Meerpur Picture
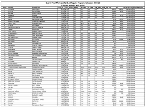
IGU Admission 2025, Application Form, Eligibility, Course, Fees, Last Date
university.careers360.com
IGU Admission 2025, Application Form, Eligibility, Course, Fees, Last Date
university.careers360.com
IGU Admission 2025, Application Form, Eligibility, Course, Fees, Last Date
university.careers360.com
IGU Admission 2025, Application Form, Eligibility, Course, Fees, Last Date
university.careers360.com
IGU Admission 2025, Application Form, Eligibility, Course, Fees, Last Date
university.careers360.com
IGU Admission 2025, Application Form, Eligibility, Course, Fees, Last Date
university.careers360.com
IGU Admission 2025, Application Form, Eligibility, Course, Fees, Last Date
university.careers360.com