Find Your Style
Women
Men
Accessories
Search for clothing, brands, styles...
×
Women
Men
Accessories
Magnetizing Field
Search
Loading...
No suggestions found
Multimethod Approach to the Study of Recent Volcanic Ashes from Tengger ...
mdpi.com
Magnetic Field Formula - Definition, Equations, Examples
adda247.com
Magnetic Field: Formula, Properties, and Applications
jagranjosh.com
Class 12 ISC Physics Important Notes Chapter Magnetic Field and Earth ...
iqclasses.in
Understanding the Curie Constant: Definition, Importance, and Applications
allen.in
Understanding the Curie Constant: Definition, Importance, and Applications
allen.in
What is Eddy Current and its influence in PrismaSeT I Switchboard ...
se.com
All Fiber Vector Magnetometer Based on Nitrogen-Vacancy Center
mdpi.com
Online Engineering Videos for Electro-Magnetic Fields | Magic Marks
magicmarks.in
draw a diagram to represent a uniform magnetic field in a given region ...
brainly.in
Klassroom Learn - The Education OTT
mis.klassroom.in
Magnetic Fields and Moving Charges : Magnetic Force and Circular Motion ...
chemistrypage.in
Non-Steady State NMR Effect and Application on Time-Varying Magnetic ...
mdpi.com
Understanding the Curie Constant: Definition, Importance, and Applications
allen.in
a) What is solenoid?b) Draw field lines of the magnetic field through ...
brainly.in
Magnetic field due to a current carrying conductor — lesson. Science ...
yaclass.in
Virtual Labs
ems-iitr.vlabs.ac.in
Following plots show Magnetization (M) vs Magnetising field (H) and ...
tardigrade.in
Anna University Solved Problems in Magnetic Properties of Materials ...
ece.poriyaan.in
what is the difference between magnetic induction and magnetizing field ...
brainly.in
Magnetic Field due to Electric Current Class 10 Notes | EduRev
edurev.in
Which of the following graph represent the variation of magnetic flux ...
brainly.in
Magnetic Fields - Year 11 PDF Download
edurev.in
Magnetic field due to current through a circular loop — lesson. Science ...
yaclass.in
Anna University Solved Problems - Magnetic Properties of Materials ...
mech.poriyaan.in
Electro-Magnetic Fields - Magic Marks
magicmarks.in
SI Unit of Magnetic Field: Other Units, CGS Unit, Formula and Previous ...
collegesearch.in
SI Unit of Magnetic Field: Other Units, CGS Unit, Formula and Previous ...
collegesearch.in
AB is a current-carrying conductor in the plane of the paper as shown ...
allen.in
A metal rod PQ is placed in the magnetic field. The ends of the rod are ...
brainly.in
Formula sheet magnetic effect of electric current class 12 physics ...
studocu.com
A proton enters into uniform magnetic field at right angles to it as ...
brainly.in
Draw the pattern of magnetic field lines through and around a current ...
brainly.in
Electro-Magnetic Fields - Magic Marks
magicmarks.in
SI Unit of Magnetic Field: Other Units, CGS Unit, Formula and Previous ...
collegesearch.in
Earth's Magnetism and Magnetic Declination Class 12 Notes | EduRev
edurev.in
Magnetic Field due to Infinite Straight Conductor Class 12, NEET
esaral.com
(State two ways by which the strength of an electromagnet can be ...
brainly.in
Blog - Dalvey
dalvey.com
Magnetic Properties
magneticsolution.com
Explain hysteris is curve by describing experiment to study the effect ...
brainly.in
Draw magnetic field lines due to U-shaped magnet. - Brainly.in
brainly.in
SI Unit of Magnetic Field: Other Units, CGS Unit, Formula and Previous ...
collegesearch.in
Magnetic Effect of Electric Current
edu.keralites.in
Shielding basics | Phoenix Contact
phoenixcontact.com
Magnetic Properties
magneticsolution.com
Anna University Solved Problems in Magnetic Properties of Materials ...
ece.poriyaan.in
Materials | Topical Collection : Magnetoelastic Materials
mdpi.com
In the above figure, a circuit is placed perpendicular to a magnetic ...
tardigrade.in
Scan Mar 05, 2023 - Details about Magnetism, magnetic dipole moment ...
studocu.com
Objectives_template
archive.nptel.ac.in
A U-shaped wire having current is placed in regionof magnetic field as ...
brainly.in
is kept in a magnetizing (b) A magnetic moment of 5 A-m² induces when a ...
brainly.in
IIA in News - Turbulence and magnetic fields in star formation
iiap.res.in
Printable magnetic forces magnetic fields and faradays law Worksheets ...
quizizz.com
A uniform magnetic field B exists along y -axis and a uniform electric ...
tardigrade.in
What is a Solenoid?- Coil, Valve, Lock, Used for Class 10
adda247.com
What is Lorentz Force: Definitions, Formula, Importance, Properties ...
collegesearch.in
A positron enters a uniform magnetic field at right angles to it as ...
brainly.in
Magnetic Properties
magneticsolution.com
A current carrying wire is placed in the plane of the paper in a ...
brainly.in
When a plate of magnetic material of size 12 cm x 0.5 cm x 0.2 cm is ...
brainly.in
A conducting rod AB moves parallel to x -axis in a uniform magnetic ...
tardigrade.in
Magnetic Properties
magneticsolution.com
New insight into how Sun's powerful magnetic field affects Earth- The Week
theweek.in
QCD in strong magnetic fields: fluctuations of conserved charges and ...
snu.edu.in
How to do the experiment of the magnetic field on current carrying ...
brainly.in
When a ferromagnetic material is placed in a magnetizing field, then ...
brainly.in
Materials | Topical Collection : Magnetoelastic Materials
mdpi.com
Numerical Investigation of High-Temperature Superconducting-Coated ...
mdpi.com
50+ magnetic forces magnetic fields and faradays law worksheets on ...
wayground.com
Magnetic Properties
magneticsolution.com
A uniform magnetic field B exists in a cylindrical region, shown dotted ...
philoid.in
Draw and explain hysteresis loop - Brainly.in
brainly.in
A frog can be levitated in a magnetic field produced by a current in a ...
tardigrade.in
the relative permeability of a piece of soft iron is 3000. in a ...
brainly.in
ATOMIC THEORY OF MAGNETISM || Magnetism and Matter Class 12, JEE & NEET
esaral.com
conclusion
olabs.edu.in
Anna University Solved Problems in Magnetic Properties of Materials ...
ece.poriyaan.in
Physics - class 9 notes - ####### CLASS 9th NOTES PHYSICS FORCE AND ...
studocu.com
Numerical Investigation of High-Temperature Superconducting-Coated ...
mdpi.com
When a dielectric is placed in an electric filed, it gets polarized ...
philoid.in
Materials | Topical Collection : Magnetoelastic Materials
mdpi.com
Magnetic Properties
magneticsolution.com
NHPC-JE'21 EE: Daily Practices Quiz 14-Dec-2021
adda247.com
A magnetizing field of 1200 ampere per metre produces the net magnetic ...
brainly.in
50+ magnetic forces magnetic fields and faradays law worksheets on ...
quizizz.com
Buy The Earth's Magnetic Field Book Online at Low Prices in India | The ...
amazon.in
Magnetic Fields 2024; Celebrating A Decade Of Music Art And Community ...
therevolverclub.com
ESA ने जारी किया पृथ्वी के चुंबकीय क्षेत्र से आ रही डरावनी आवाजों का ...
ndtv.in
The Sun [Infographic] - AA Me, IN
aame.in
draw a magnetic field for a straight current carrying conductor ...
brainly.in
Money Magnet Duo: Attract Abundance and Prosperity – Vani Kabir Studio
vanikabirstudio.com
Magnetic Water Treatment Devices - Agriculture Magnetic Water ...
nanofiltersolutions.com
magnetic field strength measurement using arduino
projectmaker.in
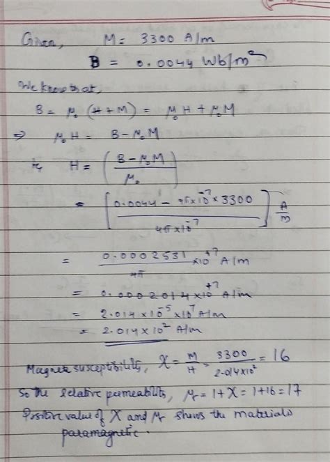
a magnetic material has a magnetization of 3300 a/m and flux density of ...
brainly.in
50+ magnetic forces magnetic fields and faradays law worksheets for ...
wayground.com
Set of Four Conductors for Biot-Savart Experiments - 1018478 - U8557240 ...
3bscientific.com
Sun is acting STRANGE! A sunspot with Weird magnetic field spotted; Is ...
tech.hindustantimes.com
Assertion: An emf e is induced in a closed loop when magnetic flux is ...
tardigrade.in
Materials | Topical Collection : Magnetoelastic Materials
mdpi.com
Magnetic Field Detectors | EMF Meters and Field Testers — Triplett Test ...
triplett.com
Materials | Topical Collection : Magnetoelastic Materials
mdpi.com
Materials | Topical Collection : Magnetoelastic Materials
mdpi.com
50+ magnetic forces magnetic fields and faradays law worksheets for ...
wayground.com
An iron rod is subjected to magnetizing field of 2500 A/m. The ...
brainly.in
Buy 6Pcs Near Field Magnetic Field Probes Set EMI SMA Conduction ...
desertcart.in
Engineering | Research Matters
researchmatters.in
Buy Solar Magnetic Fields Book Online at Low Prices in India | Solar ...
amazon.in
Magnetic Effects of Electric Current - MAGNETIC EFFECTS OF ELECTRIC ...
studocu.com
Mark out the correct options. | physics questions a.diamagnetism occurs ...
brainly.in
Magnetic Fields Merch Store – Magnetic Fields Festival Merch Market
shop.magneticfields.in
One conducting textitU tube can slide inside another as shown in the ...
tardigrade.in
NASA: From Solar Winds, Solar Flares to CME, check how solar phenomena ...
tech.hindustantimes.com
Music Festival Archives | Travel and Leisure Asia | India
travelandleisureasia.com
50+ magnetic forces magnetic fields and faradays law worksheets on ...
quizizz.com
Brand new black hole image will blow your mind - Blog
appsmanager.in
Anna University Solved Problems in Magnetic Properties of Materials ...
ece.poriyaan.in
If the key in the arrangement (Figure 13.1) is taken out (the circuit ...
philoid.in
Black Crown Tote – Magnetic Fields Festival Merch Market
shop.magneticfields.in
Related Searches
Solar Magnetic Field
AC Magnetic Field
Magnetic Field Illustration
Electromagnet Magnetic Field
Magnetic Field and Current
Magnetic Field around Earth
Magnet and Magnetic Field
Magnetic Field Repulsion
Magnetic Field Lines of Magnet
Current Loop Magnetic Field
Magnetic Force Field
Permanent Magnet Magnetic Field
Direction of Magnetic Field Lines
Uniform Magnetic Field
Magnetic Field B Formula
Magnetic Field Units
Magnetizing Force H
Earth Core Magnetic Field
North and South Magnetic Field
Solenoid Magnetic Field
North Pole Magnetic Field
Earth Magnetic Field Diagram
Straight Wire Magnetic Field
Magnetic Field Strength Equation
Magnetization Current
Earth Magnetic Field Changing
Bar Magnet Magnetic Field
Jupiter Magnetic Field
Iron Filings Magnetic Field
Unit of Field H
Magnetizing Current in Transformer
Magnetic Field Equation Physics
Electric Field
Magnetic Field Between Two Magnets
3D Magnetic Field Lines
Current Carrying Wire Magnetic Field
Magnetic Field 2 Bar Magnets
Magnetic Domain
Circular Magnetization
Electromagnetism
Types of Magnetization
Earth Magnetic Poles
Magnetizing Process
Magnetizing Paper
Electric and Magnetic Fields
Intensity of Magnetization
Horseshoe Magnet Magnetic Field Lines
What Is a Magnetic Field
Magnetism Wallpaper
Magnetic Dipole Moment
Search
×
Search
Loading...
No suggestions found