Find Your Style
Women
Men
Accessories
Search for clothing, brands, styles...
×
Women
Men
Accessories
Makalah Anilin Ubaya
Search
Loading...
No suggestions found
Decision to Withdraw 2,000 INR Note Won't Have Any Impact: Economist
sputniknews.in
Anand Kamalnayan Pandit — INR 8,660 Cr (Sri Lotus Developers & Realty ...
economictimes.indiatimes.com
Anand Kamalnayan Pandit — INR 8,660 Cr (Sri Lotus Developers & Realty ...
economictimes.indiatimes.com
Facts about Indian businessman who is buying Lavasa city for INR 1814 ...
timesofindia.indiatimes.com
INR Full Form: What is full form of INR?
bankersadda.com
ISI Mark Certification for Aniline Services at price INR 80000 in New ...
bis.alephindia.in
Indian Rupee (₹) - Buy INR Currency Online at Best Rates
makemytrip.com
Anand Kamalnayan Pandit — INR 8,660 Cr (Sri Lotus Developers & Realty ...
economictimes.indiatimes.com
CA Fresher bags INR 49.20 Lakhs Package in 58th ICAI Campus Placement Event
taxscan.in
ValueQuest Enters PE Segment With INR 1,000 Cr Fund
businessoutreach.in
कोस्टा रिका - Costa Rica (1 INR = 8.65 Colon) | Navbharat Times
navbharattimes.indiatimes.com
Usi ed effetti collaterali del warfarin: cosa devi sapere
medicoverhospitals.in
India and Malaysia can now trade in Indian rupee
currentaffairs.adda247.com
Gold Necklace Set for Women | Buy Gold Necklace Set Online India ...
manubhai.in
Aromatic Compounds: Nomenclature, Characteristics and Conditions
allen.in
Aniline reacts with bromine in `CS_(2)` [carbon disulphide] at room ...
allen.in
Light Weight & Daily Wear Gold Necklace Set Designs (2025) | Buy Gold ...
manubhai.in
Buy Gold Pendant Set with Earrings Online India | Latest Gold Pendant ...
manubhai.in
Gold Necklace Set for Women | Buy Gold Necklace Set Online India ...
manubhai.in
Aniline when diazotized in cold and then treated with dimethyl aniline ...
allen.in
Electrophilic Substitution Reaction: Definitions, Examples, Importance ...
collegesearch.in
Give the equation for the conversion of aniline to 4-Bromo aniline.
allen.in
(a) (i) Draw the zwitter ion structure for sulphanilic acid. (ii) How ...
iqclasses.in
International Trade Settlement in Indian Rupee (INR)
taxguru.in
All Products | Gyangroup
gyangroup.in
Aniline when diazotized in cold and then treated with dimethyl aniline ...
allen.in
UBAYA TRAINING CENTER (Mojokerto) - Cottage Reviews & Photos - Tripadvisor
tripadvisor.in
N,N- Dimethyl aniline react with `NaNO_(2)` and dilute HCl at `0-5^(@)C ...
allen.in
Accomplish the following conversions : i. Nitrobenzene to benzoic acid ...
allen.in
2,5-bis-(trifluoromethyl)aniline | CAS No- 328-93-8 | Simson Pharma Limited
simsonpharma.com
Aniline hydrochloride | CAS No- 142-04-1 | Simson Pharma Limited
simsonpharma.com
Hi-Tech Lab Solutions
hitechlabs.in
Assertion (a) monobromination of aniline can be conveniently done by ...
brainly.in
How will you convert (i) Benzene into aniline (ii) Benzene into N, N ...
allen.in
Buchwald G6 Precatalysts: Oxidative Addition Complexes
sigmaaldrich.com
The correct order of basicity is represented by a) pyridine > pyrrole ...
scoop.eduncle.com
Aniline is treated with bromine water to give an organic compound 'X ...
tardigrade.in
What happens when aniline is treated with br2 water - Brainly.in
brainly.in
Aniline is an activated system for electrophilic substitution The ...
allen.in
What is aniline used for? Preparation, Properties, and Tests|Chemistry Page
chemistrypage.in
Acetanilide synthesis mechanism fron aniline and acetyl chloride ...
brainly.in
What is aniline used for? Preparation, Properties, and Tests|Chemistry Page
chemistrypage.in
Aniline reacts with cone HNO3 to give - Tardigrade
tardigrade.in
Final Findings issued recommending continuation of anti-dumping duty on ...
tpm.in
conver aniline into phenol - Brainly.in
brainly.in
USD/INR Breaking Imp. Trendline; Is Nifty 50 Topping Out? | Investing ...
in.investing.com
Convert aniline to phenyl isocyanide - CBSE Class 12 - Learn CBSE Forum
ask.learncbse.in
Electrophilic Substitution Reaction: Definitions, Examples, Importance ...
collegesearch.in
Aniline on oxidation with Na2Cr2O7 and H2SO4 gives
tardigrade.in
Nitration of aniline also gives m- nitroaniline along with o- nitro and ...
tardigrade.in
Reaction of aniline with NaNO2 +dill HCl at 0°C followed by reaction ...
tardigrade.in
Aniline is an activated system for electrophilic substitution The ...
allen.in
The correct order of basicity is represented by a) pyridine > pyrrole ...
scoop.eduncle.com
Buy Antique Set Online | Antique Set by Manubhai.
manubhai.in
Accomplish the following conversions : i. Nitrobenzene to benzoic acid ...
allen.in
Badische Anilin- & Soda-Fabrik : Badische Anilin- & Soda-Fabrik: Amazon ...
amazon.in
2-Amino-4-(methylthio)aniline | CAS No- 67469-02-7 | Simson Pharma Limited
simsonpharma.com
Convert Aniline into m-bromonitrobenzene - Brainly.in
brainly.in
Buy Diamond Necklace Online | Diamond Set Online Manubhai Jewellers
manubhai.in
Can anyone plzz explain reaction of aniline with Br2 in presence of CS2 ...
edurev.in
Aniline when treated with conc. HNO3 gives - Tardigrade
tardigrade.in
Aniline to acetophenone - Brainly.in
brainly.in
the decreasing order of basicity of the following aniline derivatives ...
brainly.in
Ayat Silver Nosepins
wizzowl.com
Why is Aniline very reactive towards bromination? - CBSE Class 12 ...
ask.learncbse.in
How is aniline Obtained from Benzonitrile - Brainly.in
brainly.in
Recent Advances in Regioselective C–H Bond Functionalization of Free ...
mdpi.com
heya meta ️ WHAT WILL HAPPEN WHEN ANILINE REACTS WITH SODIUM NITRITE ...
brainly.in
Accomplish the following conversions : i. Nitrobenzene to benzoic acid ...
allen.in
Currency Today: Euro Finds Footing, Dollar Whipsaws, Rupee Tanks | India
btcc.com
21st December Daily Current Affairs 2022: Today GK Updates for Bank Exam
bankersadda.com
URBAN FOREST Oliver Aniline Blue Leather Wallet for Men : Amazon.in ...
amazon.in
Which of the following would not be a good choice for reducing ...
brainly.in
MICHELANGELO Stock Pot with Lid - 5 Quart Cooking Pot with Nonstick ...
amazon.in
Gold Necklace Set with Price | Buy Gold Necklace Set Online
manubhai.in
Diamond Necklace Designs | Buy Diamond Necklace Set Online at Best ...
manubhai.in
Diamond Necklace Designs | Buy Diamond Necklace Set Online at Best ...
manubhai.in
How to convert benzene into aniline - CBSE Class 12 - Learn CBSE Forum
ask.learncbse.in
India shining: Rupee inches closer to becoming international currency ...
timesnownews.com
[Best Answer] Give a chemical test to distinguish between ethylamine ...
brainly.in
29. Give reasons for any 3 of the following observations:a. Aniline is ...
brainly.in
ORGANIC CHEMISTRY How can we Form Aspirin from Aniline ?Do write all ...
brainly.in
convert benzamide to aniline - Brainly.in
brainly.in
Aniline reacts with phosgene to form - Tardigrade
tardigrade.in
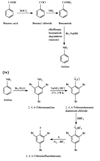
Aniline to 2 4 6-tribromofluorobenzene - Brainly.in
brainly.in
Buy Gold Set Online | Gold Set by Manubhai.
manubhai.in
Mumbai Indians: 5 players MI can release ahead of IPL 2026 auction ...
crickettimes.com
If aniline is treated with conc. H2SO4 and heated at 200°C, the product is
tardigrade.in
conversion of aniline to toluene - Brainly.in
brainly.in
The correct IUPAC name of compound - Tardigrade
tardigrade.in
The total number of reagents from those given below that can convert ...
brainly.in
Thyrocare Founder Partners With YEA and Magnifiq Capital Trust to ...
businessoutreach.in
draw the resonance structure of aniline - Brainly.in
brainly.in
Chlorobenzene can be prepared by reacting aniline with - Brainly.in
brainly.in
Buy Absolute Anticoagulant Journal: A Comprehensive logbook for ...
desertcart.in
convert aniline to benzene - Brainly.in
brainly.in
How do we convert aniline to iodobenzene? - Brainly.in
brainly.in
The following compound can be classified as N-N dimethyl propanamine, N ...
allen.in
Buy Antique Set Online | Antique Set by Manubhai.
manubhai.in
[Best Answer] How to convert ANILINE to Bromo BENZENe - Brainly.in
brainly.in
Kolkata Knight Riders: Full List of KKR Retentions, Releases, Remaining ...
crickettimes.com
Plus Size Black Red SnugWeave™ Winter Kurta
amydus.com
Friedel crafts alkylation of aniline - Brainly.in
brainly.in
Why is Acqua di Cristallo Tributo a Modigliani the most expensive water?
lifestyleasia.com
How will you convert aniline into Sulphanilic acid? - Brainly.in
brainly.in
Badische Anilin- & Soda-Fabrik : Badische Anilin- &. Soda-Fabrik ...
amazon.in
Hurun India 2025: 10 billionaire Indians who entered the rich list this ...
economictimes.indiatimes.com
All you need to know about Mukesh Ambani's sister, Nina Kothari
lifestyleasia.com
Warfarin: View Uses, Side Effects and Medicines
truemeds.in
Accomplish the following conversions: Benzoic acid to aniline
philoid.in
Warfarin EP Impurity C | CAS No- 122-57-6 | Simson Pharma Limited
simsonpharma.com
Aniline is separated from a mixture by? - Brainly.in
brainly.in
how to convert aniline into benzoic acid ? - Brainly.in
brainly.in
Accomplish the following conversions : i. Nitrobenzene to benzoic acid ...
allen.in
Buy Antique Set Online | Antique Set by Manubhai.
manubhai.in
Why we use glacial acetic acid in bromination of aniline? - Brainly.in
brainly.in
10-Hydroxy Warfarin | CAS No- 83219-99-2 | Simson Pharma Limited
simsonpharma.com
How will you convert aniline into in phenylethanamide? - Brainly.in
brainly.in
Diamond Earrings Designs | Buy Diamond Earrings Online India - Manubhai ...
manubhai.in
Gold Necklace Set with Price | Buy Gold Necklace Set Online
manubhai.in
Related Searches
Makalah Ubaya
Ubaya Makalh
Logo Ubaya Makalah
Contoh Makalah Mahasiswa
Cover Makalah Unila
Contoh Makalah Kampus
Cover Makalah Ubaya
Makalah
Gambar Cover Makalah
Cover Makalah UI
Template Sampul Makalah
Contoh Makalah Simple
Paper Makalah
Struktur Makalah Sederhana
Struktur Makalah Ilmiah
Search
×
Search
Loading...
No suggestions found