Find Your Style
Women
Men
Accessories
Search for clothing, brands, styles...
×
Women
Men
Accessories
Nbi Group
Search
Loading...
No suggestions found
Brigade Group's INR 660 Cr Hyderabad Land Deal
rera.news
INR Full Form: What is full form of INR?
bankersadda.com
ACME Group Garners Initial Capital For 300 Crore INR 'Connect' Fund ...
freepressjournal.in
IIM Sambalpur Placement 2023: Highest Package: INR 64.61 LPA, Average ...
zollege.in
IIM Calcutta Placement 2023: Highest Package: INR 1.15 CPA , Average ...
zollege.in
B2B Industrials Startup Magma's Order Book Crosses INR 500 Crore in FY26
aninews.in
DS Group Achieves Landmark Revenue of INR 10,000 Crore, F&B the Largest ...
aninews.in
SPJIMR Placement 2024: Highest Package: INR 81 LPA, Average Package ...
zollege.in
33000 euro to inr - Claim a ₹300 Bonus Today! Android IOS V- 1.79
tax.lsgkerala.gov.in
DS Group's Pulse Candy Becomes A INR 750 Crore Consumer Brand
aninews.in
Sanjay Ghodawat Group targets INR 7500 cr revenue by 2025
aninews.in
Tata Group Invests INR 950 Crore in Agratas for Battery Expansion
constructionworld.in
INCOR Group raises financing of INR 1550 Million from Investec Managed ...
aninews.in
GMR Group wins INR 2,470 Cr contract for UP's smart meter project ...
constructionworld.in
EPACK Prefab Launches INR 200 Crore PEB Unit In Tirupati, South India ...
epack.in
AP Cabinet approves 10 tourism projects worth INR 2,800 cr; Oberoi ...
travel.economictimes.indiatimes.com
BTC to INR Converter, Convert Bitcoin to INR Exchange 2022 - Exchanger24
exchanger24.org
RBI Allows Overseas Banks to Open INR Accounts
currentaffairs.adda247.com
INR (Indian Rupee) - Definition, What is INR (Indian Rupee), Advantages ...
cleartax.in
ANAROCK Revenue Up 36 per cent at INR 566 Cr in FY24, Surpasses INR 550 ...
aninews.in
INR extends winning streak
msn.com
Gifts under INR 5,000 – Nicobar
nicobar.com
BTC to INR Converter, Convert Bitcoin to INR Exchange 2022 - Exchanger24
exchanger24.org
Aavishkaar Capital and Rajiv Dadlani Group Lead INR 400 Million Pre ...
aninews.in
Chennai-Can Tho (Vietnam) 15k INR return on Air Asia! - The Airline Blog
airlineblog.in
usd to inr sbi rate: Latest News & Videos, Photos about usd to inr sbi ...
economictimes.indiatimes.com
usd to inr sbi rate: Latest News & Videos, Photos about usd to inr sbi ...
economictimes.indiatimes.com
Gaurs Group Invests INR 7 billion in Noida and Jaypee Greens
constructionworld.in
India Saves INR 35,000 Crore By Buying Discounted Oil from Russia » Car ...
carblogindia.com
Ugro Capital Crosses Inr 10000 crore aum milestone launches 10k ...
psuconnect.in
Ethnic Fashion Brand Libas Gains INR 150 Cr Maiden Funding from ICICI ...
shoplibas.com
Rasna acquires Jumpin for INR 350 crores | Marketing | Campaign India
campaignindia.in
JSW Group Firm Gets SEBI Nod for INR 4,000 Crore IPO
psuconnect.in
INR 57 lakhs cleared for TOPS athletes in five sports by Mission ...
thebridge.in
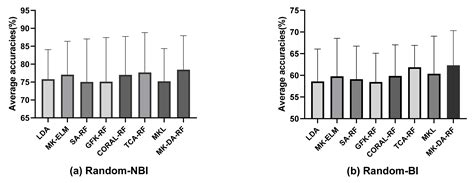
Distribution Adaptation and Classification Framework Based on Multiple ...
mdpi.com
NBI Industrial Fin Share Price Today - NBI Industrial Fin Stock Price ...
groww.in
People
ipr.res.in
People
ipr.res.in
People
ipr.res.in
Placement 2021 22, TKIET, Warana
tkietwarana.ac.in
Placement 2021 22, TKIET, Warana
tkietwarana.ac.in
Distribution Adaptation and Classification Framework Based on Multiple ...
mdpi.com
NBI | Olympus Innovations | Olympus Medical Systems India
olympusmedical.co.in
NBI | Olympus Innovations | Olympus Medical Systems India
olympusmedical.co.in
Power Supply
ipr.res.in
People
ipr.res.in
International Trade Settlement in Indian Rupee (INR)
taxguru.in
Journey of Rohan Shah: Founder of Revo International-TRUEREVO & Navin Group
werisebyliftingothers.in
India and Malaysia can now trade in Indian rupee
currentaffairs.adda247.com
Sharing Circles – SoulUp
soulup.in
Breaking down revenue streams of Reliance Industries
finshots.in
Nadbai (NBI) Railway Station: Station Code, Schedule & Train Enquiry ...
railyatri.in
India shining: Rupee inches closer to becoming international currency ...
timesnownews.com
CMA Course Fees: Exam & Certification Costs Explained
toplad.in
People
ipr.res.in
NBI | Olympus Innovations | Olympus Medical Systems India
olympusmedical.co.in
Agritech Innovation Recognised at Startup Mahakumbh: Aavishkaar Group ...
aninews.in
logo_1200_x_628_px.jpg?v=1720118200
artrise.in
Power Supply
ipr.res.in
Placement 2021 22, TKIET, Warana
tkietwarana.ac.in
Indian Premier League Official Website
iplt20-dev.epicon.in
Kerala Lottery Result Live, November 10, 2025: Check Full List Of ...
freepressjournal.in
Accounting for Management: Text and Cases, 3e by S.K. Bhattacharyya ...
vikaspublishing.com
Distribution Adaptation and Classification Framework Based on Multiple ...
mdpi.com
ICC announces Champions Trophy 2025 prize money: Check cash prize for ...
msn.com
MGT-6 Form Filing Process and Key Requirements
taxguru.in
Blood Group Types, Erythroblastosis foetalis, Antigens and Antibodies ...
aakash.ac.in
Power Supply
ipr.res.in
Distribution Adaptation and Classification Framework Based on Multiple ...
mdpi.com
Mandatory HSN/SAC Codes in GST Invoices from 01.04.2021
taxguru.in
How Indian Rupee Stands Against Other Major Currencies
indiatimes.com
Power Supply
ipr.res.in
Yoon_Suk-yeol
news4jax.com
PLI scheme: Road ahead for OEMs, suppliers is investment-centric ...
grantthornton.in
Placement 2021 22, TKIET, Warana
tkietwarana.ac.in
Power Supply
ipr.res.in
Auslieferungen der Volkswagen Group im ersten Halbjahr auf ...
volkswagen-group.com
Aviation Industry: TATA group company to operate Cochin Airport’s hotel ...
travel.economictimes.indiatimes.com
Indorient Financial Services Limited | Indorient
indorient.in
Placement 2021 22, TKIET, Warana
tkietwarana.ac.in
Indorient Financial Services Limited | Indorient
indorient.in
PARTH RESIDENCY in Jaipur, India
parthresidency.in
PARTH RESIDENCY in Jaipur
parthresidency.in
Indorient Financial Services Limited | Indorient
indorient.in
New age media is helping young brands leapfrog large established brands ...
community.nasscom.in
Indorient Financial Services Limited | Indorient
indorient.in
PARTH RESIDENCY in Jaipur
parthresidency.in
Size Chart – HolyHeads
holyheads.com
Dr. Naresh Bhat - Best Gastroenterologist In Bangalore | Aster CMI
asterhospitals.in
BSc Geography: Course Details, Fees, Eligibility, Syllabus, Admission ...
collegesearch.in
Electrical Shop Bill Format Download | Free Invoice Template For ...
stockregister.in
ABOUT US
leathertalks.com
Software Engineer Salary in India 2025
collegesearch.in
US trade deficit dips to $68.9 billion with exports up
clickondetroit.com
GGSIPU: Fees, Admission 2025, Courses, Cutoff, Ranking, Placement
zollege.in
Blue Chip Endeavors Office Photos
glassdoor.co.in
Daily Current Affairs 13th February 2023
bankersadda.com
Intellipro Group Office Photos
glassdoor.co.in
Sri Lanka and Russia in talks to use the rupee in foreign trade
currentaffairs.adda247.com
BigBasket Competitorsdf7a9973-a5d4-4bc0-b668-2b66da710158.JPG
investyadnya.in
Hurun Rich List 2024: Gautam Adani to Azim Premji, India's 10 wealthy ...
theweek.in
Distribution Adaptation and Classification Framework Based on Multiple ...
mdpi.com
Taxila Business School Placements 2025 | Highest & Average Package
taxila.in
Euro 2024 group stage draw: Complete list of groups, teams, schedule ...
sportingnews.com
Addison Group Office Photos
glassdoor.co.in
LH Hiranandani Hospital Kidney Care - A hospital with best-in-class ...
firstindia.co.in
Naval Group India
india.naval-group.com
Hurun India 2025: 10 billionaire Indians who entered the rich list this ...
economictimes.indiatimes.com
Indorient Financial Services Limited | Indorient
indorient.in
Indian Rupee Symbol (₹): Facts about the official Currency of India
indiatimes.com
Mitchell Marsh follows Riyan Parag - LSG opener's six smashes Curvv Car ...
sportingnews.com
Placement 2021 22, TKIET, Warana
tkietwarana.ac.in
Logo
atulcasting.in
Forgot Password - AGC ERP
agclms.in
Group Photograph of Four Indian Men - 1930's - Old Indian Photos
oldindianphotos.in
Contact-us – Permanent Magnets Ltd
pmlindia.com
Hurun India 2025: 10 billionaire Indians who entered the rich list this ...
economictimes.indiatimes.com
How Indian Rupee Stands Against Other Major Currencies
indiatimes.com
List Of Countries That Have Opened Special Rupee Vostro Accounts
indiatimes.com
Investment Banking Advisory Services | Mergers & Acquisitions, Debt ...
pinc.co.in
Related Searches
NBI Online
NBI Abroad
NBI Agent
Logo of NBI
NBI Police
NBI Ph
NBI Meaning
NBI Background
NBI Certification
NBI Africa
NBI Uniform
NBI Philippines
NBI Clearance
NBI Headquarters
NBI Officers
NBI Work
Nbg Home
NBI Certificate
NBI Computers
NBI Registration
Head of NBI
NBI City
Complexion NBI
What Is Complexion in NBI
NBI Malolos
NBI Badge
NBI Office Baguio
NBI Divisions
NBI Seal
Nbi3
NBI Local
NBI Cybercrime Division
NBI Cyber
NBI Clearance Hit
NBI Log In
NBI 7
NBI Canada
NBI New Office
NBI Agent Requirements
NBI Pampanga
NBI Introduction
National Business Initiative
National Bureau of Investigation
NBI Cybercrime Hotline
NBI Movie
NBI Cyber Security
Popular NBI
Nbv Music
NBI Operation
NBI Contact Number
Search
×
Search
Loading...
No suggestions found