Find Your Style
Women
Men
Accessories
Search for clothing, brands, styles...
×
Women
Men
Accessories
Lululemon Define Jacket Nomad
Search
Loading...
No suggestions found
From INR 2 lakh shoe to a 20k shoe: Abhishek Bachchan's best sneaker ...
timesofindia.indiatimes.com
Real Weddings: Inside An INR 55 Crore Wedding! – India's Wedding Blog
weddingsonline.in
Top 10 Motorcycle Riding Jacket for men under 10,000/- INR
autoadvice.in
Top 10 Motorcycle Riding Jacket for men under 10,000/- INR
autoadvice.in
Top 10 Motorcycle Riding Jacket for men under 10,000/- INR
autoadvice.in
10 MustHave Items Under INR 1999 That Will Transform You Into A Style Icon
mensxp.com
Buy Lululemon Products Online At Best Discounted Price from Ubuy India
ubuy.co.in
Brushed wish blue/static gray define jacket size 6 | Lululemon outfits ...
pinterest.com
Fall/Winter 2025 Outerwear Trends: Jackets and Coats That Define the Season
msn.com
Disney Mothers Day Gift Guide | Disney Store
disneystore.com
Lululemon Top | Lululemon tops, Lululemon running jacket, Clothes design
pinterest.com
Lululemon Jackets & Coats - Men | FASHIOLA INDIA
fashiola.in
Double Breasted Nomad Jacket - Strong White – Eudaemon
eudaclothing.com
Double Breasted Nomad Jacket - Mauve – Eudaemon
eudaclothing.com
Buy Lululemon Products Online At Best Discounted Price from Ubuy India
ubuy.co.in
Nomad Men's Barrier Nxt Wind & Waterproof Hunting India | Ubuy
ubuy.co.in
Two Button Nomad Luxury Jacket For Men In Blue – Eudaemon
eudaclothing.com
Buy NOMAD Men's Harvester Hunting Jacket Online at Lowest Price in ...
ubuy.co.in
Alpha Hoodies Jackets Cascade Grey – XYXX Apparels
xyxxcrew.com
Viking Cycle Women's Nomad Ironborn Motorcycle Jacket with Armor India ...
ubuy.co.in
Eudaemon Godfather Nomad Jacket For Men Pale Green |100% cotton
eudaclothing.com
Buy NOMAD Men's Harvester Hunting Jacket Online at Lowest Price in ...
ubuy.co.in
Buy Lululemon Products Online At Best Discounted Price from Ubuy India
ubuy.co.in
The Humane Collective | Conscious Everyday Clothing
thehumane.co.in
Buy Lululemon Products Online At Best Discounted Price from Ubuy India
ubuy.co.in
Reversible Jackets - Buy Reversible Jackets online at Best Prices in ...
flipkart.com
Eudaemon Two Button Nomad Jacket For Men Frost Grey |100% linen, milanese
eudaclothing.com
Buy Viking Cycle Motorcycle Jackets for Men Ironside Men’s Mesh ...
ubuy.co.in
Fashion Wars: Lululemon Sues Costco For Allegedly Copying Its Designs ...
in.investing.com
Buy Lululemon Products Online At Best Discounted Price from Ubuy India
ubuy.co.in
THE NORTH FACE COMPACT NOMAD JACKET ケルプタンxアマゾングリーン 22FW-I(ザ・ノース・フェイス ...
atmos-tokyo.com
Nomad Kantha Embroidered Block Printed Bomber Jacket | Pinklay
pinklay.com
Mens Winter Jackets - Buy Mens Winter Jackets online at Best Prices in ...
flipkart.com
emmalilyanaw | Wonderlink
wonderl.ink
Leather Jackets with Fur - Men – Devoted
devotedstore.com
Buy Custom Created Raglan zipper jacket without Pockets with choice of ...
ilogo.in
THE NORTH FACE CAMP NOMAD JACKET AVIATOR NAVY(ザ・ノース・フェイス キャンプ ノマド ジャケット ...
atmos-tokyo.com
Men & Women Bags | Backpacks | Jackets | Accessories Gift Sets – THE ...
theholistik.com
THE NORTH FACE CAMP NOMAD JACKET AVIATOR NAVY(ザ・ノース・フェイス キャンプ ノマド ジャケット ...
atmos-tokyo.com
Unveiling the intriguing tribes of Egypt - Hello Travel Buzz
hellotravel.com
Delhi Police rolls out new uniform for SWAT unit ahead of Raising Day ...
aninews.in
New Arrivals - Women
siddarthatytler.com
Clay Jacket: Stay Cozy & Chic This Fall | Buna Studio
bunastudio.com
New Arrivals - Women
siddarthatytler.com
Men & Women Bags | Backpacks | Jackets | Accessories Gift Sets – THE ...
theholistik.com
New Arrivals - Women
siddarthatytler.com
Dusk One-Button style Jacket – Abhishek Sharma
abhisheksharmastudio.com
Buy Wantdo Women's Hooded Packable Ultra Light Weight Short Down Jacket ...
ubuy.co.in
One Button Style Jacket Metallic Delicate Embroidery – Abhishek Sharma
abhisheksharmastudio.com
Angel Fire Nomad USA Classic Cowhide Leather Motorcycle Biker Jacket ...
desertcart.in
Buy Men's Premium Hoodie Jacket, Fancy Hoodie Jacket, Classy Men Ethnic ...
amazon.in
Buy Claw Machine - Arcade Mini Toy Grabber Machine for Kids - Candy ...
ubuy.co.in
Raj Garments | LBB
lbb.in
Sobhita Dhulipala shows you how to work the bold-yet-delicate runway ...
grazia.co.in
Reflective safety Jacket Supplier - Custom Safety Jacket Manufacturer ...
warningtapes.co.in
New Arrivals - Women
siddarthatytler.com
Shein Red Jacket Dress – Khoobsurat Eva
khoobsurateva.com
DOSLAVIDA Men's Summer Outdoor Safari Fishing India | Ubuy
ubuy.co.in
THE NORTH FACE CAMP NOMAD JACKET AVIATOR NAVY(ザ・ノース・フェイス キャンプ ノマド ジャケット ...
atmos-tokyo.com
Rajasthali: Rajasthan Government Handicrafts Emporium | LBB
lbb.in
Benoit | LBB
lbb.in
Aman, Naman and Raman were partners in a firm sharing profits and ...
brainly.in
De paseo, el top negro – momo-mag
momo-mag.com
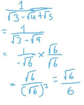
1/ 3- 4+ 5. Rationalise this please. - Brainly.in
brainly.in
This Winter, We're Turning To Elevated Outerwear For Fashion ...
grazia.co.in
G.V Creation | LBB
lbb.in
Sobhita Dhulipala shows you how to work the bold-yet-delicate runway ...
grazia.co.in
Buy ZENTHACE Men's Thicken Plaid Hooded Flannel Shirt Jacket with ...
ubuy.co.in
The House Of Ara
thehouseofara.com
15 Best Hotels In Dehradun For A Sweet Stay In The Foothills In 2025!
traveltriangle.com
Buy Canada Weather Gear Girls' Faux Fur Long Quilted Jacket - black, 14 ...
ubuy.co.in
Buy Genuine Dickies Long Sleeve Relaxed Fit Quilted Jacket Mens 1 Pack ...
ubuy.co.in
Buy Custom Created Half Sleeves Zip up Jacket with choice of Fabric and ...
ilogo.in
How to Write a Promissory Note - India Dictionary
1investing.in
IBM Metal Pen
logostore-globalid.in
Jharkhand starvation deaths: Government to set up a committee to define ...
scroll.in
The Messy Corner – Themessycorner
themessycorner.in
GST Council: GST Council meet from tomorrow to fix rates on goods ...
timesofindia.indiatimes.com
Buy FIVESTAR LEATHER Men's Air Force A-2 Leather Flight Bomber Jacket ...
ubuy.co.in
Go Karting In Hyderabad: Know Where To Go For A Fun Vacation
traveltriangle.com
Rynox Stealth Evo v3 Riding Jacket Grey– Moto Central
motocentral.in
Find the value of k for which the system 3x + ky = 7, 2x – 5y = 1 will ...
brainly.in
Get Geometric Print Long Line Jacket & Dress Set at ₹ 506 | LBB Shop
lbb.in
Leather Stores In Pune | LBB Pune
lbb.in
Electrical Safety Posters Supplier, Electrical Safety Posters Trader in ...
visiblesafety.in
New-era-school-panchgani-class-of-2001-reunion-bomber Personalized Men ...
ilogo.in
Slash Boutique | LBB Mumbai
lbb.in
Lavie & More | LBB
lbb.in
Small Sample Adapters for Brookfield Rotational Viscometers - Cole ...
coleparmer.in
7 Pieces From Diljit Dosanjhs Wardrobe That Are Making Us Laugh At Our ...
mensxp.com
Lytos trekking shoes waterproof and breathable
outdooradventuregear.in
Buy adidas Men's Essentials Warm-Up 3-Stripes Track Top Online in India ...
ubuy.co.in
Cute Leather Exporters Has Trendy Leather Jackets | LBB, Hyderabad
lbb.in
So What - The Plus Size Store | LBB
lbb.in
5 Super Expensive Jackets From Karan Johars Wardrobe That Are Making Us ...
mensxp.com
Style Diaries: Karan Johars Messy, HoliStained Jacket Costs More Than 6 ...
mensxp.com
Buy Ethnicwear For Men Online From Sojanya | LBB, Kolkata
lbb.in
New-era-school-panchgani-class-of-2001-reunion-bomber Personalized Men ...
ilogo.in
Beach Camp in Rishikesh, Shivpuri: Ganga Riverside Camp
rishikeshcamp.in
We Bought Clothes Worth Rs 6000 On Sale Came Up With 13 Expensive ...
mensxp.com
Get Kurta Dresses At This Andheri Label I LBB, Mumbai
lbb.in
Contemporary Clothing From B:Kind | LBB, Mumbai
lbb.in
Parampara | LBB
lbb.in
INDIAN-NAVY-LOGO Personalized Men's T-Shirt India
ilogo.in
Style Diaries: Karan Johars Messy, HoliStained Jacket Costs More Than 6 ...
mensxp.com
Shirts To Sherwanis: These 5 Shops In Chandni Chowk Stitch M
lbb.in
Buy Jackets At Thunderbird Leather Store | LBB, Bangalore
lbb.in
Men's Tailors And Studios In Koramangala | LBB, Bangalore
lbb.in
Indian Wedding Clothing for Men | Mens Ethnic Wear, Business Suits for ...
bonsoir.co.in
7 Homestays In Daman Where You Can Plan Your Stay At In 2025
traveltriangle.com
LastInch | LBB
lbb.in
Aakruthi Boutique In Malleswaram | LBB, Bangalore
lbb.in
Cool Club: Budget Casual And Party Wear | LBB, Chennai
lbb.in
Pets Go Nuts | LBB
lbb.in
COVER STORY: Anushka Sharma is the realest superstar | Grazia India
grazia.co.in
Best Clothes To Buy From Sale
mensxp.com
Runway Fashion
lbb.in
Shakti Sport Stores In Pune| LBB Pune
lbb.in
Rangriti | LBB
lbb.in
Beyond Nomad, Goa: Best Poshtel for Weekend stays | LBB Goa
lbb.in
Related Searches
Lululemon Define Jacket Black
Red Lululemon Define Jacket
Lululemon Define Jacket Colors
Lululemon Define Jacket White
Lululemon Define Jacket Blue
Lululemon Define Jacket Brown
Light-Pink Lululemon Define Jacket
Lululemon Cropped Define Jacket
Lululemon Define Jacket Set
Lululemon Black and Gold Define Jacket
Lululemon Define Jacket Zipper
Lululemon Define Jacket Espresso
Lululemon Navy Define Jacket
Lululemon Define Jacket Women
Dark Red Lululemon Define Jacket
Lululemon Define Jacket Men
Lululemon Hooded Define Jacket
Lululemon Define Jacket Nomad Color
Lululemon Define Jacket Leggings
Lululemon Define Jacket White Background
Lululemon Define Jacket Rose Gold
Lululemon Crop Define Jacket
Lululemon Define Jacket Purple
Preppy Lululemon Define Jacket
Lululemon Burgandy Define Jacket
Lululemon Define Jacket with Legin
Brown Lululemon Define Jacket NuLu
Lululemon Cobalt Define Jacket
White Lululemon Define Jacket Styling
Lululemon Define Jacket with Jogging Pants
Lululemon Red Gold Define Jacket Lunar
Lululemon Jacket Kids
Lululemon's Define Jacket Disney
Lululemon Define Jacket Lilac
Lululemon Define Jacket Green Gold Zipper
Lululemon Burgundy Define Jacket
Lululemon Define Jacket White T
Lululemon Define Jacket White Size 4
Oil Grey Define Jacket Lululemon
Lululemon Define Jacket Sheeroak
Lululemon Define Jacket Oak
Lululemon Define Jacket Bone Size 2
Lululemon Define Jacket All Colors
Lululemon Define Jacket Size 8 Dark Lavender
Lululemon Define Jacket Different Colors
Lululemon Oversized Define Jacket
Lululemon BBL Jacket
Cheeta Define Jacket Llulemon
Colorful Lululemon Define Jacket
Lululemon New Year Define Cropped Jacket
Search
×
Search
Loading...
No suggestions found