Find Your Style
Women
Men
Accessories
Search for clothing, brands, styles...
×
Women
Men
Accessories
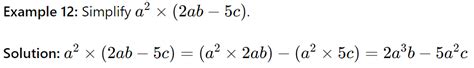
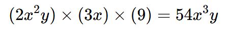
Monomial Examples
Search
Loading...
No suggestions found
A monomial and its standard form — lesson. Mathematics CBSE, Class 7.
yaclass.in
15 example of monomial in addition and subtraction - Brainly.in
brainly.in
Monomial | Definition, Examples & Practice
brightchamps.com
division of monomials word problem example (with a solution and final ...
brainly.in
algebraic expression in maths: Definition, Types and Importance | AESL
aakash.ac.in
Algebraic Expressions and Identities Chapter Notes - Mathematics (Maths ...
edurev.in
give an example of a monomial and binomial having degrees as82 and 99 ...
brainly.in
Algebraic Expressions and Identities Chapter Notes - Mathematics (Maths ...
edurev.in
Monomial | Definition, Examples & Practice
brightchamps.com
Algebraic Expressions and Identities Chapter Notes - Mathematics (Maths ...
edurev.in
Algebraic Expressions and Identities Chapter Notes - Mathematics (Maths ...
edurev.in
Monomial | Definition, Examples & Practice
brightchamps.com
Give One Example Each Of A Monomial And Trinomial Of Degree 10 - Brainly.in
brainly.in
A monomial and its standard form — lesson. Mathematics CBSE, Class 7.
yaclass.in
write one example of each polynomial using variable y -monomial ...
brainly.in
give an example of each monomial,binomial,and quadratic polynomial ...
brainly.in
[Answered] write an example of a monomial a binomial and a trinomial ...
brainly.in
A monomial and its standard form — lesson. Mathematics CBSE, Class 7.
yaclass.in
Algebraic Expressions and Identities Chapter Notes - Mathematics (Maths ...
edurev.in
Give One Example Each Of A Monomial And Trinomial Of Degree 10 - Brainly.in
brainly.in
Similar monomials — lesson. Mathematics CBSE, Class 7.
yaclass.in
Monomial | Definition, Examples & Practice
brightchamps.com
A monomial and its standard form — lesson. Mathematics CBSE, Class 7.
yaclass.in
Polynomials Class 10 Notes Maths Chapter 2 Free PDF
edurev.in
3. Give one example each of a binomial of degree 35, and of a monomial ...
brainly.in
Give one example of each of a binomial 36, and of a monomial of degree ...
brainly.in
Give one example each of a binomial of degree 35, and of a monomial of ...
ask.learncbse.in
Similar monomials — lesson. Mathematics CBSE, Class 7.
yaclass.in
Similar monomials — lesson. Mathematics CBSE, Class 7.
yaclass.in
give one example of binomial of degree 20 monomial degree of 25 ...
brainly.in
Give examples of the polynomial a. Cubic and binomial b. Cubic and ...
brainly.in
Give examples of the polynomial a. Cubic and binomial b. Cubic and ...
brainly.in
Similar monomials — lesson. Mathematics CBSE, Class 7.
yaclass.in
give one example each of a binomial of degree 35, and and a monomial of ...
brainly.in
give one example each of degree 35 and of a monomial of degree 100 ...
brainly.in
Similar monomials — lesson. Mathematics CBSE, Class 7.
yaclass.in
Similar monomials — lesson. Mathematics CBSE, Class 7.
yaclass.in
Similar monomials — lesson. Mathematics CBSE, Class 7.
yaclass.in
Algebraic Expressions and Identities Chapter Notes - Mathematics (Maths ...
edurev.in
Give an example each ofa binomial of degree 45 and monomial of degree ...
brainly.in
Algebraic Expressions and Identities Chapter Notes - Mathematics (Maths ...
edurev.in
Give examples of the polynomial a. Cubic and binomial b. Cubic and ...
brainly.in
(4) Give an example of a polynomial which is :-(a) Monomial of degree ...
brainly.in
Algebraic Expressions and Identities Chapter Notes - Mathematics (Maths ...
edurev.in
Similar monomials — lesson. Mathematics CBSE, Class 7.
yaclass.in
Divide the polynomial by a monomial... - Brainly.in
brainly.in
Prothrombin time, PT/INR Report Format | MS Word & Pdf
labsmartlis.com
Similar monomials — lesson. Mathematics CBSE, Class 7.
yaclass.in
the degree of monomial -3/8 p^3 q^10 r^4 is - Brainly.in
brainly.in
Give an example of a polynomial which is i)monomial of degree 1 ii ...
brainly.in
write a monomial of degree 40,a binomial of degree 50 and a binomial of ...
brainly.in
obtain the product of these monomial 7/9x^2, 15/7x^2y, -3/5 - Brainly.in
brainly.in
USD/INR Cracks Big: Falls 2% in 4 Days! | Investing.com India
in.investing.com
Give an example each ofa binomial of degree 45 and monomial of degree ...
brainly.in
SBI BANK CODE SBCHQ-GEN-PUB-IND-INR MEANING.SBI DIFFERENT TYPES OF ...
digitalhelper.in
Algebraic Expressions and Identities Chapter Notes - Mathematics (Maths ...
edurev.in
SOP for Nursing: How to Write sample SOP for MSc nursing?
yocket.com
Free Invoice Format | Download and Send Invoices Easily - Wise
wise.com
Free Invoice Format | Download and Send Invoices Easily - Wise
wise.com
Q.2 Classify the following polynomials as linear, quadratic and cubic ...
brainly.in
Algebraic Expressions and Identities Chapter Notes - Mathematics (Maths ...
edurev.in
Give an example each ofa binomial of degree 45 and monomial of degree ...
brainly.in
which of the following is the monomial - Brainly.in
brainly.in
Buy Current Trends on Monomial and Binomial Ideals Book Online at Low ...
amazon.in
Write two examples of each expression (a) Bionomial expression (b ...
brainly.in
1. Give an example of a monomial and a binomial having degrees as 82 ...
brainly.in
Exploring the Golden Ratio in Film and Photography
purposestudios.in
I want the answers pleaseeeeee - Brainly.in
brainly.in
International Law | Definition, History, Characteristics, & Key Examples
lloydlawcollege.edu.in
What are Individual Behaviour Plans? - Twinkl
twinkl.co.in
Ratio and Proportion - Definition, Examples and Formulas
sscadda.com
give one example each of a binomial of degree 35 and a monomial of ...
brainly.in
The Eye of the Beholder
theperfectvoice.in
Buy Monomial Ideals: 260 (Graduate Texts in Mathematics) Book Online at ...
amazon.in
[Answered] write an example of a monomial a binomial and a trinomial ...
brainly.in
Give one example each of a binomial of degree 35, and of a monomial of ...
brainly.in
give one example each of binomial of degree 35 and of monomial of ...
brainly.in
Multi-Currency Accounting – Create, Alter, and Delete
vedcrm.vedantsoft.in
Classify the following: X+1,3x+2x+1, 4x, 8x+5y, y 2y+3 feruet (Monomial ...
brainly.in
Stacks | Learn Everything about Stacks in DSA
talentbattle.in
Ratio and Proportion - Definition, Examples and Formulas
sscadda.com
Q4 Divide the monomial by the given monomial • -35x 2 by- 7x2 - Brainly.in
brainly.in
give one example each of binomial of degree 35 , and of a monomial of ...
brainly.in
Enantiomers: Definitions, Examples, Properties, Representation ...
collegesearch.in
give an example of a monomial of degree 16 B binomial of degree 27 and ...
brainly.in
pls can any one explain what is monomials binomial trinomial polynomial ...
brainly.in
What a p-Value Tells You about Statistical Data - India Dictionary
1investing.in
GST Export Invoice and Foreign Currency Billing | Sleek Bill
sleekbill.in
50+ Greatest Common Factor worksheets for 7th Class on Quizizz | Free ...
quizizz.com
Learn Normalization - 1NF, 2NF & 3NF : DBMS ~ I. T. Engg Portal
itportal.in
What is the Golden Ratio? - Twinkl
twinkl.co.in
GST Export Invoice with Foreign Currency Billing
billingsoftware.in
Give one example each of a binomial of degree 35, and of a monomial of ...
brainly.in
Class 8 - Division of Polynomials | Math Practice, Questions, Tests ...
in.edugain.com
Ratio and Proportion - Definition, Examples and Formulas
sscadda.com
Please help with in-hand salary calculation Deloitte India Deloitte ...
glassdoor.co.in
Codominance - Definition, Ratio, Blood Group Example and Facts
careerpower.in
Consulting Invoice Template for download
zoho.com
18 Professional CV Templates to Download (PDF/Word Format)
zety.com
Hospital Management Software | Billing Prints | Formats
softcure.in
Payout Ratio - Definition & Example | How is the Payout Ratio Calculated?
groww.in
what is a well-behaved wave function ? illustrate with diagrams ...
brainly.in
LRS Cash Receipt Book - 50 Sheets (Pack of 12) : Amazon.in: Office Products
amazon.in
Electrical Shop Bill Format Download | Free Invoice Template For ...
stockregister.in
Consonant Blends – How to Teach Consonant Blends - Wiki
twinkl.co.in
Sample Abstract for International Conference 1 - Title ...
studocu.com
Ratio and Proportion - Definition, Examples and Formulas
sscadda.com
₹5 crore to ₹50 crore: what it costs to buy a villa in Goa right now ...
cntraveller.in
Efficiency Ratio – Formula, Calculation & Examples
bajajfinservmarkets.in
Iconic House: Villa Savoye by Le Corbusier | Architectural Digest India ...
architecturaldigest.in
Reduce Reuse Recycle Poster - Posters - Twinkl
twinkl.co.in
Asexual Reproduction in Plants Diagram with Explanation - Biology Notes
biologynotes.in
27 of the Best Professional Bio Examples I've Ever Seen [+ Templates ...
appsmanager.in
2006 UK NHS Home Oxygen Order Form (HOOF) Fill Online, Printable ...
pdffiller.com
Tertiary Education Framework for Delivering Academic BIM Education
ibima.co.in
15 Uncanny Examples of the Golden Ratio in Nature - India Dictionary
1investing.in
10 Tips for Improving Your English Pronunciation: A Comprehensive Guide
englishhub.co.in
find the quadratic polynomial whose sum of zeros 5/8 and product of ...
brainly.in
Free, Easy-To-Use, Excel Templates: Billing & stocking template for a ...
xlant.in
Related Searches
Monomial
Parts of a Monomial
What Is Monomial
Linear Monomial
Polynomial
Monomial Standard Form
Monomial vs Polynomial
Monomial Factor
Example of Monomial Expression
Example of Monomial in Math
Monomials Equation
Common Monomial Factor
Degree of a Monomial Examples
Quadratic Monomial
Addition of Monomials
Multiplication of Monomials Worksheet
Monomial Algebra
Monomial X Polynomial
Monomial Structure
Monomial Binomial Trinomial
What Are Monomials
Multiplying Monomials Worksheet
Monomial Disease
Monomiels
Division of Monomials Example
Example of a Monomial Grade 7
Addition and Subtraction of Monomials
Example of Constant Monomial
Molonomial
Monomial Fractions
Monomial Fish
Mononomial
Cubic Monomial Examples
What Does a Monomial Look Like
Multiplying and Dividing Monomials Worksheet
Monomial Definition Poster
Non-Polynomial Examples
Divide Polynomials
Monnomals
Adding and Subtracting Monomials Worksheet
10 Example of Monomial Expression
Monomiols
Monomial Algebraic Expressions
Polynomial Function Examples
Trinomials Monomial
Zero and Negative Exponents Worksheet
Similar Monomials
Binomials and Polynomials
Algebraic Fractions Equations
Exponents and Powers Worksheet
Search
×
Search
Loading...
No suggestions found