Find Your Style
Women
Men
Accessories
Search for clothing, brands, styles...
×
Women
Men
Accessories
Logarithm To Power Conversion
Search
Loading...
No suggestions found
BCH Price to Indian Rupee | Convert BCH to INR
binance.com
Virtual Labs
ds1-iiith.vlabs.ac.in
Logarithm Formula- Explanation, Types, Properties, Examples
adda247.com
prove that x to the power log Y minus log Z into Y to the power log Z ...
brainly.in
Logarithm formula Class 9 - Math Online
mathonline.in
a power log x base a = ? - Brainly.in
brainly.in
Power Conversion - Home | Power Conversion & Storage
gevernova.com
y = x to the power of sinx + (sinx) to the power of cosx Do this by ...
brainly.in
[Expert Verified] 2 power 2+log 3 base 2 - Brainly.in
brainly.in
Theory
evalidate.in
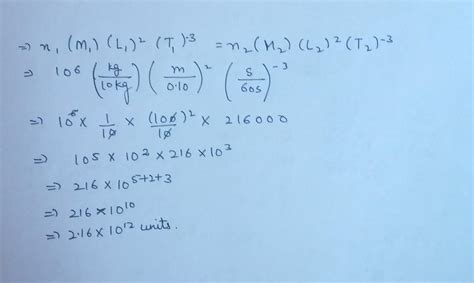
convert 1MW power on new system having basic units of mass, length and ...
brainly.in
What is the value of e to power log cosx? - Brainly.in
brainly.in
Explain with diagram step-by-step energy conversion in: Power plant ...
allen.in
Power Conversion Tool & Guide | GK Learn Study
gklearnstudy.in
value of 10 power log 2 base 10+ log 3 base 10 +........+log n base 10 ...
brainly.in
Logarithm Formula: Rules, Explanation, Solved Examples
pw.live
find the derivatives of e^(2logx) - Brainly.in
brainly.in
Optimization of the Power Conversion Efficiency of CsPbIxBr3−x-Based ...
mdpi.com
Power Conversion - Home | Power Conversion & Storage
gevernova.com
Express the following logarithms in the terms of loga, logb, logc loga ...
brainly.in
2 power 2+log 3 base 2 - Brainly.in
brainly.in
convert the following into logarithm form3y=25 - Brainly.in
brainly.in
Power Conversion - Home | Power Conversion & Storage
gevernova.com
Logarithms
freeganita.com
24V/12V To 5V 5A Step Down Power Supply Buck Converter XY-3606 Power C ...
quartzcomponents.com
Logarithmic To Exponential Form Worksheet - Fill and Sign Printable ...
uslegalforms.com
GaN-on-Si: Monolithically Integrated All-GaN Drivers for High-Voltage ...
mdpi.com
Hii please answer these logarithm questions with identities - Brainly.in
brainly.in
Logarithms
freeganita.com
High Power-Conversion Efficiency of Lead-Free Perovskite Solar Cells: A ...
mdpi.com
HiLetgo 2pcs LM2596 Adjustable DC-DC Step Down Buck India | Ubuy
ubuy.co.in
6pcs LM2596 Adjustable DC-DC Step Down Buck Power | Ubuy India
ubuy.co.in
answer logarithms log2 base 10 plus 3 how do I convert it into a single ...
brainly.in
Logarithm - JEE Advanced Previous Year Questions with Solutions
esaral.com
convert into a single logarithm - Brainly.in
brainly.in
convert into single logarithm. log10^2+3 - Brainly.in
brainly.in
Logarithm - JEE Advanced Previous Year Questions with Solutions
esaral.com
Mind Map for Logarithm Revision - Class 11, JEE
esaral.com
Power Conversion - Home | Power Conversion & Storage
gevernova.com
Power Conversion - Home | Power Conversion & Storage
gevernova.com
Power Grid receives approval to build Green Energy Corridor in Ladakh ...
blinkx.in
Draw the graph of common logarithm and natural logarithm of the number ...
brainly.in
HiLetgo 2pcs LM2596 Adjustable DC-DC Step Down Buck India | Ubuy
ubuy.co.in
Formula Sheet: Logarithms | Mathematics For JEE
edurev.in
IPMAT Indore - The terms of a geometric progression are real and ...
afterboards.in
find derivative of x to the power y - Brainly.in
brainly.in
Logarithm: Concepts with Examples - JEE PDF Download
edurev.in
Power-Lens Swimming Goggles for Sharper Underwater Vision – Burnlab.Co
burnlab.co
Power-Lens Swimming Goggles for Sharper Underwater Vision – Burnlab.Co
burnlab.co
Kem Sr-30 Power Convertor Ac 100V-dc 45V Ac 200V- Dc 90V – Aeliya ...
aeliyamarinetech.com
High Power-Conversion Efficiency of Lead-Free Perovskite Solar Cells: A ...
mdpi.com
Power-Lens Swimming Goggles for Sharper Underwater Vision – Burnlab.Co
burnlab.co
High-Performance Gaming Laptops – Power for Play | Ysvara Lifestyle
ysvara.com
A method of computing the common logarithm of a number without making ...
amazon.in
Logarithms: Definition, Types, Rules, and Properties
itinotes.in
Ryft Hydraulic Pto Pump 21 2 Gpm 540 Rpm 2250psi | Desertcart INDIA
desertcart.in
A Stable and High-Precision Downward Continuation Method of Magnetic Data
mdpi.com
Algorithms: doubt in logarithm
gateoverflow.in
find the value of log power of 81 to the base root 3can u explain step ...
brainly.in
HiLetgo 2pcs LM2596 Adjustable DC-DC Step Down Buck India | Ubuy
ubuy.co.in
மடக்கை - வரையறை, பண்புகள், சான்று, தீர்க்கப்பட்ட எடுத்துக்காட்டு ...
brainkart.in
How to Maximize Plant-Based Omega-3 Conversion
wellbeingnutrition.com
Techancy Mini Power Bank 5000mAh TF2803 10W Carregamento Rapido Compac ...
stormhamstor.myshopify.com
HiLetgo 2pcs LM2596 Adjustable DC-DC Step Down Buck Power Convert ...
amazon.in
Microwave Oven: Cooking Time and Power Levels | Samsung India
samsung.com
Lockout Tagout – Milansafety
milansafety.com
SuperFET® II Power MOSFETs - onsemi | Mouser
mouser.in
Power-Lens Swimming Goggles for Sharper Underwater Vision – Burnlab.Co
burnlab.co
RF Power Detector, PCB RF Signal Power Meter High Accuracy RF ...
amazon.in
A Review of Generators and Power Converters for Multi-MW Wind Energy ...
mdpi.com
GCP Convert StackDriver Log Sink As Hive Partition In GCS
thedataguy.in
GaN Transistors for Efficient Power Conversion, 3rd Edition: Buy GaN ...
flipkart.com
Solving exponential equation with logarithm Video Lecture - Engineering ...
edurev.in
Petrol Bike Converted To Electric in Rs 18,500, Offers 200km Range ...
carblogindia.com
Power control and safety, energy efficiency, power conversion | Socomec
socomec.co.in
Ge Power Conversion Orange Optical Fiber Cable 3Mm X 20M – Aeliya ...
aeliyamarinetech.com
Buy Kit4Curious 12v Solar/DC to AC Converter with Mobile Charging USB ...
amazon.in
IRF820 MOSFET - 500V 2.5A N-Channel Power MOSFET TO-220 Package - TEKTOWN
tektown.in
India’s First Mahindra XUV500 to XUV700 Conversion – This is IT! » Car ...
carblogindia.com
Off-Board Charger Sub-Unit Power Converters - Littelfuse | Mouser
mouser.in
Algorithms: doubt in logarithm
gateoverflow.in
Hardware-in-the-Loop Simulations: A Historical Overview of Engineering ...
mdpi.com
A Review of Generators and Power Converters for Multi-MW Wind Energy ...
mdpi.com
Buy JDMSPEED New Universal Electric Power Window Lift Regulator ...
desertcart.in
APC Smart-UPS 1500VA UPS Battery Backup with Pure Sine Wave Output ...
amazon.in
y = x to the power of sinx + (sinx) to the power of cosx Do this by ...
brainly.in
Champion Power Equipment 7 Ton Compact Horizontal Gas Log Splitter ...
desertcart.in
R.E.P.O.
in.ign.com
how to convert 1 joule into erg through dimensional formula - Brainly.in
brainly.in
Buy Science & Fun Solar Energy Wind Energy to Electricity Conversion ...
desertcart.in
تحويل مربع إلى صورة دائرة مع 4 طرق - مجاني وعملي
capcut.com
High Power-Conversion Efficiency of Lead-Free Perovskite Solar Cells: A ...
mdpi.com
Buy A Method of Computing the Common Logarithm of a Number Without ...
amazon.in
Non-conventional energy - Wind Energy — lesson. Science State Board ...
yaclass.in
If log10 3 = a and log10 7=6 find the value of log10 63 - Brainly.in
brainly.in
Buy Yescom Electric Power Window Kit Lift Regulator Roll Up Conversion ...
desertcart.in
Top 5 Petrol to Electric Car Conversion Kits With Prices » Car Blog India
carblogindia.com
Oil Surplus a Risk, JPM's Natasha Kaneva Warns | MarketScreener India
in.marketscreener.com
India's Best Solar Panels for Your Home and Business – Seltrik Electric ...
seltrik.com
BinGhatti: UAE Property Market Behavior Fairly Stable | MarketScreener ...
in.marketscreener.com
Power Inverter, Modified Sine Wave Converter, 300W Stable Transmission ...
amazon.in
PUSHAN.IN - Sunlight to Electricity
pushan.in
Takaichi and Trump Face Iran War Strain | MarketScreener India
in.marketscreener.com
Jane Street's Billionaire Granieri Keeps Low Profile | MarketScreener India
in.marketscreener.com
Australia Walks Diplomatic Tightrope on Iran War | MarketScreener India
in.marketscreener.com
Buy SIPYTOPF 3 Pack LM2596 with LED Display Voltmeter Buck Converter,DC ...
shoptheworld.in
Electricity Generation from Biogas - energypedia
energypedia.info
Trump Extends Energy Hit Pause, Claiming Iran Request | MarketScreener ...
in.marketscreener.com
Markets Surge to Close Ugly Month | Closing Bell | MarketScreener India
in.marketscreener.com
Iran War to Push Global Inflation to 4% This Year in OECD Forecast ...
in.marketscreener.com
Nations Race to Secure Fertilizer Supply Amid Iran War | MarketScreener ...
in.marketscreener.com
Obama Iran Advisor: Iran Still Thinks it has Upper Hand ...
in.marketscreener.com
How the Iran Conflict Impacts the Global Economy | MarketScreener India
in.marketscreener.com
Griffin's Citadel Posts Record $12 Billion Trading Haul ...
in.marketscreener.com
Buy Venom Power Terra Hunter R/T LT 35X15.50R26 E10 Ply Rugged Terrain ...
ubuy.co.in
Lagarde Says ECB Won't Be 'Paralyzed by Hesitation' on Iran ...
in.marketscreener.com
Iran War: Helium Supply, Chip Production at Risk | MarketScreener India
in.marketscreener.com
Understand Logarithms & its Application In Engineering | RoyalBosS
courses.royalboss.in
Semiconductor Sector Extends Losing Streak | Closing Bell ...
in.marketscreener.com
Related Searches
INR and Warfarin
INR Flow Sheet
Logarithm Sticker
Logarithm Byjus
INR Adjustment Chart
Super Logarithm
Coumadin Adjustment Chart
Basic Logarithm
Visual Logarithm
Logarithms Cover Page
Logaritam
Logarithme Formule
Lim Logarithme
Logarithms A11th
Logarithims Pattern
Logarithms Modulo
Type of Logarithm Pic
Summe Logarithmus
CD56 Logarithm
Logarithms Money. Examples
Reihe Logarithmus
Logarithmic Enhancment
Logarithm Representation
Single Logarithm
Logarithmus Formel
Logarithmoi
Logarithm Animated Image
Computer Logrithm
Logarithm Desmos
Logarithm Format
Logarithm Larry
Logaritam Formule
Famous Logarithm
Logarithm Rithms
Logarithme Formule Lim
Logarithm Basics
Logarithm Symbol
Plateau Logarithm
Logarithm Demonstrations
IMO Logarithms
Loagarithms
Search
×
Search
Loading...
No suggestions found