Find Your Style
Women
Men
Accessories
Search for clothing, brands, styles...
×
Women
Men
Accessories
Midpoint Definition Geometry
Search
Loading...
No suggestions found
Exploring the World of Coordinate Geometry: 2D and 3D
allen.in
midpoint formula coordinate geometry when midpoint is given - Brainly.in
brainly.in
D and E are midpoints of sides AB and AC of triangle ABC and O is any ...
brainly.in
Let A be the point (0,4) and B be a moving point on x axis. Let M be ...
tardigrade.in
Midpoint circle example - Mid Point Circle Drawing Algorithm- Given the ...
studocu.com
In the given figure , M is the midpoint of side CD of a parallelogram ...
brainly.in
Chords of an ellipse are drawn through the positive end of the minor ...
tardigrade.in
(i) (ii) ABC is a triangle whose vertices are A(1, -1), B(0, 4) and C ...
iqclasses.in
find the coordinates of the midpoint of the line segment joining the ...
brainly.in
The locus of the midpoint of the intercept of the line x cos α + y sin ...
tardigrade.in
In question 4, point C is called a mid-point of line segment AB. Prove ...
ask.learncbse.in
Trignometric (50) - notes - midpoint polynomial function definition of ...
studocu.com
Solved: OAN, OMB, APB and MPN are straight lines and N M is the ...
gauthmath.com
state and prove midpoint theorem - Brainly.in
brainly.in
A variable line (x/a)+ (y/b)=1 is such that a + b = 4 .The locus of the ...
tardigrade.in
Two identical spheres each of mass M and radius R are separated by a ...
tardigrade.in
A rod of length 6 units slides with its ends on the coordinate axes ...
tardigrade.in
(i) (ii) ABC is a triangle whose vertices are A(1, -1), B(0, 4) and C ...
iqclasses.in
Solved: Given: MNO Prove: The medians of ΔMNO are concurrent. [edAsset ...
gauthmath.com
(i) (ii) ABC is a triangle whose vertices are A(1, -1), B(0, 4) and C ...
iqclasses.in
The position vector of the centroid of the Δ ABC is 2i+4j+2k . If the ...
tardigrade.in
trapezium in maths: Definition, Types and Importance | AESL
aakash.ac.in
A circle touches the hypotenuse of a right-angled triangle at its ...
tardigrade.in
Solved: The steps shown can be used to prove that the medians Which is ...
gauthmath.com
[Video] In the triangle PQR, S is the midpoint of QR. X is any point on ...
cracku.in
Let P be the midpoint of a chord joining the vertex of the parabola y2 ...
tardigrade.in
[Video] The sides AB and CD of a trapezium ABCD are parallel, with AB ...
cracku.in
IPMAT Indore - In a triangle ABC, let D be the midpoint of BC, and AM ...
afterboards.in
(i) (ii) ABC is a triangle whose vertices are A(1, -1), B(0, 4) and C ...
iqclasses.in
[Video] ABCD is a rectangle with sides AB = 56 cm and BC = 45 cm, and E ...
cracku.in
A weight ω is suspended from the midpoint of a rope, whose ends are at ...
tardigrade.in
What are lines? Definition, Types and Importance - maths | AESL
aakash.ac.in
Isosceles Triangle- Definition, Properties, Angles, Formula & Types
adda247.com
What is Geometry? - Geometry Definition, Formulas and Shapes
sscadda.com
all formula of coordinate geometry class 10th.. - Brainly.in
brainly.in
How to calculate the Mean, Mode, Median and Range in Maths
twinkl.co.in
How to calculate the Mean, Mode, Median and Range in Maths
twinkl.co.in
Statistics Formula, Definition, Mean, Median, Mode, Variance
pw.live
What is the Mean in Maths? Definition & Examples | Twinkl
twinkl.co.in
Media, mediana, moda y rango | Definiciones | Twinkl USA
twinkl.co.in
Segment Addition And Midpoint Worksheet Answer Key - Fill Online ...
pdffiller.com
How to calculate the Mean, Mode, Median and Range in Maths
twinkl.co.in
Geometry: Key Theorems, Properties, and Simplification Rules Flashcards ...
quizlet.com
"Question 7 ABC is a triangle right angled at C. A line through the mid ...
brainly.in
List I List II a MI of the rod (length L, Mass M, about an axis perp to ...
tardigrade.in
A homogenous plate PQRST is as shown in figure. The centre of mass of ...
tardigrade.in
M is the midpoint of side CD of a parallelogram ABCD. The line BM is ...
edurev.in
Two spheres each of mass M and radius R are separated by a distance of ...
tardigrade.in
What is Median? Definition of Median, Median Meaning - The Economic Times
economictimes.indiatimes.com
What is Geometry? - Geometry Definition, Formulas and Shapes
sscadda.com
How to calculate the Mean, Mode, Median and Range in Maths
twinkl.co.in
In ABC AB = i plus j 2k and AC = 3i j 4k If D is midpoint of BC then ...
iqclasses.in
(i) (ii) ABC is a triangle whose vertices are A(1, -1), B(0, 4) and C ...
iqclasses.in
Tangents are drawn from any point on the directrix of y2=16x to the ...
tardigrade.in
A weight w is suspended from the midpoint of a rope, whose ends are at ...
tardigrade.in
in a triangle PQ and R are the midpoint of the sides BC CA and ab ...
brainly.in
in the given fig angle Q>angle R and M is the midpoint on QR such that ...
brainly.in
In the given figure, ABCD is a square, M is the midpoint of AB and PQ ⊥ ...
philoid.in
How to calculate the Mean, Mode, Median and Range in Maths
twinkl.co.in
The distance of the midpoint of line joining two points (4, 0) and (0 ...
tardigrade.in
Comprehensive Analysis of Collinear Points: Definitions, Examples ...
collegesearch.in
What is the Mean in Maths? Definition & Examples | Twinkl
twinkl.co.in
IXL - Construct the midpoint or perpendicular bisector of a segment ...
in.ixl.com
The centres of two circles C1 and C2 each of unit radius are at a ...
tardigrade.in
A mass of 6 kg is suspended by a rope of length 2 m from the ceiling. A ...
tardigrade.in
IXL - Construct the midpoint or perpendicular bisector of a segment ...
in.ixl.com
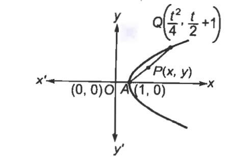
Let P(x, y) be the midpoint of the line joining (1, 0) to a point on ...
tardigrade.in
[Video] AB is a chord of a circle. The length of AB is 24 cm. P is the ...
cracku.in
In triangle ABC, ∠A = 30o, H is the orthocentre and D is the midpoint ...
tardigrade.in
Through the midpoint M of side CD of a parallelogram ABCD, the line BM ...
10.mathsteacher.in
In the above figure, O is the centre of the circle, A B and C D are ...
tardigrade.in
Two identical magnetic dipoles of magnetic moment 2 A m2 are placed at ...
tardigrade.in
As shown in the figure, an equilateral triangle A B C is formed by ...
tardigrade.in
figure shows three vectors a,b,c whereR is the midpoint of PQ.then ...
brainly.in
Mode, Mean, Range and Median Poster Pack
twinkl.co.in
In the equilateral triangle ABC , the equation of the side BC is x+y-2 ...
tardigrade.in
A homogeneous plate P Q R S T is as shown in figure. The centre of mass ...
tardigrade.in
Tangents are drawn from any point on the directrix of y2=16x to the ...
tardigrade.in
(b) In the given below figure /_CEF= /_CEF, F is the midpoint of DC ...
brainly.in
A thin rod of length L and mass M is bent at its midpoint into two ...
tardigrade.in
Charges +q and -q are placed at A and B , respectively, which are at a ...
tardigrade.in
What is a Vertex? Maths Definition and Examples - Twinkl
twinkl.co.in
in a triangle PQR,G is the midpoint on side PQ and GH is parallel to QR ...
brainly.in
define mean mode median also write formula - Brainly.in
brainly.in
A line of fixed length 2 units moves so that its ends are on the ...
tardigrade.in
Media, mediana, moda y rango | Definiciones | Twinkl USA
twinkl.co.in
Fun with Algebra Teaching Resources | Teachers Pay Teachers
teacherspayteachers.com
P,Q,R are the midpoints of sides of triangle ABC respectively.Find the ...
brainly.in
PQR is a triangle right-angled at Q. A line through the mid-point M of ...
brainly.in
The centres of two circles C1 and C2 each of unit radius are at a ...
tardigrade.in
A wire of cross-sectional area A is stretched horizontally between two ...
tardigrade.in
Point charges q , -q , 2Q and Q are placed in order at the corners A ...
tardigrade.in
(Q33) (a) State and prove Basic Proportionality theorem. (b) In the ...
iqclasses.in
50+ midpoint formula worksheets on Quizizz | Free & Printable
wayground.com
iii) M is the midpoint of seg AB and Seg CM is median of A ABC A M B A ...
brainly.in
Charges +q and -q are placed at points A and B respectively which are a ...
tardigrade.in
in the given figure abcd is a parallelogram in which e and f are ...
brainly.in
ABCD is a quadrilateral and P,Q,R,S are midpoint of sides AB, BC, CD ...
brainly.in
AB,BC,CD and DA are identical mirror used to from a square as shown in ...
tardigrade.in
Find the midpoint of each segment with the given endpoints.(3,-6) and ...
brainly.in
Two steel wires of same length but radii r and 2 r are connected ...
tardigrade.in
The particles A and B of mass m each are separated by a distance r ...
tardigrade.in
In ∆pqr, seg xy ⃦side qr, point m and point n are midpoints of seg py ...
brainly.in
prove that the triangle formed by joining the midpoints of the sides of ...
brainly.in
What is Geometry? - Geometry Definition, Formulas and Shapes
sscadda.com
can the altitudes and medians be same for a triangle ? find out and ...
brainly.in
ABCD is a quadrilateral in which P, Q, R and S are mid-points of the ...
zigya.com
If the length of a median of an equilateral triangle is x cm, then its ...
brainly.in
Four identical mirrors are made to stand vertically to form a square ...
tardigrade.in
Two identical coils each of radius R and each carrying a current I in ...
tardigrade.in
Charges (+q) and (–q) are placed at the points A and B respectively ...
iqclasses.in
What is Geometry? - Geometry Definition, Formulas and Shapes
sscadda.com
triangle PQR is a right triangle with the right angle at R. the line RQ ...
brainly.in
In ABC AB = i plus j 2k and AC = 3i j 4k If D is midpoint of BC then ...
iqclasses.in
What is an Outlier? (teacher made) - Twinkl
twinkl.co.in
Electric charges +q and -q are placed at points A and B respectively ...
tardigrade.in
Circle in Maths, Formula, Definition, Properties, Objects
careerpower.in
ABCD is a parallelogram. E is the midpoint of CD. The line segment ...
brainly.in
A unit negative charge with mass M resides at the midpoint of the ...
tardigrade.in
In triangle ABC, AD is a median and E is a midpoint of median AD - Home ...
ask.learncbse.in
Related Searches
Midpoint in Geometry
Bisector Geometry
Midpoint Form
Midpoint Formula Geometry
Midpoint Equation
Midpoint Graph
Line Segment Midpoint
Segment Bisector Definition Geometry
Midpoint Geometry Example
Triangle Midpoint Theorem
Midsegment Triangle
Midpoint Diagram
Midpoint Geometry in Real Life
Angle Bisector Geometry
Geometric Midpoint
Midpoint Theorem Proof
Midpoint Def Geometry
Midpoint Linear
Symbol for Midpoint
Median Geometry
The Midpoint Method
Midpoint Examples
Midpoint Coordinates
Parallel Lines Definition Geometry
Common Midpoint Gather
Midpoint and Distance Formula Worksheet
Congruent Segments Definition Geometry
Real-World Midpoint
Midpoint Calculator Geometry
Congruence Definition Geometry
Midpoint Formula Coordinate Geometry
Three-Point Midpoint Formula
Chord Definition Geometry
Midpoint of a Polygon
Midpoint Square
Midpoint Bias
Midpoint of a Map
What Is a Point in Geometry
Midpoint Geometry Example Problems
Midpoint Geometry Kit
Recipe Midpoint
Quadrilateral Geometry
Midpoint Equation 3D
Midpoint in 3D Space
Midpoint Steps
Algebraic Geometry Examples
Triangle Centroid
Midpoint Formula Coordinate Plane
Parallelogram
Algebra Formulas
Search
×
Search
Loading...
No suggestions found