Find Your Style
Women
Men
Accessories
Search for clothing, brands, styles...
×
Women
Men
Accessories
Mutually Exclusive Table
Search
Loading...
No suggestions found
Convert the following Inclusive class interval into Exclusive class ...
ask.learncbse.in
Probability of Mutually Exclusive Events With Venn Diagrams Video ...
edurev.in
2. In the Venn diagram below, A, B and C are events and p, q, r and s ...
brainly.in
Vandana Interiors Modern Luxury Rectangular Dining Table Stone Top with ...
amazon.in
Granite Dining Table Designs 2023 - Decorpot Home Interiors
decorpot.com
Transform Dining Experience with Revive Home Exclusive Table Runner
revivehome.in
Buy COTTON CANDY- FASHION FLAVOUR Cotton- Table Runner 6 Seater ...
amazon.in
What are 'Mutually Exclusive events'? Give an example. - Brainly.in
brainly.in
Mutually exclusive events: Probability, Quantitative Aptitude, CA ...
quizlet.com
Axioms of Probability - Theorems of Axioms Probability
ece.poriyaan.in
Mutually Exclusive Events Worksheet With Answers - Fill Online ...
pdffiller.com
Mutually Exclusive Events: Concepts, Solved & Practice Problems - India ...
1investing.in
Mutually Exclusive Events: Concepts, Solved & Practice Problems - India ...
1investing.in
Priyanka Chopra says ambition and compassion 'aren't mutually exclusive ...
msn.com
Prepare a frequency distribution table by exclusive method from the ...
brainly.in
Prepare a frequency distribution table by exclusive method from the ...
brainly.in
How to Interpret a Correlation Coefficient r - India Dictionary
1investing.in
Let a b c are mutually exclusive and exhaustic events such that p(b)=3 ...
brainly.in
Aarsun Dining Tables with Royal Finish | Dining Room Furniture | 8 ...
amazon.in
Kuber Industries Polka Dots Print Dining Table Cover 6 Seater|Exclusive ...
amazon.in
👉 Mutually Exclusive and Exhaustive Events KS4 Worksheet
twinkl.co.in
Kuber Industries PVC Center Table cover|Exclusive Table Cloth|Table ...
amazon.in
Mutually Exclusive Events: Concepts, Solved & Practice Problems - India ...
1investing.in
Kuber Industries Rangoli Print Dining Table Cover 6 Seater|Exclusive ...
amazon.in
Kuber Industries 3D Checkered Print Dining Table Cover 6 Seater ...
amazon.in
Kuber Industries Exclusive Table Cloth|Cotton Center Table cover|Table ...
amazon.in
High-Speed Videogrammetry with Mutually Guided Target Tracking under ...
mdpi.com
Buy Kuber Industries Rangoli Print Dining Table Cover 6 Seater ...
amazon.in
Discover Timeless Elegance: Buy Elegant Dining Tables Online with COD ...
pchomedecor.com
Buy CASA-NEST Gold Embossed Exclusive Table Cover, Size 54X78, 4-6 ...
amazon.in
Kuber Industries Wooden Print Dining Table Cover 6 Seater|Exclusive ...
amazon.in
Mutually Exclusive : Spokeo: Amazon.in: Audible Books & Originals
amazon.in
Buy CASA-NEST Gold Embossed Exclusive Table Cover, Size 36x54, 4 Seater ...
amazon.in
Buy Kuber Industries Small Check Print Dining Table Cover 6 Seater ...
amazon.in
Kuber Industries Exclusive Table Cloth|PVC Center Table cover|Table ...
amazon.in
ExclusiveLane The Copper Frustum Table Planters & Pot for Living Room ...
amazon.in
Buy Kuber Industries Exclusive Table Cloth|Cotton Center Table cover ...
amazon.in
Table Top with Motivational Quotes 6x4 inch - BCG0180 – Wedtree
wedtree.com
Mutually Exclusive Events: Concepts, Solved & Practice Problems - India ...
1investing.in
Buy Kuber Industries Checkered Print Dining Table Cover 6 Seater ...
amazon.in
Arrange the following data in the form of an exclusive frequency ...
brainly.in
Buy Donic Persson Exclusive Table Tennis Ply Online - SCS Sports
scssports.in
Exclusive Table Sprinklers – SLM
slm.in
Buy Exclusive Table Decor for Distinctive Elegance – PC HOME DECOR
pchomedecor.com
Axioms of Probability - Theorems of Axioms Probability
ece.poriyaan.in
Show that the dual of the exclusive -OR is equal to its compliment ...
brainly.in
Donic Appelgren Exclusive Table Tennis Blade - Buy on Donic Appelgren ...
kheladda.in
Sec 16(2) of CGST Act has No Overriding Effect on Sec 16(4): Both ...
taxscan.in
Death saving throw - bg3.wiki
bg3.wiki
Construction of Strongly Mutually Distinct Sudoku Tables and Solid ...
studocu.com
बिहार शिक्षक भर्ती 2024 | Bihar Teacher Recruitment 2024 in Hindi
testbook.com
Prepare a frequency distribution by inclusive method taking class ...
ask.learncbse.in
Buy SAWNA HOMES Heavy Premium Design Chenille & Jacquard Fabric 4 ...
amazon.in
Donic Waldner Exclusive Table Tennis Blade – Sportswing.in
sportswing.in
Buy Donic Persson Exclusive Table Tennis Blade Online at Low Prices in ...
amazon.in
Exclusive: 'Table Tennis is one of the most intellectual sports' says ...
wionews.com
Right To Claim Maintenance Under Domestic Violence Act & Those Under ...
livelaw.in
XOR gate: Definitions, truth table, symbol, logical expression ...
allen.in
AR EXCLUSIVE Cotton 4 Seater Self Design Table Cover - Buy AR EXCLUSIVE ...
flipkart.com
Commonfloor.com founder Sumit Jain recalls how an ‘exclusive’ table got ...
economictimes.indiatimes.com
Probability if a and b are two mutually exclusive events such that p(a ...
brainly.in
Kuber Industries Floral Print Exclusive Table Cloth|PVC 4 Seater Center ...
amazon.in
EXCLUSIVE TABLE FORK (6 Pcs Set) – Bhalaria Metal Forming
bhalaria.in
DONIC Sonex Jp Gold Table Tennis Rubber, Colour - Red : Amazon.in ...
amazon.in
If the events have the same theoretical probability of happening, then ...
brainly.in
Exclusive: Table tennis GOAT Ma Long reveals no plans to retire yet ...
olympics.com
Seattle Restaurant Reviews - The Infatuation
theinfatuation.com
EXCLUSIVE TABLE SPOON (6 Pcs Set) – Bhalaria Metal Forming
bhalaria.in
Virtual Labs
de-iitr.vlabs.ac.in
explain xor gate with diagram and truth table - Brainly.in
brainly.in
Name : Keshav Dayal
taxguru.in
Create a truth table of XoR and XNORgate for 3- inputs. - Brainly.in
brainly.in
Buy Donic Persson Exclusive Table Tennis Blade Online at Low Prices in ...
amazon.in
XOR GATE truth table - Brainly.in
brainly.in
Buy Wings Star Floral Print Exclusive Table Cover|PVC 6 Seater Table ...
amazon.in
DONIC Sonex Jp Gold Table Tennis Rubber, Colour - Red : Amazon.in ...
amazon.in
D'orable - Affordable Designer Tables | Exclusive Table Deals Near You
dorable.in
TitBit Range – SLM
slm.in
Consider the figure given below In the above figure, it is shown that ...
tardigrade.in
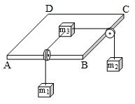
Three blocks are arranged on a horizontal table ABCD as shown in the ...
tardigrade.in
define exor and exnor? write their truth tables with two inputs ...
brainly.in
Latest exclusive designed office tables reception study tables chairs ...
olx.in
Buy Cread Craft Checks Print Exclusive Table Cloth|PVC 4 Seater Center ...
amazon.in
If A and B are mutually exclusive events with P(A) = 0.70, then P(B ...
brainly.in
Draw the truth table to represent a two input XOR gate - Brainly.in
brainly.in
Exclusive designed podium valet parking tables office tables chairs ...
olx.in
Buy POSHREYA Cotton Table Runner for 4 6 Seater Dining Table|Centre ...
amazon.in
List of hotels with an Executive Lounge
all.accor.com
Latest exclusive designed md tables office tables chairs direct from ...
olx.in
Prepare a frequency distribution table by exclusive method from the ...
brainly.in
Discover Top Summer Camp for kids in & around Gurugram
beebuddy.in
The maximum volume of a cone that can be carved out of a solid ...
brainly.in
If A and B are two mutually exclusive and exhaustive events and P (B ...
brainly.in
D'orable - Affordable Designer Tables | Exclusive Table Deals Near You
dorable.in
Chilli Flakes – SLM
slm.in
Jal Jeera Powder – SLM
slm.in
Kerala Nutmeg Powder ( Jaifal Powder ) – SLM
slm.in
Buy Kuber Industries Table Cover for 4 Seater | PVC Golden Lace Tea ...
amazon.in
15 Marble Dining Table Designs for Your Home
magicbricks.com
Virtual Labs
de-iitr.vlabs.ac.in
Digital Logic: ISRO CSE 2023 | Question: 10
gateoverflow.in
Mutually Aided Co-operative Societies (Telugu): Buy Mutually Aided Co ...
flipkart.com
Buy Kuber Industries Floral Print Exclusive Table Cloth|PVC 4 Seater ...
amazon.in
MATTEL Wwe Wrestling Exclusive Playset Tables Ladders Chairs - Wwe ...
flipkart.com
MATTEL Wwe Exclusive Tables Ladders And Chairs 2013 Figure Mark Henry ...
flipkart.com
Latches - Synchronous Sequential Logic - Digital Principles and ...
cse.poriyaan.in
4/2 feet exclusive designed counters reception tables office tables ...
olx.in
Amazon Brand - Solimo Cotton Blend Table Cover for Centre Table and 4 ...
amazon.in
Buy The Insect Book: A Popular Account of the Bees, Wasps, Ants ...
amazon.in
4 6015049101878495567 - Copy - Show the block diagram of hardware that ...
studocu.com
Buy DONIC Waldner Exclusive Concave Wooden Table Tennis Blade Online at ...
amazon.in
Tables thermodynamiques - PROPERTY TABLES AND CHARTS TABLE A– Saturated ...
studocu.com
Meat Masala – SLM
slm.in
Chat Masala – SLM
slm.in
Fendi Casa Launches Exclusive Coffee Tables – Grandeurr Homes
grandeurrhomes.in
consider the following two events that involve rolling a pair of dice A ...
brainly.in
Bhel Puri Masala – SLM
slm.in
Prateek Sadhu. Archives | Travel and Leisure Asia | India
travelandleisureasia.com
QUEEN MASSAGE SPA (2025) All You Need to Know BEFORE You Go (with ...
tripadvisor.in
If p q r are three mutually perpendicular vectors of the same magnitude ...
brainly.in
Related Searches
Mutually Exclusive Symbol
Mutually Exclusive Diagram
Mutually Exclusive Equation
Mutually Exclusive Events Worksheet
Not Mutually Exclusive Events Examples
Mutually Exclusive Events Venn Diagram
Mutually Exclusive Probability Worksheet
Red Exclusive Table
Mutually Exclusive Chart
Mutually Exclusive Two-Way Tables
Drawinh of Mutually Exclusive
Mutually Exclusive Vector
NIBRS Mutually Exclusive Chart
Exclusive or Logic Tbale
Not Mutually Exclusive Graph
Venn Diagram Independent and Mutually Exclusive
Example of Mutually Exclusive Data
Example of Mutually Exclusive Add Numbers
Events That Are Mutually Exclusive in a Chart
Mutually and Non Mutually Exclusive Examples Drawings
Complementary Events
Mutually Exclusive and Not Mutually Exclusive Worksheets Grade 5
Venn Diagram of Mutually Exclusve Events
Exclusive Union Graph
Mutually Excluysive Event Graph
Images of Cotermination in Mutually Exclusive Alternative Selection
Illustrating Mutually Exclusive Events Clip Art Letter
Mutually Exclusive Events Worksheet Answer Key
The Marr Table
Mutually Exclusive Events Probability Worksheet with Answers
Images of Cotermination in Mutually Exclusive Alternative Selection Unequal Lives
Exclusive or Table
Mutually Exclusive Binary Table
Mutually Exclusive Worksheet with Answers
Probability of Mutually Exclusive Events and Overlapping Events Worksheet
Exclusive Tables
Mutually Exclusive Data Chart
Mutually Exclusive Concept Worksheet
Mutually Exclusive Ven Diagram
Design Patterns for Mutually Exclusive Switches
Probability of Mutually Exclusive Maths Worksheet
Identify Whether the Events Are Mutually Exclusive or Independent Worksheet
Not Mutually Exclusive Equation
Search
×
Search
Loading...
No suggestions found