Find Your Style
Women
Men
Accessories
Search for clothing, brands, styles...
×
Women
Men
Accessories
Matriks Singular Dan Non Singular
Search
Loading...
No suggestions found
அணிக்கோவை: பூஜ்ஜியக் கோவை மற்றும் பூஜ்ஜியமற்ற கோவை அணிகள் (Singular and ...
brainkart.in
Types of Matrices
allen.in
Types of Matrices - Business Mathematics and Statistics - B Com PDF ...
edurev.in
What are Singular and Non Singular Matrices? Video Lecture ...
edurev.in
Q8. (i) If A is a non-singular matrix, then show that |A-1| = 1/|A| (ii ...
appliedmaths.in
பயிற்சி 7.4: அணிக்கோவை: முக்கோணத்தின் பரப்பு (Area of a triangle ...
brainkart.in
Let a be a non-singular 3x3 matrix, the columns of which are denoted by ...
scoop.eduncle.com
பயிற்சி 7.4: அணிக்கோவை: முக்கோணத்தின் பரப்பு (Area of a triangle ...
brainkart.in
Fractional Diffusion Equation under Singular and Non-Singular Kernel ...
mdpi.com
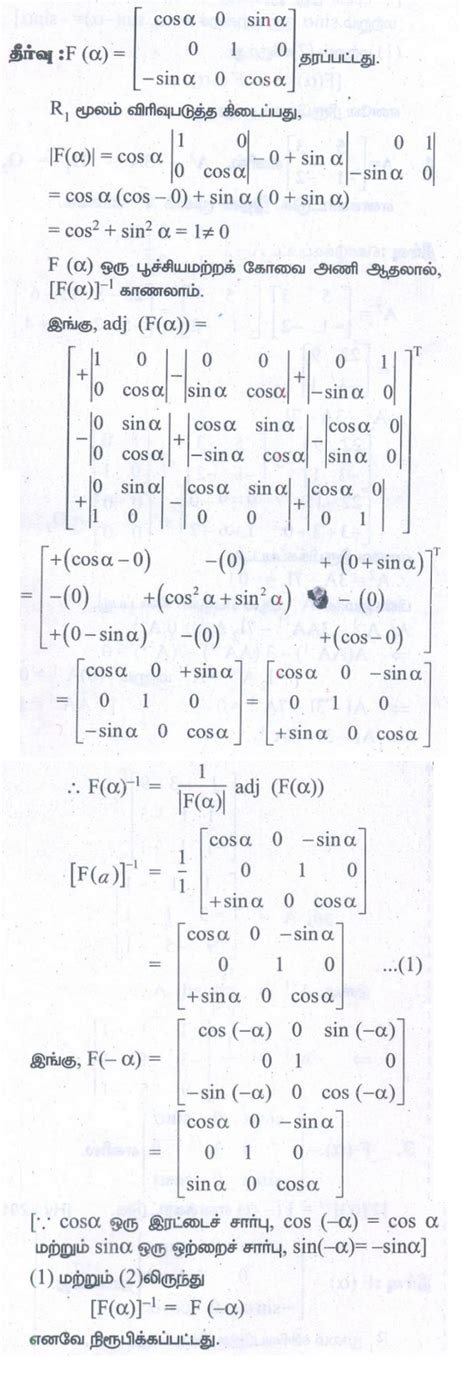
பயிற்சி 1.1: பூச்சியமற்ற கோவை அணியின் நேர்மாறு (Inverse of a Non− ...
brainkart.in
பயிற்சி 1.1: பூச்சியமற்ற கோவை அணியின் நேர்மாறு (Inverse of a Non− ...
brainkart.in
Q5. If then x is (A) 2+x 3 4 1 -1 2 x 1 -5 (C) لها الله wla is a ...
brainly.in
பயிற்சி 1.1: பூச்சியமற்ற கோவை அணியின் நேர்மாறு (Inverse of a Non− ...
brainkart.in
பயிற்சி 1.1: பூச்சியமற்ற கோவை அணியின் நேர்மாறு (Inverse of a Non− ...
brainkart.in
பயிற்சி 7.4: அணிக்கோவை: முக்கோணத்தின் பரப்பு (Area of a triangle ...
brainkart.in
அணிக்கோவை: பூஜ்ஜியக் கோவை மற்றும் பூஜ்ஜியமற்ற கோவை அணிகள் (Singular and ...
brainkart.in
Fractional Diffusion Equation under Singular and Non-Singular Kernel ...
mdpi.com
பயிற்சி 7.4: அணிக்கோவை: முக்கோணத்தின் பரப்பு (Area of a triangle ...
brainkart.in
பயிற்சி 7.4: அணிக்கோவை: முக்கோணத்தின் பரப்பு (Area of a triangle ...
brainkart.in
Class 12 ISC Term1 Maths SPECIMEN 2022
iqclasses.in
Lecture 5-6 15730 Lecture 5-6 - Eigen values: Let be a square matrix ...
studocu.com
பயிற்சி 7.4: அணிக்கோவை: முக்கோணத்தின் பரப்பு (Area of a triangle ...
brainkart.in
Fractional Diffusion Equation under Singular and Non-Singular Kernel ...
mdpi.com
Complex analysis - can you please explain \"singularities of analytic ...
scoop.eduncle.com
Singular Matrix - Types, Examples, Definition & Properties - Maths ...
aakash.ac.in
Q.53 consider the matrix let p be a non-singular matrix such that pmp ...
scoop.eduncle.com
அணிக்கோவை: பூஜ்ஜியக் கோவை மற்றும் பூஜ்ஜியமற்ற கோவை அணிகள் (Singular and ...
brainkart.in
Q2. Which of the following matrices are non-singular?
appliedmaths.in
2 Mathematical Preliminaries
archive.nptel.ac.in
அணிக்கோவை: பூஜ்ஜியக் கோவை மற்றும் பூஜ்ஜியமற்ற கோவை அணிகள் (Singular and ...
brainkart.in
Q2. Which of the following matrices are non-singular?
appliedmaths.in
அணிக்கோவை: பூஜ்ஜியக் கோவை மற்றும் பூஜ்ஜியமற்ற கோவை அணிகள் (Singular and ...
brainkart.in
Fractional Diffusion Equation under Singular and Non-Singular Kernel ...
mdpi.com
Find the number of different non-singular matrices of the form [1 a c 1 ...
tardigrade.in
Q5. (i) (ii) If A is a square matrix of order 3 and | A| =5, then find ...
appliedmaths.in
Engineering Mathematics I - UNIT – I 1 MATRICES: De昀椀nition - Singular ...
studocu.com
Properties of eigen values - Matrices
mech.poriyaan.in
Let a be a 3x3 matrix with eigenvalues 1, -1 and 3. then (a) a +a is ...
scoop.eduncle.com
Engineering Mathematics I - UNIT – I 1 MATRICES: Definition - Singular ...
studocu.com
Which of the following matrices are non-singular ? If the matrix is non ...
brainly.in
பயிற்சி 1.1: பூச்சியமற்ற கோவை அணியின் நேர்மாறு (Inverse of a Non− ...
brainkart.in
Engineering Mathematics I - UNIT – I 1 MATRICES: Definition - Singular ...
studocu.com
பயிற்சி 1.1: பூச்சியமற்ற கோவை அணியின் நேர்மாறு (Inverse of a Non− ...
brainkart.in
பயிற்சி 1.1: பூச்சியமற்ற கோவை அணியின் நேர்மாறு (Inverse of a Non− ...
brainkart.in
Q8. (i) If A is a non-singular matrix, then show that |A-1| = 1/|A| (ii ...
appliedmaths.in
அணிக்கோவை: பூஜ்ஜியக் கோவை மற்றும் பூஜ்ஜியமற்ற கோவை அணிகள் (Singular and ...
brainkart.in
Which of the following matrices are non-singular ? If the matrix is non ...
brainly.in
பயிற்சி 7.4: அணிக்கோவை: முக்கோணத்தின் பரப்பு (Area of a triangle ...
brainkart.in
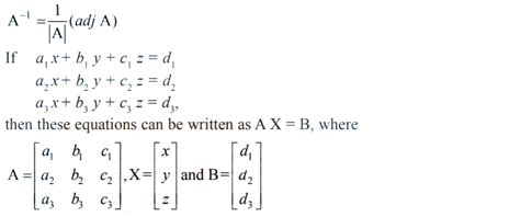
Solve system of linear equations, using matrix method.
philoid.in
if A and B are n Square matrices and A is non singular then show that A ...
brainly.in
பயிற்சி 1.1: பூச்சியமற்ற கோவை அணியின் நேர்மாறு (Inverse of a Non− ...
brainkart.in
6. the set of all non-singular square matrices of same order with ...
scoop.eduncle.com
சங்கேத மொழியியலில் அணிகளின் பயன்பாடுகள் (Application of matrices to ...
brainkart.in
பயிற்சி 1.1: பூச்சியமற்ற கோவை அணியின் நேர்மாறு (Inverse of a Non− ...
brainkart.in
Engineering Mathematics I - UNIT – I 1 MATRICES: De昀椀nition - Singular ...
studocu.com
Cayley-Hamilton Theorem - Worked Example Problems
mech.poriyaan.in
Consider group of 2x2 non- singular matrices under matrix ...
scoop.eduncle.com
சங்கேத மொழியியலில் அணிகளின் பயன்பாடுகள் (Application of matrices to ...
brainkart.in
நேர்மாறு அணிகளின் பண்புகள் (Properties of inverse of matrices) - வரையறை ...
brainkart.in
DETERMINANT OF A SQUARE MATRIX
home.iitk.ac.in
Engineering Mathematics I - UNIT – I 1 MATRICES: De昀椀nition - Singular ...
studocu.com
பயிற்சி 1.1: பூச்சியமற்ற கோவை அணியின் நேர்மாறு (Inverse of a Non− ...
brainkart.in
பயிற்சி 1.1: பூச்சியமற்ற கோவை அணியின் நேர்மாறு (Inverse of a Non− ...
brainkart.in
வடிவக் கணிதத்தில் அணிகளின் பயன்பாடுகள் (Application of matrices to ...
brainkart.in
பயிற்சி 1.1: பூச்சியமற்ற கோவை அணியின் நேர்மாறு (Inverse of a Non− ...
brainkart.in
பயிற்சி 1.1: பூச்சியமற்ற கோவை அணியின் நேர்மாறு (Inverse of a Non− ...
brainkart.in
பயிற்சி 1.1: பூச்சியமற்ற கோவை அணியின் நேர்மாறு (Inverse of a Non− ...
brainkart.in
பயிற்சி 1.1: பூச்சியமற்ற கோவை அணியின் நேர்மாறு (Inverse of a Non− ...
brainkart.in
நேர்மாறு அணிகளின் பண்புகள் (Properties of inverse of matrices) - வரையறை ...
brainkart.in
Rank of a Matrix
archive.nptel.ac.in
நேர்மாறு அணிகளின் பண்புகள் (Properties of inverse of matrices) - வரையறை ...
brainkart.in
சங்கேத மொழியியலில் அணிகளின் பயன்பாடுகள் (Application of matrices to ...
brainkart.in
வடிவக் கணிதத்தில் அணிகளின் பயன்பாடுகள் (Application of matrices to ...
brainkart.in
பயிற்சி 7.4: அணிக்கோவை: முக்கோணத்தின் பரப்பு (Area of a triangle ...
brainkart.in
நேர்மாறு அணிகளின் பண்புகள் (Properties of inverse of matrices) - வரையறை ...
brainkart.in
Non singular transformation - Matheamtics - antTt Noh- Singulan ...
studocu.com
GENERALIZED INVERSES
home.iitk.ac.in
பயிற்சி 1.1: பூச்சியமற்ற கோவை அணியின் நேர்மாறு (Inverse of a Non− ...
brainkart.in
பயிற்சி 7.4: அணிக்கோவை: முக்கோணத்தின் பரப்பு (Area of a triangle ...
brainkart.in
Class 12 Maths | Samacheer Kalvi | TN SCERT
modelexam.in
Engineering Mathematics I - UNIT – I 1 MATRICES: De昀椀nition - Singular ...
studocu.com
obtain non singular matrices p and Qsuch that PAQ is in the normal form ...
brainly.in
If A is a non singular (2 × 2) matrix such that A+ adj A = A-1, then ...
brainly.in
Non singular curve meaning - Brainly.in
brainly.in
பயிற்சி 1.1: பூச்சியமற்ற கோவை அணியின் நேர்மாறு (Inverse of a Non− ...
brainkart.in
) let g = gl(2, r) = {a:a is non-singular 2x2 matrix over r}, a group ...
scoop.eduncle.com
Engineering Mathematics I - UNIT – I 1 MATRICES: De昀椀nition - Singular ...
studocu.com
Inverse of Non-singular matrices by Gauss- Jordanmethod - Brainly.in
brainly.in
If A, B are square matrices of order 3, A is non-singular and AB = O ...
brainly.in
Determine a non-singular matrix P such that P^-1 AP is a diagonal ...
brainly.in
பூச்சியமற்ற கோவை அணியின் நேர்மாறு (Inverse of a Non−Singular square ...
brainkart.in
Engineering Mathematics I - UNIT – I 1 MATRICES: De昀椀nition - Singular ...
studocu.com
நேர்மாறு அணிகளின் பண்புகள் (Properties of inverse of matrices) - வரையறை ...
brainkart.in
Cayley-Hamilton Theorem - Worked Example Problems
mech.poriyaan.in
CBSE Class 12 Maths Chapter 4 Determinants Revision Notes: Download PDF
jagranjosh.com
If A is a non singular (2 × 2) matrix such that A+ adj A = A-1, then ...
brainly.in
Engineering Mathematics I - UNIT – I 1 MATRICES: De昀椀nition - Singular ...
studocu.com
if A is a non singular matrix of order 3*3 and |A|. Then |adj(adj A ...
brainly.in
Engineering Mathematics I - UNIT – I 1 MATRICES: De昀椀nition - Singular ...
studocu.com
பயிற்சி 1.1: பூச்சியமற்ற கோவை அணியின் நேர்மாறு (Inverse of a Non− ...
brainkart.in
Class 12 Maths | Samacheer Kalvi | TN SCERT
modelexam.in
if A is a non-singular matrix of odd order prove that |adj A| is ...
brainly.in
IPMAT Indore - If A, B and A + B are non singular matrices and AB = BA ...
afterboards.in
Invertible - Singular and Nonsingular Linear Transformation Video ...
edurev.in
GENERALIZED INVERSES
home.iitk.ac.in
CHAPTER 7
home.iitk.ac.in
Chapter 10 Hyperelliptic Curves - Chapter 10 Hyperelliptic Curves 10 ...
studocu.com
Class 12 Maths | Samacheer Kalvi | TN SCERT
modelexam.in
what is inverse of a square matrix - Brainly.in
brainly.in
ஒரு சதுர அணியின் நேர்மாறு அணி (Definition of inverse matrix of a square ...
brainkart.in
Rank of a Matrix
archive.nptel.ac.in
Engineering Mathematics I - UNIT – I 1 MATRICES: De昀椀nition - Singular ...
studocu.com
If A is non-singular matrix then A(adj A) is - Brainly.in
brainly.in
GENERALIZED INVERSES
home.iitk.ac.in
A and B are two non singular matrices such that A^6 = I and AB^2 = BA ...
brainly.in
6. the set of all non-singular square matrices of same order with ...
scoop.eduncle.com
நேர்மாறு அணிகளின் பண்புகள் (Properties of inverse of matrices) - வரையறை ...
brainkart.in
CHAPTER 7
home.iitk.ac.in
ஒரு சதுர அணியின் சேர்ப்பு அணி (Adjoint of a Square Matrix) - வரையறை ...
brainkart.in
GENERALIZED INVERSES
home.iitk.ac.in
Related Searches
Matriks Singular
Singular Matrix
Contoh Matriks Singular
Matrix Singular Adalah
2X2 Singular Matrix
Singular vs Non Singular Matrix
Matriks Non Singular 3Kali3
Contoh Matriks Identitas
Matriks Singular 3X3
Contoh Matriks Singular 2 X 2
Matriks Non Persegi
Contoh Matriks Singular Simpel
Matriks Ortogonal
Contoh Matrix Singulr
Matriks Tunggal Epoxy
Contoh Bentuk Matriks Tak Singular
Matriz Singular
Matriks Skalar
Sifat Perkalian Matriks
Baris Dan Kolom Matriks
Non Singular Elements
Pangkat Matriks
Peta Konsep Matriks
Cara Invers Matriks 2X2
Contoh Pengurangan Matriks
Gambar Matriks Singular
Matriks Non Singular 3X3
Transpo's Matriks
Matriks 1 2
Contoh Matriks Bujur Sangkar
Matriks Ilmu Matematika Dan Komputer Science
Matriks A B
Font Matriks
Contoh Formula Matriks
Contoh Invers Matriks
Pembagian Matriks 2X2
Contoh Perkalian Matriks
Sifat-Sifat Matriks
Contoh Soal Matriks
Gambar Matriks
Contoh Matriks Non Singular
Contoh Bentuk Matriks
Rumus Pengurangan Matriks
Matriks Ortogonal Adalah
Bentuk Matrix
Contoh Matriks Skalar
Sifat Matrix Singular
Determinan Matriks
Nilai Eigen Dan Vektor Eigen
Matriks Kuadrat
Search
×
Search
Loading...
No suggestions found