Find Your Style
Women
Men
Accessories
Search for clothing, brands, styles...
×
Women
Men
Accessories
Logistic Regression Inr Code
Search
Loading...
No suggestions found
Buy Steam Wallet Gift Code INR 300 (Code Only- Smart Delivery) Online ...
desertcart.in
Amazon India Unveils INR 2,000 Cr Investment to Revolutionize Logistic
content.techgig.com
INR 500 Steam Wallet Code (Code Only - Smart Delivery) [video game ...
amazon.in
INR 250 Steam wallet code (Digital Code- Email Delivery within 1 hour ...
amazon.in
INR 1000 Steam Wallet Code (Digital Code- Email Delivery within 2 hours ...
amazon.in
INR 250 Steam Wallet Code(Digital Code-Email Delivery within 2 hours ...
amazon.in
IPL 2025: Shreyas Iyer smashed with INR 12 lakh penalty for Code of ...
msn.com
DD DOWNLOAD DEMON INR 3000 Razer Gold Gift Card Code (Code Only - Smart ...
amazon.in
INR 10,000 STEAM Store Wallet Digital Code (Email Delivery in 24 hours ...
amazon.in
Steam Wallet Code| INR 150,250,500,1000,2500| E-Gift Card | Instant ...
amazon.in
INR 500 Razer Gold Gift Card Code (Code Only - Smart Delivery) [video ...
amazon.in
Xbox Gift Card Code - INR 999 - India [video game] : Amazon.in: Video Games
amazon.in
Steam Wallet Code INR 99 - (Instant Delivery) : Amazon.in: Video Games
amazon.in
INR 1000 PlayStation Store Gift Card (Code Only - Smart Delivery ...
pricehistoryapp.com
Implement R source code for Logistic regression model | S-Logix
slogix.in
Deep Learning from first principles in Python, R and Octave – Part 1 ...
gigadom.in
Implement R Source code for logistic regression | S-Logix
slogix.in
Logistic Regression in Machine Learning : A Super Easy Guide for ...
cwpc.in
Logistic regression model build using sklearn in Python | S-Logix
slogix.in
linear regression implementation using TensorFlow
jainnews.in
R Data Science sample code for Visualize Regression Plane | S-Logix
slogix.in
KNN algorithm implementation source code in R Machine Learning|S-Logix
slogix.in
Implement Control Charts sample code in R | S-Logix
slogix.in
Implement Control Charts sample code in R | S-Logix
slogix.in
KNN algorithm implementation source code in R Machine Learning|S-Logix
slogix.in
How to apply logistic regression in a case?
projectguru.in
KNN algorithm implementation source code in R Machine Learning|S-Logix
slogix.in
R Machine Learning Logistic regression implementation | S-Logix
slogix.in
Buy Data Exploration and Machine Learning using R: SVM and Logistic ...
desertcart.in
Applied Logistic Regression (Wiley Series in Probability and Statistics ...
amazon.in
How to apply logistic regression in a case?
projectguru.in
KNN algorithm implementation source code in R Machine Learning|S-Logix
slogix.in
Implement Control Charts sample code in R | S-Logix
slogix.in
Categorical Variables in Linear Regression in R; Example #2 (R Tutorial ...
edurev.in
Implement R source code for Simple Linear Regression model | S-Logix
slogix.in
Non-Parametric Hypothesis testing implemented in R Data Science|S-Logix
slogix.in
Multilayer Perceptron classification source code in R Spark | S-Logix
slogix.in
Logistic Regression in R Studio | RoyalBosS
courses.royalboss.in
Implement Control Charts sample code in R | S-Logix
slogix.in
Practical Machine Learning with R and Python – Part 5 – Giga thoughts
gigadom.in
Variable and how to assign value to a variable in R| S-Logix
slogix.in
Multilayer Perceptron classification source code in R Spark | S-Logix
slogix.in
Implement multiple linear regression using statsmodels library|S-Logix
slogix.in
To implement Multiple Linear regression using R | S-Logix
slogix.in
How to perform Panel data regression for random effect model in STATA?
projectguru.in
How to Interpret a Correlation Coefficient r - India Dictionary
1investing.in
Ex 6 b Linear regression - R - Linear Regression Regression analysis is ...
studocu.com
Logistic Regression and Basics of Neural Network
avabodha.in
Multilayer Perceptron classification source code in R Spark | S-Logix
slogix.in
The best source code in R Deep Learning | S-Logix
slogix.in
Understanding the correlation and regression analysis values
projectguru.in
Prothrombin time, PT/INR Report Format | MS Word & Pdf
labsmartlis.com
Logistic Regression
drsm.in
एसपीएसएस में लॉजिस्टिक रिग्रेशन कैसे करें - स्टेटोलॉजी
statorials.org
What a p-Value Tells You about Statistical Data - India Dictionary
1investing.in
Buy Regression Analysis By Example Using R Book Online at Low Prices in ...
amazon.in
Linear Regression R Program and Output.pdf - Linear Regression in R ...
studocu.com
System Management by Exception: R script to run in SAS: one more way to ...
trub.in
How to Run Logistic Regression in Excel: Step-By-Step Guide for Beginners
stockone.in
Mandatory HSN/SAC Codes in GST Invoices from 01.04.2021
taxguru.in
SBI BANK CODE SBCHQ-GEN-PUB-IND-INR MEANING.SBI DIFFERENT TYPES OF ...
digitalhelper.in
Advantages of using R statistical software for predictive modeling
projectguru.in
Starla Embellished Gown – Rohit Gandhi & Rahul Khanna
rohitandrahul.com
Predicting Employee Attrition Using Machine Learning Approaches
mdpi.com
Taycan Turbo | Porsche Car Configurator
configurator.porsche.com
Top Up Riot Access Code (INR) Online - SEAGM
seagm.com
Principal Component Analysis (PCA): Understanding High-Dimensional Data ...
medium.com
Regression - Properties, Formula, Example Solved Problems | Data Science
cse.poriyaan.in
Non linear regression analysis in STATA and its interpretation
projectguru.in
Cayenne | Porsche Car Configurator
configurator.porsche.com
V R LOGISTIC - Professional Logistics Services
vrlogistic.org.in
911 Turbo S | Porsche Car Configurator
configurator.porsche.com
R Data Science sample code for perform Web scraping | S-Logix
slogix.in
Data Science for Engineers |Nptel Data Science for Engineers Week 1 ...
study2night.in
Panamera | Porsche Car Configurator
configurator.porsche.com
Taycan 4S Black Edition | Porsche Car Configurator
configurator.porsche.com
Regression
ece.poriyaan.in
Going deeper into IBM’s Quantum Experience! – Giga thoughts
gigadom.in
Top Up Riot Access Code (INR) Online - SEAGM
seagm.com
How to perform Heteroscedasticity test in STATA for time series data?
projectguru.in
Regression
ece.poriyaan.in
Wholesale Churidar Dress Material Online By Supplier| India
textilecatalog.in
Cayenne | Porsche Car Configurator
configurator.porsche.com
Regression
ece.poriyaan.in
Regression
ece.poriyaan.in
Multiple Linear Regression: How Does it work & What are its Uses?
navi.com
R codes - R codes My first R program print("hello world") x = 2+ print ...
studocu.com
R Programs - codes in r - Program 1: Write an R program to make a ...
studocu.com
Taycan | Porsche Car Configurator
configurator.porsche.com
4 correlation regression - NISHANTH D 17BEC EXPERIMENT – 3: EVALUATION ...
studocu.com
Buy SAP Transaction Codes: Your Quick Reference to Transactions in SAP ...
amazon.in
Top Up Riot Access Code (INR) Online - SEAGM
seagm.com
Scripts for Reproducible Research in R (R Tutorial 1.11) Video Lecture ...
edurev.in
Regression
ece.poriyaan.in
Regression
ece.poriyaan.in
Going deeper into IBM’s Quantum Experience! – Giga thoughts
gigadom.in
Carina Red Gown – Rohit Gandhi & Rahul Khanna
rohitandrahul.com
Black Opulence Tuxedo Set – Rohit Gandhi & Rahul Khanna
rohitandrahul.com
Cayenne | Porsche Car Configurator
configurator.porsche.com
Textilecatalog: Wholesale Indian clothing Supplier & Indian Dress Material
textilecatalog.in
Ladies Western wear Online Wholesale Store in India | Surat
textilecatalog.in
911 Turbo 50 Years | Porsche Car Configurator
configurator.porsche.com
911 Carrera 4 GTS | Porsche Car Configurator
configurator.porsche.com
Cayenne | Porsche Car Configurator
configurator.porsche.com
Cayenne Black Edition | Porsche Car Configurator
configurator.porsche.com
Cayenne | Porsche Car Configurator
configurator.porsche.com
911 Carrera 4 GTS | Porsche Car Configurator
configurator.porsche.com
Regression
ece.poriyaan.in
Symmetrical Artwork Bandhgala Set – Rohit Gandhi & Rahul Khanna
rohitandrahul.com
Cosmic Fishtail Gown – Rohit Gandhi & Rahul Khanna
rohitandrahul.com
Priority Queue Algorithm | Visual Guide with Code in JavaScript, C ...
dsavisualizer.in
Regression
ece.poriyaan.in
Salwar Kameez Design Catalogue: Wholesale Price Designer Suits, Surat
textilecatalog.in
Getting Started with TWS | Trading Lesson | Traders' Academy
interactivebrokers.com
911 Carrera | Porsche Car Configurator
configurator.porsche.com
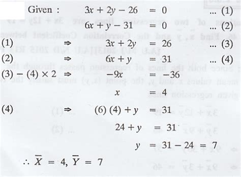
If 4y 5x = 15 is the regression line of y on x and the coefficient of ...
edurev.in
Macan | Porsche Car Configurator
configurator.porsche.com
Regression
ece.poriyaan.in
Regression
ece.poriyaan.in
R studio logical operators and condtional statements - BANK - Studocu
studocu.com
Related Searches
Logistic Regression R
Logistic Regression Code
Logistic Regression R Output
Formula for Logistic Regression
Logistic Regression Nomogram R Code
Logistic Regression Function
Logistic Regression
Logistic Regression Code in Python
Logistic Regression Using R
Logistic Regression Sklearn Code
R2 Logistic Regression
R Plot Logistic Regression
Logistic Regression Example
Plotting Logistic Regression INR
Logistic Regression Slides
Scikit Logistic Regression
Applications of Logistic Regression
Scikit-Learn Logistic Regression
Logistic Regression Graph
Logartmic Regression INR Code
GLM INR Example
Binomial Logistic Regression
Regression INR Studio
Logistic Regression Probability Equation
Logistic Regression Summary
Logistic Regression Visual
How to Read Logistic Regression Output
Logistic Regression Scrach Code
Logistic Regression Model
Logistic Regression Review Paper
Logistic Regression Scatter Plot
Sample Logistic Regression
Logistic Regression R. Books
Logistic Regression Curve
Logistic Regression Visualization INR
R Logistic Regression Output Table
Logistic Regression Figures INR
Logisitic Regression Basic Code
Logistic Regression Model R-squared Variable
Visual Profile in R in Logistic Regression
Logistic Result
Log Level Regression INR Code
Logit Function
Logistic Regression Reporting Paper
Logistic Regression Sckit Learn
Logistic Regression Overfitting
What Is Logistic Linear Regression INR Programming
Rumus Logistic Regression
Code for a Publish Quality Logistric Regression Plot INR
Logistic Regression in Machine Learning Code
Search
×
Search
Loading...
No suggestions found