Find Your Style
Women
Men
Accessories
Search for clothing, brands, styles...
×
Women
Men
Accessories
Logarithmic Test
Search
Loading...
No suggestions found
The Importance of Weekly Testing and Your INR Values
lincare.com
Micropoint PT INR Meter, Finger Prick Blood Test, Rapid 2 Min Results ...
amazon.in
qlabs PT INR Test Strip -Pack of 12 : Amazon.in: Health & Personal Care
amazon.in
qlabs PT INR Test Strip -Pack of 12 : Amazon.in: Health & Personal Care
amazon.in
Your Partner for Home INR Monitoring Services and Supplies | mdINR®
mdinr.com
Acelis Home Inr Monitoring Form - Fill Online, Printable, Fillable ...
pdffiller.com
Philips Home Inr Monitoring - Fill and Sign Printable Template Online
uslegalforms.com
Tulip Diagnostics Our Products at price INR 0 in Mumbai | TRIVENI ...
trivenidiagnostic.in
1 INR Test Pay Now
technocnc.in
Oscar Dengue Antibody Test Products at price INR 1700 in Jaipur | Raj ...
rajbiosis.in
WIDAL 4 X 5 ML Our Products at price INR 0 in Mumbai | TRIVENI TRADERS ...
trivenidiagnostic.in
H Pylori Ab Test Our Products at price INR 0 in Mumbai | TRIVENI ...
trivenidiagnostic.in
Logarithm- 2 Free MCQ Practice Test with Solutions - UPSC
edurev.in
Logarithmic Test (Solved Exercise) - Topic-wise Tests and Solved ...
edurev.in
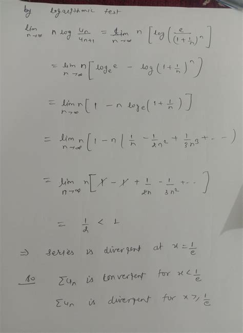
Test the convergence of the infinite series summation n=1 to infinity ...
scoop.eduncle.com
Logarithm Formula- Explanation, Types, Properties, Examples
adda247.com
50+ derivatives of logarithmic functions worksheets on Quizizz | Free ...
quizizz.com
Keenso AD8307 RF Power Meter, Logarithmic Testing Detector 0.1-600M -75 ...
amazon.in
Test for convergence!
scoop.eduncle.com
Logarithm Formula- Explanation, Types, Properties, Examples
adda247.com
Prothrombin Time Test (With INR) - All You Need to Know About | Max Lab
maxlab.co.in
The natural logarithmic functions 6 basic concepts - The Root Test The ...
studocu.com
Chap 6 Complex logarithmic functions Complex Analysis - Bsc maths - Studocu
studocu.com
AD8307 RF Logarithmic Power Meter, Keenso AD8307 RF Power Meter ...
amazon.in
Prothrombin time, PT/INR Report Format | MS Word & Pdf
labsmartlis.com
RF Logarithmic RF Power Meter Testing Detector RF Power Logarithmic ...
amazon.in
Coagusense 03p56 50 Rapid Diagnostic Test Kit Coag Sense Professional ...
desertcart.in
Prothrombin time, PT/INR Report Format | MS Word & Pdf
labsmartlis.com
Test for convergence!
scoop.eduncle.com
Logarithmic and trigonometric tables : R Hedrick, E: Amazon.in: Books
amazon.in
Let a, = (n+10 e for n21, then which of the followings is/are not true ...
scoop.eduncle.com
Set of 2 RF Logarithmic Meter Logarithmic Power Meter 0.1-600M ...
amazon.in
Please solve step by step using 9th grade maths - Brainly.in
brainly.in
Double Marker Test: Procedure, Results, Reports and Importance
maxlab.co.in
Coagulation Analyzer - Micropoint Q3 Pro Electrometer PT-INR Trader ...
r2healthcare.in
Let a, = (n+10 e for n21, then which of the followings is/are not true ...
scoop.eduncle.com
Derivatives of Exponential and Logarithm Functions Video Lecture ...
edurev.in
Buy Q-1 PRO (PT,INR) Meter- Patient self testing Online for Rs 24,144
colmed.in
Accurate In-Home PT/INR Testing | mdINR®
mdinr.com
Wondfo Finecare Ferritin Rapid Quantitative Test -Raj Biosis Pvt Ltd ...
rajbiosis.in
Double Marker Test: Procedure, Results, Reports and Importance
maxlab.co.in
mdINR 010v4 Form - Fill Online, Printable, Fillable, Blank - pdfFiller
form-pt-inr.pdffiller.com
Accurate In-Home PT/INR Testing | mdINR®
mdinr.com
Prothrombin Time (PT/INR) Test Cost - Home Collection, Book Online ...
maxlab.co.in
Uroflowmetry Test@INR 700 | Call +918383812737
ramantanwar.in
Providing Home Therapy Services | Medical West
medicalwest.com
mdINR 010v4 Form - Fill Online, Printable, Fillable, Blank - pdfFiller
form-pt-inr.pdffiller.com
Eye Test Chart Reading Glasses Low Chart Test Form Test | Desertcart INDIA
desertcart.in
The fascination with the Golden Ratio | Meer
meer.com
Let a, = (n+10 e for n21, then which of the followings is/are not true ...
scoop.eduncle.com
find dy/dx by using logarithmic differentiation - Brainly.in
brainly.in
Indirect Coombs Test Procedure - Preparation, Purpose & Test Results ...
maxlab.co.in
Buy Onetouch Verio Test Strips Products Online | Ubuy India
ubuy.co.in
Supreme Four Figures Logarithmic,Trignometric & Mathematical Tables ...
flipkart.com
Buy Eye Test Chart Reading Glasses Low Chart Test Form Test Children s ...
desertcart.in
Test Ipp R Gratis - El formulario se puede rellenar en línea, imprimir ...
pdffiller.com
Sealant Enterprises: Manufacturer of Quick Release Couplings in Hyderabad
sealantent.in
Let a, = (n+10 e for n21, then which of the followings is/are not true ...
scoop.eduncle.com
Introduction
evalidate.in
Taylor’s Square Root of Time Fitting Method - Determination of ...
edurev.in
Test: Nayanthara, R Madhavan And Siddharth Look Intense In New Poster ...
thedailyjagran.com
50+ derivatives of exponential functions worksheets for 11th Class on ...
wayground.com
Intrauterine Pregnancy : Meaning, Early Signs, and Live Single ...
maxlab.co.in
Oscar Dengue Antigen (NS1) Test -Raj Biosis Pvt Ltd, Jaipur
rajbiosis.in
English CAPS Planning and Record Sheet - Grade R
twinkl.co.in
Mettle'23
mettle.nitt.edu
Theory
evalidate.in
USD/INR Technical Analysis-Price Action Testing Important Support Level ...
in.investing.com
If log102= 0.3010, then log10 50 is (1) 1.9379 (2) 1.3799 (3) 1.6990 (4 ...
brainly.in
Buy TWTADE/Infrared Wireless Visitor Counter 110-220VAC LED Auto ...
desertcart.in
Amigo Life
amigolife.in
Evaluation of Present Accelerated Temperature Testing and Modeling of ...
mdpi.com
Buy Home Basic Analyzer; Portable Blood Cholesterol Tester Online at ...
desertcart.in
How the Sigmoid Function is Used in AI - EDN Asia
ednasia.com
Amigo Life
amigolife.in
Amigo Life
amigolife.in
TRIVENI TRADERS & DIAGNOSTIC PVT LTD in Mumbai
trivenidiagnostic.in
Let a, = (n+10 e for n21, then which of the followings is/are not true ...
scoop.eduncle.com
N9038B MXE EMI Test Receiver, 3 Hz to 44 GHz | Keysight
keysight.com
Sachin Tendulkar, other Indian cricketers laud BCCI's decision of equal ...
freepressjournal.in
Let a, = (n+10 e for n21, then which of the followings is/are not true ...
scoop.eduncle.com
Mettle'23
mettle.nitt.edu
Widal Test Normal Range, Procedure, Purpose, Risk Factor
bajajfinservhealth.in
Download Report Max Lab
maxlab.co.in
Introduction
evalidate.in
टीएलसी टेस्ट - TLC Blood Test in Hindi Kya Hota Hai
maxlab.co.in
Mettle'23
mettle.nitt.edu
Amigo Life
amigolife.in
Providing Home Therapy Services | Medical West
medicalwest.com
6 Vital tests for rheumatoid arthritis diagnosis
bajajfinservhealth.in
Christ University Courses & Fee Structure 2026
zollege.in
Providing Home Therapy Services | Medical West
medicalwest.com
hospital pregnancy test | BabyCenter
community.babycenter.com
Amigo Life
amigolife.in
Testing Pregnancy At Home? Here’s Everything About Pregnancy Test Kits
apollopharmacy.in
Adi R Questionnaire Pdf - Fill Online, Printable, Fillable, Blank ...
pdffiller.com
Mettle'23
mettle.nitt.edu
Providing Home Therapy Services | Medical West
medicalwest.com
TRIVENI TRADERS & DIAGNOSTIC PVT LTD in Mumbai
trivenidiagnostic.in
Mettle'23
mettle.nitt.edu
Amigo Life
amigolife.in
Chapter 7: Diode application topics [Analog Devices Wiki]
wiki.analog.com
Mettle'23
mettle.nitt.edu
New 100 Rupee Note announced by RBI; first look of new currency with ...
zeebiz.com
Ask Analytics: Seasonality Index and Trend Variables
askanalytics.in
Amigo Life
amigolife.in
Mettle'23
mettle.nitt.edu
A cell having an emf E and internal resistance r is connected across a ...
brainly.in
Stroop task - The easiest way to use this classic test in your own research
testable.org
Free Purchase Order Template Download | Purchase Order Format for Small ...
stockregister.in
Stream Vidya Uses Bone For DNA Test Season 1 Episode 1722 – Vidya Uses ...
hotstar.com
Amigo Life
amigolife.in
Mettle'23
mettle.nitt.edu
Cefpodoxime Proxetil IP 50 mg Tablet For PCD Franchise
mkmedicine.in
PSM scientific instruments Pvt ltd in Bangalore
psmscientific.in
Understanding the Widal Test: What You Need to Know
gunjanlab.com
Apply Now
kluniversity.in
PSM scientific instruments Pvt ltd in Bangalore
psmscientific.in
SrikrishnaaJewellers
srikrishnaajewellers.in
Providing Home Therapy Services | Medical West
medicalwest.com
Related Searches
INR Test Meter
INR Lab Test
INR Blood Test Machine
INR Test Strips
PT/INR Test
What Is INR Blood Test
Blood INR Chart
INR Testing Machines for Home
INR Meaning
Normal INR Levels Chart
Prothrombin Time Test
Test Rapid INR
PTT Test
INR Monitoring Machine
High INR
INR Levels Normal Range
Elevated INR
INR Ratio
INR Values
Protime INR Blood Test
INR Blood Test Result
INR Meaning Medical
PT/INR Test Procedure
INR Test Kit
INR Formula
INR Clotting
Therapeutic INR
INR. Check
INR Scale
فحص INR
INR Measure at Home
aPTT and INR
Units for an INR Test
Coumadin INR Levels Chart
INR Tube
جهاز فحص INR
INR Blood Results
ภาพ INR Lavel
INR Medical Term
INR Calculation
PT/INR Calculator
mdINR
High INR Treatment
D-dimer Test
Coagulation INR Test
How Does INR Test Work
INR Medical Abbreviation
Solutie Test Aparat INR
INR Lab Test Unit
INR Test Strips CoaguChek
Search
×
Search
Loading...
No suggestions found