Find Your Style
Women
Men
Accessories
Search for clothing, brands, styles...
×
Women
Men
Accessories
Mmp 10 Rifle
Search
Loading...
No suggestions found
Buy HUL Pureit Vital Plus RO+UV+MP+Mineral | INR 1000 Off on Exchange ...
amazon.in
Bitcoin price today, BTC to INR live price, marketcap and chart | Suncrypto
suncrypto.in
Best whiskey bottles under INR 900 to add to your home bar
lifestyleasia.com
Mast Masala Oats | TATA Soulfull | INR 209/- only
soulfull.co.in
Qubikals Coworking Space MP Nagar at INR 650/day - Coworking Space for ...
myhq.in
HFCL Secures Landmark Deal from BSNL: Bags Purchase Order Worth INR 141 ...
hfcl.com
Top 10 Countries Where INR Has the Highest Value in 2025
currentaffairs.adda247.com
Women's T20 World Cup prize money: INR 19.6 crore windfall for ...
hindustantimes.com
WPL Auction: Deepti Sharma sold to UP Warriorz for INR 2.6 crore ...
newsd.in
USD INR Forward Rates - Investing.com India
in.investing.com
Your Partner for Home INR Monitoring Services and Supplies | mdINR®
mdinr.com
Astaxanthin Inhibits Matrix Metalloproteinase Expression by Suppressing ...
mdpi.com
Astaxanthin Inhibits Matrix Metalloproteinase Expression by Suppressing ...
mdpi.com
JCM | Special Issue : Role and Efficacy of Current Biomarkers in ...
mdpi.com
JCM | Special Issue : Role and Efficacy of Current Biomarkers in ...
mdpi.com
JCM | Special Issue : Role and Efficacy of Current Biomarkers in ...
mdpi.com
Astaxanthin Inhibits Matrix Metalloproteinase Expression by Suppressing ...
mdpi.com
JCM | Special Issue : Role and Efficacy of Current Biomarkers in ...
mdpi.com
Aster India reports strong revenue and EBITDA performance. Q1 FY25 ...
asterhospitals.in
Archived: Hijo de antiguo líder del cartel del Golfo admite movilizar ...
ice.gov
Astaxanthin Inhibits Matrix Metalloproteinase Expression by Suppressing ...
mdpi.com
Deficiency of MMP-10 Aggravates the Diseased Phenotype of Aged ...
mdpi.com
The ArmaLite AR-10 Rifle: The Saga of the First Modern Combat Rifle ...
amazon.in
UNIT AND DIRECT SUPPORT MAINTENANCE MANUAL (INCLUDING REPAIR PARTS AND ...
amazon.in
Top 10 Assault Rifles in the World, Know Complete List
adda247.com
IRCTC is inviting tourists for Bharat Darshan across MP, Gujarat and ...
timesofindia.indiatimes.com
Human Total MMP-1 ELISA Kit Elisa Kit KE00223 | Proteintech
ptglab.com
Matrix Metalloproteinases as Biomarkers of Atherosclerotic Plaque ...
mdpi.com
AR-15 Rifle Exploded Parts Diagram Poster: A Visual Guide To The WW-15 ...
au.shein.com
Importance of Metalloproteinase Enzyme Group in Selected Skeletal ...
mdpi.com
AR-15 Rifle Exploded Parts Diagram Poster: A Visual Guide To The WW-15 ...
au.shein.com
Hitachi Energy wins ~INR 160 cr order from MP Power Transmission ...
hitachienergy.com
Molecular Mechanisms and Metabolomics of Natural Polyphenols ...
mdpi.com
Google Pixel 10 256 GB, 12 GB RAM, Obsidian, Mobile Phone
reliancedigital.in
6-MP Tablet 10's Price, Uses, Side Effects, Composition - Apollo Pharmacy
apollopharmacy.in
ALDOSMIN 500MG TABLETS | Uses, Side Effects, Price | Apollo Pharmacy
apollopharmacy.in
STUPNEDOUS - Reviews, Photos - Garhwal Rifles Regimental War Memorial ...
tripadvisor.in
Buy HIKVISION 5 MP Indoor Dome CCTV Camera with inbuilt Audio Mic DS ...
amazon.in
Refractory Castable Manufacturer & Supplier in India | MMP Refratech
mmpgroup.co.in
100 रुपये का स्टांप पेपर: उपयोग और वैधता
housing.com
DSYW
dsywmp.gov.in
Glimp Mp 2mg Strip Of 10 Tablets: Uses, Side Effects, Price & Dosage ...
pharmeasy.in
Iconic temples to visit in Madhya Pradesh | Times of India Travel
timesofindia.indiatimes.com
MP में 4 सीनियर IPS ट्रांसफर: मनीष शंकर शर्मा बने ADG रेल बनाया और ए ...
swadeshnews.in
IRCTC is inviting tourists for Bharat Darshan across MP, Gujarat and ...
timesofindia.indiatimes.com
MP 4 Tablet 10's Price, Uses, Side Effects, Composition - Apollo Pharmacy
apollopharmacy.in
16th Military Police Brigade Place Above the Rest; Named Best Squad ...
army.mil
HPE Alletra Storage MP B10000 | HPE India
hpe.com
PM Modi should have thought of visiting Manipur much before: Cong MP ...
msn.com
Alsita MP 500 - Strip of 10 Tablet : Amazon.in: Health & Personal Care
amazon.in
Stalix M XR 100/1000 mg Tablet 10's Price, Uses, Side Effects ...
apollopharmacy.in
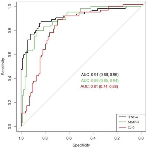
Prognostic Markers for Chorioamnionitis: IL-6, TNF-α, and MMP-8 in ...
mdpi.com
WE TECH 2014HS Toner Cartridge Compitable for Ricoh Aficio MP 2014 ...
amazon.in
Deficiency of MMP-10 Aggravates the Diseased Phenotype of Aged ...
mdpi.com
How Indian Rupee Stands Against Other Major Currencies
indiatimes.com
Biomolecules | Special Issue : The Next Generation of Proteomics for ...
mdpi.com
Kritika - Hindi Suppl For Class - 10 - 1056 : NCERT: Amazon.in: Books
amazon.in
MP August 10 Weather Update: एमपी में धीमी पड़ी मानसून की रफ्तार, मगर ...
swadeshnews.in
Contact Us
pension.mp.gov.in
Fdson Mp Strip Of 10 Tablets: Uses, Side Effects, Price & Dosage ...
pharmeasy.in
Postage Stamps:: Postage Stamps,Stamp issue calender 2014, Paper ...
postagestamps.gov.in
Refractory Castable Manufacturer & Supplier in India | MMP Refratech
mmpgroup.co.in
The Art of Choosing the Perfect Hunting Rifle : Unveiling the Top 10 ...
amazon.in
MSN Money
msn.com
Casagrand Aria | Mannivakkam to Mudichur Road, | Chennai Apartments ...
jllhomes.co.in
HOTEL ANANDHA BHAVAN, Pondicherry - Restaurant Reviews, Phone Number ...
tripadvisor.in
Influenza A/B + Covid-19/RSV Combo Antigen Test
trinicum.com
Buy Super Carry in Kerala - Maruti Suzuki Super Carry On Road Price in ...
indusmotor.com
INVESTITURE CEREMONY OF THE ASSAM RIFLES HELD AT RAJ BHAVAN | DIPR ...
ipr.nagaland.gov.in
Calendar | High Court of Madhya Pradesh
mphc.gov.in
LIRA Red & Gunmetal
cocoleni.com
Buy Mauser Rifles & Carbines Handbook Book Online at Low Prices in ...
amazon.in
GAPYEONG VIVID SPA PENSION (INDIVIDUAL HOT WATER SPA) (Gapyeong-gun ...
tripadvisor.in
Buy Wonder Pubg 3328-18 Gun Toy - Real Scale Sniper Gun Toy/ Rifle Toy ...
amazon.in
LIRA Red & Gunmetal
cocoleni.com
BAJA CALIFORNIA PENSION (Taean-gun) - Specialty Inn Reviews & Photos ...
tripadvisor.in
LIRA Red & Gunmetal
cocoleni.com
OnePlus 6T - OnePlus (India)
oneplus.in
Bosch 7 kg 5 Star Fully-Automatic Top Loading Washing Machine ...
amazon.in
Gurgaon-Sector 14 | AESL
aakash.ac.in
How Indian Rupee Stands Against Other Major Currencies
indiatimes.com
Itel A20 - Price in India, Specifications & Features | Mobile Phones
cashify.in
创建并优化你的AI知识库 | HelpLook官网
helplook.net
创建并优化你的AI知识库 | HelpLook官网
helplook.net
Monochrome Nature: MP 10 – WallPaperScissor
wallpaperscissor.com
National Rifle Association of IndiaNational Rifle Association of India
thenrai.in
National Rifle Association of IndiaNational Rifle Association of India
thenrai.in
Buy Evan Rifle Set of 2 Printed Cushion Covers - 40x40cm from Home ...
homecentre.in
Samsung Unveils Galaxy A05 with Signature Galaxy Design, 50 MP Camera ...
news.samsung.com
Buy Poetry Rifle Embroidered Cushion Cover - 40x40cm from Home Centre ...
homecentre.in
How Many 'Divisions' or 'Mandals' are there in Madhya Pradesh?
currentaffairs.adda247.com
Buy Evan Rifle Set of 2 Printed Cushion Covers - 40x40cm from Home ...
homecentre.in
Buy Poetry Rifle Embroidered Cushion Cover - 40x40cm from Home Centre ...
homecentre.in
Buy Evan Rifle Set of 2 Printed Cushion Covers - 40x40cm from Home ...
homecentre.in
Buy Evan Rifle Set of 2 Printed Cushion Covers - 40x40cm from Home ...
homecentre.in
Buy Poetry Rifle Embroidered Cushion Cover - 40x40cm from Home Centre ...
homecentre.in
Jammu & Kashmir: Indian Army's 4 Rashtriya Rifles Sets Up Computer Lab ...
freepressjournal.in
MP-10 Tourbillon Weight Energy System Sapphire 41.5 mm | Hublot
hublot.com
MP News: Panna Police Recover Two Looted Rifles, Attackers Still Elusive
freepressjournal.in
AK 203 Assault Rifle to produced in India by year-end with support of ...
zeenews.india.com
'Atmanirbhar' India's Quest for Army Rifles Underlines Confusion in ...
thewire.in
States and Capitals in India, List of 28 State & 8 UT 2023
currentaffairs.adda247.com
AIM Sports Claw Scope Mount for MP5/H&K Rifles | Customer Rated Free ...
opticsplanet.com
Hublot AE Official Website - Swiss Luxury Watches since 1980
hublot.com
M1 Pro Electric Massage Gun for Pain Relief – 6 Speed – Mildcares.com
mildcares.com
SANLIDA – Page 3 – INDIAN SLINGSHOT
indianslingshot.com
Manipur Violence: 1 Jawan Killed, 2 Assam Rifles Officials Injured In ...
freepressjournal.in
Mumbai Police Arrest 2 Brothers From Naxal-Affected Telangana For ...
freepressjournal.in
MP-10 Tourbillon Weight Energy System All Black 41.5 mm | Hublot
hublot.com
Blood thinning Diet: Foods to eat and foods to avoid | Sprint Medical
sprintmedical.in
Samsung Unveils Galaxy A05 with Signature Galaxy Design, 50 MP Camera ...
news.samsung.com
MP Board 10th Time Table 2025 OUT Check MPBSE 10th Exam Schedule
pw.live
MP Board Class 10, 12 Exam Time-Table For 2024-2025 Session Released ...
freepressjournal.in
Hublot ID Official Website - Swiss Luxury Watches since 1980
hublot.com
MMP Living Modern Wooden Dollhouse And 10 Furniture Pieces, With ...
flipkart.com
MP-10 Tourbillon Weight Energy System Sapphire 41.5 mm | Hublot
hublot.com
MP Board 10th Time Table 2026: Download MPBSE Class 10 Date Sheet PDF ...
jagranjosh.com
MP Board Class 9, 11 Time Tables 2025 Out : एमपी बोर्ड कक्षा 9, 11 ...
fastresult.in
International Trade Settlement in Indian Rupee (INR)
taxguru.in
MPBSE MP ONLINE Admit Card 2025 Released: Download MP Board Class 10th ...
collegesearch.in
Search
×
Search
Loading...
No suggestions found