Find Your Style
Women
Men
Accessories
Search for clothing, brands, styles...
×
Women
Men
Accessories
Ncert Maths Class 11 Chapter Names
Search
Loading...
No suggestions found
Latest NCERT Book for Class 11 Maths PDF for 2025-26 (Revised)
jagranjosh.com
NCERT Mathematics Grade 11 : Textbook – Books and You
booksandyou.in
NCERT Mathematics Grade 11 : Textbook – Books and You
booksandyou.in
Mathematics NCERT Textbook for class 11 and 12 combo of three books ...
amazon.in
Ch-01 Sets - NCERT MATHS Class 11 chapter 1. sets - NCERT Solutions for ...
studocu.com
Chapter 11 NCERT Exemplar Class 11: Conic Sections Short Answer ...
studocu.com
Mathematics NCERT Textbook For Class 11 And 12 Combo Of Three Books ...
flipkart.com
NCERT Solutions for Class 11 Maths chapter 1 - Sets
esaral.com
NCERT Exemplar Class 11 Maths Chapter 14 - Mathematical Reasoning
esaral.com
NCERT Exemplar Class 11 Maths Chapter 2 - eSaral
esaral.com
Ncert Math Class 11 + Ncert Solution And Ncert Exampler: Buy Ncert Math ...
flipkart.com
NCERT Class 11 Maths Chapter 1 Exercise 1.1 solutions - Sets
esaral.com
NCERT Class 11 maths Chapter 3 Miscellaneous Solutions - eSaral
esaral.com
Linear Inequalities, Class 11 Mathematics NCERT Solutions
evidyarthi.in
NCERT Maths Solutions Class 11th Chapter 3 Trigonometric Functions
manabadi.co.in
NCERT Solutions for Class 11 Maths chapter 1 - Sets
esaral.com
Linear Inequalities, Class 11 Mathematics NCERT Solutions
evidyarthi.in
NCERT Mathematics Grade 7 : Textbook – Books and You
booksandyou.in
Limits And Derivatives, Class 11 Mathematics NCERT Solutions
evidyarthi.in
Class 11th Maths NCERT Solutions for all Chapters
jagranjosh.com
Sequences And Series, Class 11 Mathematics NCERT Solutions
evidyarthi.in
NCERT Mathematics Grade 10 : Textbook – Books and You
booksandyou.in
Sequences And Series, Class 11 Mathematics NCERT Solutions
evidyarthi.in
Limits And Derivatives, Class 11 Mathematics NCERT Solutions
evidyarthi.in
Limits And Derivatives, Class 11 Mathematics NCERT Solutions
evidyarthi.in
Limits And Derivatives, Class 11 Mathematics NCERT Solutions
evidyarthi.in
Binomial Theorem, Class 11 Mathematics NCERT Solutions
evidyarthi.in
Limits And Derivatives, Class 11 Mathematics NCERT Solutions
evidyarthi.in
Limits And Derivatives, Class 11 Mathematics NCERT Solutions
evidyarthi.in
Sequences And Series, Class 11 Mathematics NCERT Solutions
evidyarthi.in
Sequences And Series, Class 11 Mathematics NCERT Solutions
evidyarthi.in
Binomial Theorem, Class 11 Mathematics NCERT Solutions
evidyarthi.in
Sequences And Series, Class 11 Mathematics NCERT Solutions
evidyarthi.in
Sequences And Series, Class 11 Mathematics NCERT Solutions
evidyarthi.in
Limits And Derivatives, Class 11 Mathematics NCERT Solutions
evidyarthi.in
Conic Sections, Class 11 Mathematics NCERT Solutions
evidyarthi.in
Binomial Theorem, Class 11 Mathematics NCERT Solutions
evidyarthi.in
Limits And Derivatives, Class 11 Mathematics NCERT Solutions
evidyarthi.in
Statistics, Class 11 Mathematics NCERT Solutions
evidyarthi.in
Straight Lines, Class 11 Mathematics NCERT Solutions
evidyarthi.in
NCERT Mathematics Grade 8 : Textbook – Books and You
booksandyou.in
Statistics, Class 11 Mathematics NCERT Solutions
evidyarthi.in
Binomial Theorem, Class 11 Mathematics NCERT Solutions
evidyarthi.in
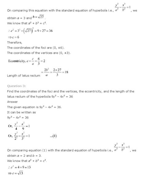
NCERT Class 11 Maths Chapter 15 Exercise 15.2 Solutions - eSaral
esaral.com
Limits And Derivatives, Class 11 Mathematics NCERT Solutions
evidyarthi.in
Conic Sections, Class 11 Mathematics NCERT Solutions
evidyarthi.in
NCERT Solutions for Class 11 Maths chapter 1 - Sets
esaral.com
NCERT CLASS-10 MATHEMATICS (English Medium) Buy Online
prakashsales.in
Conic Sections, Class 11 Mathematics NCERT Solutions
evidyarthi.in
Limits And Derivatives, Class 11 Mathematics NCERT Solutions
evidyarthi.in
Linear Inequalities, Class 11 Mathematics NCERT Solutions
evidyarthi.in
Statistics, Class 11 Mathematics NCERT Solutions
evidyarthi.in
Conic Sections, Class 11 Mathematics NCERT Solutions
evidyarthi.in
Limits And Derivatives, Class 11 Mathematics NCERT Solutions
evidyarthi.in
Limits And Derivatives, Class 11 Mathematics NCERT Solutions
evidyarthi.in
Sequences And Series, Class 11 Mathematics NCERT Solutions
evidyarthi.in
Conic Sections, Class 11 Mathematics NCERT Solutions
evidyarthi.in
Sequences And Series, Class 11 Mathematics NCERT Solutions
evidyarthi.in
11th - Mathematics Guide (Vol I & II)
donbooks.in
Sequences And Series, Class 11 Mathematics NCERT Solutions
evidyarthi.in
Conic Sections, Class 11 Mathematics NCERT Solutions
evidyarthi.in
Statistics, Class 11 Mathematics NCERT Solutions
evidyarthi.in
Limits And Derivatives, Class 11 Mathematics NCERT Solutions
evidyarthi.in
Conic Sections, Class 11 Mathematics NCERT Solutions
evidyarthi.in
Statistics, Class 11 Mathematics NCERT Solutions
evidyarthi.in
Sequences And Series, Class 11 Mathematics NCERT Solutions
evidyarthi.in
Statistics, Class 11 Mathematics NCERT Solutions
evidyarthi.in
Conic Sections, Class 11 Mathematics NCERT Solutions
evidyarthi.in
Sequences And Series, Class 11 Mathematics NCERT Solutions
evidyarthi.in
Sequences And Series, Class 11 Mathematics NCERT Solutions
evidyarthi.in
Straight Lines, Class 11 Mathematics NCERT Solutions
evidyarthi.in
Sequences And Series, Class 11 Mathematics NCERT Solutions
evidyarthi.in
Limits And Derivatives, Class 11 Mathematics NCERT Solutions
evidyarthi.in
Conic Sections, Class 11 Mathematics NCERT Solutions
evidyarthi.in
Limits And Derivatives, Class 11 Mathematics NCERT Solutions
evidyarthi.in
Linear Inequalities, Class 11 Mathematics NCERT Solutions
evidyarthi.in
Limits And Derivatives, Class 11 Mathematics NCERT Solutions
evidyarthi.in
Mathematics Textbook in English By NCERT For Class 10 2025-26 Edition ...
amazon.in
Sequences And Series, Class 11 Mathematics NCERT Solutions
evidyarthi.in
Straight Lines, Class 11 Mathematics NCERT Solutions
evidyarthi.in
Maths Class 11 Chapter 3 Question Answer
evidyarthi.in
Limits And Derivatives, Class 11 Mathematics NCERT Solutions
evidyarthi.in
Maths Class 11 Chapter 3 Question Answer
evidyarthi.in
Limits And Derivatives, Class 11 Mathematics NCERT Solutions
evidyarthi.in
NCERT CLASS-7 MATHEMATICS (English Medium) Buy Online
prakashsales.in
Limits And Derivatives, Class 11 Mathematics NCERT Solutions
evidyarthi.in
Maths Class 11 Chapter 3 Question Answer
evidyarthi.in
Maths Class 11 Chapter 3 Question Answer
evidyarthi.in
NCERT Class 11 Maths Chapter 6 Exercise 6.3 Solutions - eSaral
esaral.com
Conic Sections, Class 11 Mathematics NCERT Solutions
evidyarthi.in
Conic Sections, Class 11 Mathematics NCERT Solutions
evidyarthi.in
Principle Of Mathematical Induction, Class 11 Mathematics NCERT Solutions
evidyarthi.in
Limits And Derivatives, Class 11 Mathematics NCERT Solutions
evidyarthi.in
Straight Lines, Class 11 Mathematics NCERT Solutions
evidyarthi.in
Statistics, Class 11 Mathematics NCERT Solutions
evidyarthi.in
Maths Class 11 Chapter 3 Question Answer
evidyarthi.in
Principle Of Mathematical Induction, Class 11 Mathematics NCERT Solutions
evidyarthi.in
Straight Lines, Class 11 Mathematics NCERT Solutions
evidyarthi.in
NCERT CLASS-8 MATHEMATICS (English-Medium) Buy Online
prakashsales.in
Mathematics Textbook For Class XI (English, Paperback, Unknown): Buy ...
flipkart.com
Limits And Derivatives, Class 11 Mathematics NCERT Solutions
evidyarthi.in
NCERT Solutions for Class 11 Maths 2025-26 Complete Guide
jirs.ac.in
Conic Sections, Class 11 Mathematics NCERT Solutions
evidyarthi.in
Maths Class 11 Chapter 3 Question Answer
evidyarthi.in
Straight Lines, Class 11 Mathematics NCERT Solutions
evidyarthi.in
Binomial Theorem, Class 11 Mathematics NCERT Solutions
evidyarthi.in
Limits And Derivatives, Class 11 Mathematics NCERT Solutions
evidyarthi.in
Limits And Derivatives, Class 11 Mathematics NCERT Solutions
evidyarthi.in
Principle Of Mathematical Induction, Class 11 Mathematics NCERT Solutions
evidyarthi.in
Conic Sections, Class 11 Mathematics NCERT Solutions
evidyarthi.in
Statistics, Class 11 Mathematics NCERT Solutions
evidyarthi.in
Complex Numbers And Quadratic Equations, Class 11 Mathematics NCERT ...
evidyarthi.in
Limits And Derivatives, Class 11 Mathematics NCERT Solutions
evidyarthi.in
Limits And Derivatives, Class 11 Mathematics NCERT Solutions
evidyarthi.in
Maths Class 11 Chapter 3 Question Answer
evidyarthi.in
Statistics, Class 11 Mathematics NCERT Solutions
evidyarthi.in
Complex Numbers And Quadratic Equations, Class 11 Mathematics NCERT ...
evidyarthi.in
Conic Sections, Class 11 Mathematics NCERT Solutions
evidyarthi.in
Binomial Theorem, Class 11 Mathematics NCERT Solutions
evidyarthi.in
Limits And Derivatives, Class 11 Mathematics NCERT Solutions
evidyarthi.in
Related Searches
Class 10 Maths NCERT Book
Class 10 Maths All Chapters
Class 10 Maths NCERT Index
Class 11 Maths NCERT PDF
NCERT Exemplar Class 10 Maths
Maths Class 10th NCERT Book
Class 10 Maths Chapters List
Class 10 Maths Chapter Names
Class 10 Maths NCERT Solutions
Class 10 Maths All Chapters Name
Class 10 Maths Easy Chapters
Class 10 Chapter 7 Maths
Class 10 Maths Content
Class 10 Injdex Maths NCERT
Class 10 Maths Chapter 1
Maths Practical Class 10
Class 10 Maths CContents NCERT
NCERT STD 10 Maths Chapters
Class 10 Standard Maths NCERT
Formula Chart of Maths Class 10
Class 10 Maths Chapter 2
Class 10 Maths Syllabus Chapters All
NCERT Class 7 Maths Solution Book
Maths CH 13 Class 10
Class 10 Maths Chaptres
NCERT Class 10 Mathematics Basic
Class 10 Maths Chapter Wise Worksheet
Class 10 Maths Index Page
Class 10 Maths Trigonometry
Class 10 Maths Record Book NCERT
Maths Grade Class 10
AP Class 10 NCERT Solutions
Class 10 Cbsc Maths All Chapter
Class 10th Math NCERT Chapter Content
NCERT Class 10 Math SOL
NCERT Class 10 Activity Solutions
Class 10 Maths NCERT Solutions Coordinate Geometry
Match the Following Class 10 Maths
Class 10 Maths NCERT Book in 3D
Maths Diagrams Class 10
Class 10 Math Chapter 1 Test
Maths Teachers Forum for Class 10 NCERT
Class 10 Math Chapters in America
Maths Class 10 All CHP
Maths Questions for Class 10
Maths Class 10 Chapter 4 Solution
Class 10 Lamps Question NCERT in Maths
Mayhs NCERT Content Class 10
Hecatgon Refresher Maths Class 10
10 Percent Law Class 10 NCERT
Search
×
Search
Loading...
No suggestions found