Find Your Style
Women
Men
Accessories
Search for clothing, brands, styles...
×
Women
Men
Accessories
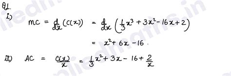
Marginal Average Cost
Search
Loading...
No suggestions found
Renault Duster Facelift Prices Start at INR 8.46 lacs! [Features ...
carblogindia.com
Renault Duster Facelift Prices Start at INR 8.46 lacs! [Features ...
carblogindia.com
Explain the relationship between Marginal Cost and Average Cost - CBSE ...
ask.learncbse.in
Illustrate the relation between marginal cost average total cost ...
brainly.in
Draw a rough sketch of cost ( C) , Average cost ( AC) and Marginal cost ...
brainly.in
How to Calculate Marginal Cost: 9 Steps - India Dictionary
1investing.in
How to Determine Marginal Cost, Marginal Revenue, and Marginal Profit ...
1investing.in
How to Determine Marginal Cost, Marginal Revenue, and Marginal Profit ...
1investing.in
Short Run and Long Run Cost Curves - Cost Function Analysis, Business ...
edurev.in
(a) Why is the short run Marginal Cost curve U-shaped ? (b) Explain the ...
philoid.in
How to Determine Marginal Cost, Marginal Revenue, and Marginal Profit ...
1investing.in
How to Determine Marginal Cost, Marginal Revenue, and Marginal Profit ...
1investing.in
Marginal and Average Product Curves (With Diagram) - Commerce PDF Download
edurev.in
the average cost curve in the short run is - Brainly.in
brainly.in
Distinguish between: - CBSE Class 12 Economics - Learn CBSE Forum
ask.learncbse.in
Marginal Cost of Funds Based Lending Rate
aavas.in
From the given hypnotical table Calculate Total Cost, Average Fixed ...
brainly.in
Concept of Efficiency - Economics Concepts, Business Economics ...
edurev.in
How to Calculate Total Cost: 13 Steps - India Dictionary
1investing.in
Applications - Differentiation, Business Mathematics and Statistics ...
edurev.in
Class 12 CBSE Applied Maths Application Of Derivatives Exercise 6.10
appliedmaths.in
Margin Calculator For Futures Trading: Tips And Tricks
samco.in
Class 12 CBSE Applied Maths Application Of Derivatives Exercise 6.10
appliedmaths.in
Class 12 CBSE Applied Maths Application Of Derivatives Exercise 6.10
appliedmaths.in
Marginal Cost of Funds Based Lending Rate (MCLR)
studyiq.com
Class 12 CBSE Applied Maths Application Of Derivatives Exercise 6.10
appliedmaths.in
Prime Rate - India Dictionary
1investing.in
Class 12 CBSE Applied Maths Application Of Derivatives Exercise 6.10
appliedmaths.in
Class 12 CBSE Applied Maths Application Of Derivatives Exercise 6.10
appliedmaths.in
Prime Rate - India Dictionary
1investing.in
Difference Between Short Run and Long Run Costs
navi.com
Class 12 CBSE Applied Maths Application Of Derivatives Exercise 6.10
appliedmaths.in
Difference Between Short Run and Long Run Costs
navi.com
Class 12 CBSE Applied Maths Application Of Derivatives Exercise 6.10
appliedmaths.in
Marginal Cost of Capital (MCC) - Study Commerce IN
studycommerce.in
Net interest earnings - India Dictionary
1investing.in
Class 12 CBSE Applied Maths Application Of Derivatives Exercise 6.10
appliedmaths.in
Class 12 CBSE Applied Maths Application Of Derivatives Exercise 6.10
appliedmaths.in
Marginal Cost of Funds Based Lending Rate (MCLR)
studyiq.com
Marginal Cost of Funds Based Lending Rate (MCLR)
studyiq.com
Weighted Average Cost of Capital: WACC Formula and Calculation
navi.com
Class 12 CBSE Applied Maths Application Of Derivatives Exercise 6.10
appliedmaths.in
Class 12 CBSE Applied Maths Application Of Derivatives Exercise 6.10
appliedmaths.in
MCLR Full Form - Meaning, Guidelines and Current MCLR Rate
navi.com
Average cost pricing - lecture notes on AVP - Average Cost Pricing or ...
studocu.com
10 High Margin Food Products to Build a Business Around - India Dictionary
1investing.in
CBSE Board | Homework Help | myCBSEguide
mycbseguide.com
Solved: The table below shows the monthly cost of producing vintage ...
gauthmath.com
Marginal Cost of Funds Based Lending Rate (MCLR)
studyiq.com
Marginal Cost of Funds Based Lending Rate (MCLR)
studyiq.com
Average variable cost - Best notes - 11010 2189 3248 428 32 6. 5 38 6 ...
studocu.com
Marginal costing 2 - Page | 1 MARGINAL COSTING Marginal costing is the ...
studocu.com
Cost Price & Margin | Quotient Support IN
quotientapp.com
Prime Rate - India Dictionary
1investing.in
Engineering Economics for GTU 20 Course (IV- CSE(AI & ML)- 3144201 ...
technicalpublications.in
68 - a line passing through the origin perpendicularly cuts the line 2x ...
brainly.in
Average Cost of Living in Bangalore (Approx. Monthly Costs)
assureshift.in
In the figure, oa= 5, ab= 8 and od is perpendicular to ab, find cd ...
brainly.in
Latest Average Monthly Cost of Living in Mumbai
assureshift.in
If alpha and beta are the zeroes of the quadratic polynomial x2- 5x + 6 ...
brainly.in
What is GMROF in Retail & How to Improve It? - India Dictionary
1investing.in
Please help guys this question is over thinking... - Brainly.in
brainly.in
amway-india-introduces-new-range-of-supplements-in-gummies-jelly-strips ...
democraticjagat.com
Coffeegram
coffeegram.in
Price of Starbucks
finshots.in
Event Planet - Best Event Company in Lucknow
eventplanet.in
Harshita and Shilpa each have certain number of apples. Harshita says ...
brainly.in
Harshita and Shilpa each have certain number of apples. Harshita says ...
brainly.in
Harshita and Shilpa each have certain number of apples. Harshita says ...
brainly.in
The marks obtained in the Madhyamik exam, is - Brainly.in
brainly.in
7 Best Spots For Surfing In Ghana For Amateurs & Experts
traveltriangle.com
12 Exciting Water Sports In Dubai For A Fun Vacation In 2025
traveltriangle.com
Heres How Much It Costs To Build The iPhone X
mensxp.com
Top 10 Ways To Secure A Dedicated Server | MilesWeb
milesweb.in
3. To draw a cube with an age of 5 cm on an isometric dot paper and ...
brainly.in
Related Searches
Calculating Marginal Cost
Marginal Average Cost Function
Marginal Cost Chart
Marginal vs Average Cost
Marginal Average Cost Formula
Marginal Cost Diagram
Marginal Cost Table
Long Run Marginal Cost
Marginal Cost and Revenue
Total Cost Average Cost and Marginal Cost
Marginal and Average Cost Curves
Constant Marginal Cost
Marginal Cost Definition
Average Variable Cost and Marginal Cost
Marginal Cost Equation
Marginal Social Cost
Marginal Costing Formula
Marginal Cost Graph
Marginal Cost Example
Marginal Cost Economics
Marginal Cost Curve
Relationship Between Average Cost and Marginal Cost
Price Marginal Cost
Marginal Cost Pricing
Increasing Marginal Cost
Marginal Cost and Benefit
How to Find Marginal Average Cost
Calculate Marginal Cost
Marginal Cost Explained
Marginal Cost of Capital
What Is the Marginal Average Cost Function
Marginal Product Marginal Cost
Marginal Cost Slope
Difference in Marginal and Average Cost
Marginal Average Cost Function Equatin
Distinguish Between Marginal Cost and Average Cost
Marginal Cost Supply Curve
Marginal Private Cost Curve
Difference in Marginal and Average Cost for Dummies
Average Fixed Cost Graph
Calc Marginal Cost
Increase in Marginal Cost
Differnce Between Marginal Cost and Average Cost
Extbook Depiction of Average and Marginal Cost
Marginal Value Product
Examples On Marginal Cost and Average Cost in Mathematics
Short Run Average Cost Curve
Marginal Cost Function
Marginal Cost vs Average Cost
Marginal Cost Sheet
Search
×
Search
Loading...
No suggestions found