph Stress-Strain
Log 101 Graph
Log-Log Motor Curves
Log10 Figures
Continuous Scale
Linear Regression Graph
Logarithmic Function Graph Examples
Chriothin Log
Log Curve Cinematography
Log10 NX
Log Color Curve Example
Different Types of Growth Curves
Units of a Neut Log Curve
Logariithmnic Curve
Log2 vs Log10 Graph
Log10 RNA Loess
How Log10 Looks Like
Exponential and Logarithmic Graphs
Log10 Chart Line
20Log10 Log10 Axis
Serial Dilutions Standard Curve On Log Chart
Log Like Curve Before After Image
Log10 Concentratino
10Ml Sample Curve
Search
×
Search
Loading...
No suggestions found