Find Your Style
Women
Men
Accessories
Search for clothing, brands, styles...
×
Women
Men
Accessories
Mtf Alpha 10
Search
Loading...
No suggestions found
Tumor Necrosis Factor in Rheumatoid Arthritis | Encyclopedia MDPI
encyclopedia.pub
Individual Alpha Peak Frequency, an Important Biomarker for Live Z ...
mdpi.com
Buy Alpha 91 KTM Bombay Cycle in 26" Wheel Size with Heavy Integrated ...
amazon.in
Geberit Alpha35 actuator plate for dual flush | Geberit product catalogue
catalog.geberit.in
SCP Foundation GUARD Secret PVC Hardcard Special Logo Cosplay Access ...
au.shein.com
Margin Trading Facility (MTF): Steps to Avail MTF | Angel One
angelone.in
Product | Builtmart
buildmart.co.in
DIFFERENCE BETWEEN MALE AND FEMALE CONNECTORS
instrumxx.co.in
PRO-ALPHA-10A
skeaudiotech.com
Tube-Town Store - Alpha 10 kOhm log Stereo
tubetown.net
Pre-order VERYCOOL VCF-2063 16 MTF Alpha-9 Female | Ubuy India
ubuy.co.in
A neutron, a proton, an electron and an alpha particle enter a region ...
allen.in
Stromspeicher, die "alle Stückerl spielen"
suntastic.solar
ILCE-6700 | Камеры со сменной оптикой | Sony Средний Восток
sony-mea.com
Flattrade Support Portal | How to transfer funds from Trading account ...
flattrade.in
A ball is suspended by a thread of length l at the point O on an ...
allen.in
A particle of charge per unit mass `alpha` is released from origin with ...
allen.in
Spare parts for: Overview actuator plates for Alpha concealed cisterns ...
catalog.geberit.in
MTF Trading- Margin Trading Facility | PL Capital
plindia.com
40 Pair) Molex 18-24 AWG Gauge Pins 0.062" Male and Female Pins ...
amazon.in
Spare parts for: Actuator plates Alpha, for dual flush | Geberit ...
catalog.geberit.in
F distribution - Static process control - F table for alpha = .05 ...
studocu.com
Spare parts for: Overview actuator plates for Alpha concealed cisterns ...
catalog.geberit.in
Spare parts for: Overview actuator plates for Alpha concealed cisterns ...
catalog.geberit.in
Spare parts for: Overview actuator plates for Alpha concealed cisterns ...
catalog.geberit.in
Spare parts for: Alpha concealed cisterns 10 cm | Geberit product catalogue
catalog.geberit.in
Spare parts for: Alpha concealed cisterns 10 cm | Geberit product catalogue
catalog.geberit.in
PT Connecting | ASIS Moodle Hub
asismassage.moodlehub.com
The equation `alpha=(D-d)/((n-1)d)` is correctly matched for: (`alpha ...
allen.in
5α-Cholestane - ChemicalBook India
chemicalbook.in
Find the value of alpha square - beta square - Brainly.in
brainly.in
if 3 sin alpha -4 cos alpha=0, then find the values of tan alpha and ...
brainly.in
if alpha and beta are zeroes of the polynomial f(x)=2x^2-6x+4. find the ...
edurev.in
An iron bar (Young's modulus = 10^11 N/m^2, alpha = 10^-6/ ^ C) 1 m ...
brainly.in
if alpha, beta are zeros of the polynomial [tex]x { }^{2} - 7x + 10 ...
brainly.in
Alpha beta and gamma functions in maths sum of roots and product ...
brainly.in
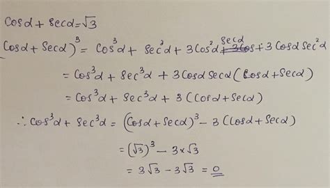
If cos alpha+sec alpha=√3, then the value of cos^3 alpha+sec^3 alpha is ...
brainly.in
if alpha and beta are the zeroes of the quadratic polynomial f{x}=2x^2 ...
brainly.in
The Alpha's Unexpected Mate: Rejected Luna Secret Baby Second Chance ...
amazon.in
The Webdeb- Best Digital Marketing Agency | Website Designing Company ...
thewebdeb.in
Related Searches
MTF Alpha 4
MTF Alpha 0
MTF Alpha 2
MTF Alpha 5
SCP MTF Alpha 2
MTF Alpha 8
Alpha 6 MTF
MTF Alpha 01
MTF Alpha 1 Roblõ
SCP MTF Alpha 1 Logo
MTF Alpha 11
MTF Alpha 9 Logo
MTF Alpha 1 Fan Art
MTF Alpha 1 Costume
MTF Alpha Team
MTF Alpha 4 Pony Express
MTF Alpha 1 MC Skin
MTF Alpha 7
MTF Alpha 1Gfx
MTF Alpha 1 Roblox GFX
MTF Alpha 1 Wallpaper
MTF Alpha 1 Outfit
MTF Alpha 9 Male
MTF Alpha 1 Cosplay
Alpha 9 Tf
MTF Alpha 9 Last Hope Cosplay
MTF PFP
MTF Alpha 1 Patch
MTF Resh 1
Alpha 1 MTF Meme
MTF Alpha 1 Drawings
MTF Alpha 1 Poster
MTF Alpah 1
Alpha 9 MTF Color
MTF MU13
Lambda 9 MTF
MTF Omega-9
MTF Alpha 1 the Right Red Hand
MTF Beta 2
SCP MTF Gear
MTF Alpha 1 Red Right Hand Card
MTF Unit Alpha 7
MTF Tau 1
MTF Aplha 1
MTF Alpha 1 Uniforms
MTF Omega 1 vs Alpha 1
Nova Skin MTF Alpha 1
MTF PNG
MTF Alpha 1 Red Right Hand Key Card
MTF Alpha 1 Logo Transparent
Search
×
Search
Loading...
No suggestions found