Find Your Style
Women
Men
Accessories
Search for clothing, brands, styles...
×
Women
Men
Accessories
Lsat Lr Questions
Search
Loading...
No suggestions found
INR Full Form
adda247.com
INR Frequently Asked Questions | RCS
remotecardiacservices.com
Print question on KBC for INR one-crore | PrintWeekIndia
printweek.in
INR Frequently Asked Questions | RCS
remotecardiacservices.com
INR Frequently Asked Questions | RCS
remotecardiacservices.com
ACS Energy Raises INR 1.1 Crore to Expand UPI-Enabled EV Charging ...
autocarpro.in
Buy LSAT Logical Reasoning Drilling Workbook, Volume 1: All 511 Logical ...
amazon.in
Buy LSAT Logical Reasoning: Question Type Training: LSAT Preptests 1 ...
amazon.in
Buy LSAT Logical Reasoning Strategy Guide Workbook: All 1,012 Logical ...
amazon.in
Buy LSAT Prep 2023-2024: Real LSAT Practice Questions and Study Guide ...
amazon.in
LSAT sample paper - Five Sample Analytical Reasoning Questions and ...
studocu.com
Buy LSAT Logical Reasoning: Question Type Training: 2 Book Online at ...
amazon.in
Buy LSAT Prep Books 2021-2022 LSAT Secrets: Practice Test Questions ...
amazon.in
LSAT Logical Reasoning Questions by TM HogĀ® eBook : McCaulay, Philip ...
amazon.in
LSAT Logical Reasoning Worksheets: Top 100 Questions & Answers eBook ...
amazon.in
LR & RC LSAT Tutoring
7sage.com
Buy Advanced LSAT Practice: 905 Difficult Logical Reasoning, Games, and ...
amazon.in
Kaplan LSAT Premier 2016-2017 with Real Practice Questions | Book by ...
simonandschuster.co.in
Buy Lsat Reading Comprehension Bible: The Definitive Guide to the ...
amazon.in
LSAT Reasoning Test 24 - LSAT Reasoning Test 24 LSAT 24 SECTION II Time ...
studocu.com
120 Best Logical fallacies ideas | logical fallacies, logic, critical ...
pinterest.com
LSAT Prep Plus 2023: Strategies for Every Section + Real LSAT Questions ...
flipkart.com
Reading Comprehension for LSAT | Books, questions, practice tests ...
edurev.in
Top 50 IIMB UG 2025 LR Questions PDF With Video Solutions
cracku.in
CAT Logical Reasoning and Data Interpretation: Syllabus, Topics, Notes ...
edurev.in
LSAT Abroad Syllabus: Pattern, Question Types
shiksha.com
LSAT-India 2025 Exam - Exam Date, Registration, Pattern, Syllabus ...
collegedekho.com
Analytical Reasoning Practice Tests for LSAT - Books, Notes, Tests 2024 ...
edurev.in
LSAT-India 2025 Exam - Exam Date, Registration, Pattern, Syllabus ...
collegedekho.com
LSAT-India 2025 Exam - Exam Date, Registration, Pattern, Syllabus ...
collegedekho.com
Buy Princeton Review LSAT Premium Prep: 2 Official Lsat Preptests ...
amazon.in
LSAT-India 2025 Exam - Exam Date, Registration, Pattern, Syllabus ...
collegedekho.com
LSAT-India 2025 Exam - Exam Date, Registration, Pattern, Syllabus ...
collegedekho.com
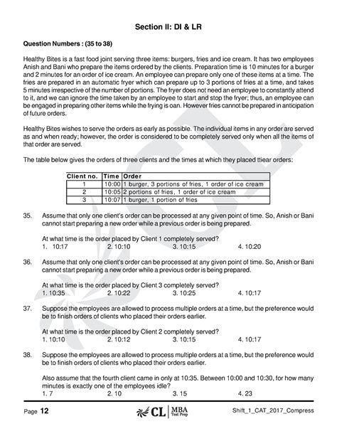
CAT-2017 Shift 1 (Q & Sol) done - Page 12 Shift_1_CAT_2017_Compress ...
studocu.com
Top 54+ CAT LR Puzzles Questions PDF With Video Solutions
cracku.in
Top 5+ XAT Quant Based LR Questions with Solutions PDF
cracku.in
Top 37 CAT Quant Based LR Questions PDF With Video Solutions
cracku.in
R2031021102022 - Previous year question papers - Code No: R2031021 R20 ...
studocu.com
Top 23 CAT Quant Based LR Questions PDF With Video Solutions
cracku.in
Look at this series: 8, 6, 9, 23, 87 , ... What number should come next ...
edurev.in
1000+ CAT DILR Questions | Data Interpretation and Logical Reasoning ...
cracku.in
Top 50 CAT 2D & 3D LR Questions PDF With Video Solutions
cracku.in
How to compete in SNAP Exam and Salient Features of SNAP 2024?
mbarendezvous.com
Top 54 CAT 2D & 3D LR Questions PDF With Video Solutions
cracku.in
Top 50 CAT 2D & 3D LR Questions PDF With Video Solutions
cracku.in
In 2002, if the ratio of number of educated males to professionally ...
lakshyaeducation.in
Top 23 CAT Quant Based LR Questions PDF With Video Solutions
cracku.in
1000+ CAT DILR Questions | Data Interpretation and Logical Reasoning ...
cracku.in
[Video] In quadrilateral PQRS, PQ = 5 units, QR = 17 units, RS = 5 ...
cracku.in
Top 37 CAT Quant Based LR Questions PDF With Video Solutions
cracku.in
Buy LSAT Prep Books 2021-2022 LSAT Secrets: Practice Test Questions ...
amazon.in
Secret Trick to Solve Assertion and Reason Questions Video Lecture ...
edurev.in
A Complete Guide For CAT Exam Preparation
mbarendezvous.com
Excellent LR-DI preparation for CAT 2026
cracku.in
Practice Questions for Order and Ranking - 1 - Logical Reasoning (LR ...
edurev.in
[Video] Let x, y, z be three positive real numbers in a geometric ...
cracku.in
Quality Engineer Question Answer Bank PPT ā Smart Office Template (INR)
smartofficetemplates.myshopify.com
[Video] Anil invests some money at a fixed rate of interest, compounded ...
cracku.in
[Video] Five jumbled up sentences (labelled 1, 2, 3, 4 and 5), related ...
cracku.in
[Video] The integers 1, 2, ā¦, 40 are written on a blackboard. The ...
cracku.in
Preguntas de Razonamiento Lógico del LSAT por TM Hog® (Spanish Edition ...
amazon.in
1000+ CAT DILR Questions | Data Interpretation and Logical Reasoning ...
cracku.in
[Video] Is x = y? A. (x+y)(1/x + 1/y) = 4 B. (x-50)^2 = (y-50)^2 ...
cracku.in
[Video] **The four sentences (labelled 1, 2, 3, and 4) given in this ...
cracku.in
Top 50 IIMB UG 2025 LR Questions PDF With Video Solutions
cracku.in
[Video] Anil, Sunil, and Ravi run along a circular path of length 3 km ...
cracku.in
Solving CAT, XAT Questions: Blood Relations- 1 Video Lecture - Logical ...
edurev.in
[Video] One part of a hostelās monthly expenses is fixed, and the other ...
cracku.in
[Video] The cost of fencing a rectangular plot is ā¹ 200 per ft along ...
cracku.in
1000+ CAT DILR Questions | Data Interpretation and Logical Reasoning ...
cracku.in
[Video] A can complete a piece of work in 4 days. B takes double the ...
cracku.in
1000+ CAT DILR Questions | Data Interpretation and Logical Reasoning ...
cracku.in
[Video] Two ships are approaching a port along straight routes at ...
cracku.in
1000+ CAT DILR Questions | Data Interpretation and Logical Reasoning ...
cracku.in
[Video] The four sentences (labelled 1, 2, 3, 4) below, when properly ...
cracku.in
1000+ CAT DILR Questions | Data Interpretation and Logical Reasoning ...
cracku.in
[Video] Consider the arithmetic progression 3, 7, 11, ... and let A_n ...
cracku.in
[Video] **The four sentences (labelled 1, 2, 3, 4) below, when properly ...
cracku.in
[Video] A solution, of volume 40 litres, has dye and water in the ...
cracku.in
[Video] When they work alone, B needs 25% more time to finish a job ...
cracku.in
Top 50 IIMB UG 2025 LR Questions PDF With Video Solutions
cracku.in
[Video] There is a sentence that is missing in the paragraph below ...
cracku.in
[Video] There are three sections in a question paper and each section ...
cracku.in
[Video] The four sentences (labelled 1, 2, 3 and 4) given below, when ...
cracku.in
[Video] Let the consecutive vertices of a square S be A,B,C &D. Let E,F ...
cracku.in
[Video] **The four sentences (labelled 1, 2, 3, 4) below, when properly ...
cracku.in
1000+ CAT DILR Questions | Data Interpretation and Logical Reasoning ...
cracku.in
[Video] What is the average rainfall of all states that have actual ...
cracku.in
[Video] **The passage given below is followed by four alternate ...
cracku.in
Top 50 IIMB UG 2025 LR Questions PDF With Video Solutions
cracku.in
[Video] For a real number x, if \\frac{1}{2}, \\frac{\\log_3(2^x - 9 ...
cracku.in
[Video] The total of male and female populations in a city increased by ...
cracku.in
[Video] Amit has forgotten his 4-digit locker key. He remembers that ...
cracku.in
1000+ CAT DILR Questions | Data Interpretation and Logical Reasoning ...
cracku.in
[Video] Five jumbled up sentences, related to a topic, are given below ...
cracku.in
[Video] A quadrilateral ABCD is inscribed in a circle such that AB : CD ...
cracku.in
[Video] What is the time difference between A and B? - Directions for ...
cracku.in
[Video] The number of distinct real roots of the equation (x+\\frac{1 ...
cracku.in
[Video] In a four-digit number, the sum of the first 2 digits is equal ...
cracku.in
[Video] There is a sentence that is missing in the paragraph below ...
cracku.in
.NET Full Stack Developer Interview Questions (2025 Ultimate Guide ...
vtricks.in
[Video] **The passage given below is followed by four alternate ...
cracku.in
1000+ CAT DILR Questions | Data Interpretation and Logical Reasoning ...
cracku.in
Top 25 Most Commonly Asked Questions About Niacinamide ...
foxtale.in
[Video] There is a sentence that is missing in the paragraph below ...
cracku.in
[Video] (BE)^2 = MPB, where B, E, M and P are distinct integers. Then M ...
cracku.in
Analysis of DILR in CAT past 3 years, DILR CAT Questions - MBA Rendezvous
mbarendezvous.com
1000+ CAT DILR Questions | Data Interpretation and Logical Reasoning ...
cracku.in
Taxmann's QUICKER Quantitative Aptitude (Paper 3 | Maths | LR | Stats ...
flipkart.com
[Video] On a rectangular metal sheet of area 135 sq in, a circle is ...
cracku.in
[Video] If the roots of the equation x^3 - ax^2 + bx - c = 0 are three ...
cracku.in
[Video] Bank A offers 6% interest rate per annum compounded half-yearly ...
cracku.in
Sukesh Chandrasekhar extortion case: Jacqueline Fernandez faces ...
freepressjournal.in
[Video] Let k be the largest integer such that the equation (x-1)^{2 ...
cracku.in
[Video] At his usual rowing rate, Rahul can travel 12 miles downstream ...
cracku.in
[Video] There is a sentence that is missing in the paragraph below ...
cracku.in
[Video] **Five jumbled up sentences (labelled 1, 2, 3, 4 and 5 ...
cracku.in
[Video] If (3+2\\sqrt{2}) is a root of the equation ax^{2}+bx+c=0 and ...
cracku.in
Top 50 IIMB UG 2025 LR Questions PDF With Video Solutions
cracku.in
[Video] ~~~~A CAT aspirant appears for a certain number of tests. His ...
cracku.in
Related Searches
LSAT Questions
Example of LSAT Questions
LSAT Sample Questions
LSAT Logic Questions
LSAT Logical Reasoning Questions
Logical Reasoning Practice Questions
Hardest LSAT Questions
Most Common Types of LR Questions On LSAT
LSAT Cheat Sheet
LSAT Question Types
Logic Games LSAT
LSAT Weaken Questions
LSAT LRVs Comprehension Questions
What Type of Questions Are On the LSAT
LR Tips LSAT
LSAT Examples
Principle Question
Most Difficult LSAT Question
Sufficient Assumption LSAT Questions
LSAT Timing
LSAT Writing Section Examples
LSAT Questoins
Necessary Assumption LSAT Questions
LSAT Questions Reddit
10 Practice LSAT Questions
Formal Logic LSAT
How Many Questions On LSAT
LSAT Flaw Question
Tips for LSAT Logical Reasoning
Method Questions LSAT
LSAT LR Question Guide
How Hard Is the LSAT
LSAT Hardest Question Ever
LSAT Parts
LSAT Key Words. List
LSAT Assumption Questions Hacks
LSAT Conditional Reasoning
Parallel Reasoning LSAT Questions
Weaken Arguments LSAT
LSAT Study Cheat Sheet
Sample LSAT Questios LR
LSAT Answer Shee
Assumption Questions Notes LSAT
LSAT Cheat Sheet PDF
LSAT Question of the Day
LSAT Logic Problems
LSAT Must Be True Questions
LSAT LR Terms
LR LSAT Cram Sheet
Logical Reasoning Help LSAT
Search
×
Search
Loading...
No suggestions found