Find Your Style
Women
Men
Accessories
Search for clothing, brands, styles...
×
Women
Men
Accessories
Nh3 Naoh
Search
Loading...
No suggestions found
Ammonolysis of alkyl halides followed by the treatment with NaOH ...
edurev.in
what happens when phenol react with NA,NH3,NAOH,ZN give the chemical ...
brainly.in
sodium nitrate on reduction with zn in presence of naoh produces nh3 ...
brainly.in
Sodium Nitrate + Aluminum hydroxide gives Sodium hydroxide+ Aluminum ...
brainly.in
In reaction of bromobenzene with liquid NH3 which intermediate is ...
brainly.in
Classify these compounds as acid, base, salt, or other. NaOH, KCl, NH3 ...
ask.learncbse.in
Group Analysis for cations - Explanation (i) NaOH test NH4Cl NaOH NaCl ...
studocu.com
Application Potential of Cyanide Hydratase from Exidia glandulosa: Free ...
mdpi.com
The NH3 evolved due to complete conversion of N from 1.12 g sample of ...
brainly.in
Ceric Ammonium Nitrate 100 gm : Amazon.in: Industrial & Scientific
amazon.in
Balance the following equtions: (NH4)2SO4+NaOH->Na2SO4+NH3+H2O Plzz ...
brainly.in
Nessler’s reagent is used in the test of - Tardigrade
tardigrade.in
Ammonium sulphate + Sodium hydroxide → Sodium sulphate + Ammonia ...
brainly.in
A sample of 0.50 g of an organic compound was treated according to ...
ask.learncbse.in
Balance the following equations:(i) Na + H2O → NaOH + H2 (ii) KNO3 → ...
brainly.in
Classify these compounds as acid, base, salt, or other. NaOH, KCl, NH3 ...
ask.learncbse.in
Na NO 3 + Zn + NaOH → NH3 + Na₂ ZnO₂+ H₂O Balance the equation by ...
brainly.in
Co-Crystallization Kinetics of 2:1 Benzoic Acid–Sodium Benzoate Co ...
mdpi.com
A sample of 0.50 g of an organic compound was treated according to ...
ask.learncbse.in
Classify these compounds as acid, base, salt, or other. NaOH, KCl, NH3 ...
ask.learncbse.in
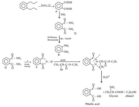
PASSAGE - 2Treatment of compound O with KMnO4/H+ gave P, which on ...
edurev.in
Write the structures of A, B and C in the following reactions : 0 A Br2 ...
brainly.in
fertilizer,Types of Fertilizer and Importance Role in Agriculture
krishibazaar.in
What is the hydroxide ion concentration in a solution of NH3 with a pOH ...
brainly.in
What happens when: - CBSE Class 11 Chemistry - Learn CBSE Forum
ask.learncbse.in
The following equilibrium constants are given:The equilibrium constant ...
edurev.in
PARAGRAPH 2 Treatment of compound O with KMnO 4 / H +gave P, which on ...
tardigrade.in
When sodium metal is dropped in liquid NH3 , it forms Na+ and gets ...
brainly.in
PARAGRAPH 2 Treatment of compound O with KMnO 4 / H +gave P, which on ...
tardigrade.in
PARAGRAPH 2 Treatment of compound O with KMnO 4 / H +gave P, which on ...
tardigrade.in
iupac of [Co(NH3)6]3+ - Brainly.in
brainly.in
Write the structures of A, B and C in the following reactions : 0 A Br2 ...
brainly.in
What volume of nh3 at stp is produced if 25g of n2 is reacted with an ...
brainly.in
Balance the following equations: -1. Al + H2SO4 → Al(SO4)3 + H22. NH3 ...
brainly.in
Write the structures of A, B and C in the following reactions : 0 A Br2 ...
brainly.in
Balance the equation NH3 + H2SO4 ———> (NH4)2SO4 + H2O - Brainly.in
brainly.in
PARAGRAPH 2 Treatment of compound O with KMnO 4 / H +gave P, which on ...
tardigrade.in
How is sodium hydrogen carbonate from a mixture of nh4cl and nh3 ...
brainly.in
Balance the Following equation Zn + Hcl → Zn Cl₂ + H₂ Na + H₂O -> NaOH ...
brainly.in
NaOH Chemical Name- Sodium Hydroxide Common, Compound Name, Formula
adda247.com
What is the role of li/liq.nh3 on any reaction? kindly explain the ...
scoop.eduncle.com
A nitrate salt on heating with Aluminium powder and NaOH gives which of ...
brainly.in
Balance the chemical Reaction -1)CaCo3 + H₂O + CO2------- Ca(HCO3)22 ...
brainly.in
Classify these compounds as acid, base, salt, or other. NaOH, KCl, NH3 ...
ask.learncbse.in
If phthalic acid is treated with NH3 and then it is first heated weakly ...
tardigrade.in
solid Ammonium Chloride and sodium hydroxide solution are heated ? what ...
brainly.in
balance the equation (NH4)2 So4 NaoH = NH3 H2O Na2So4 Please solve it ...
brainly.in
The set of products formed in the following reaction is: 1. naoh. br 2 ...
scoop.eduncle.com
Ammonium Hydroxide, ACS, 28.0-30.0% NH3 Basis, 100ml : Amazon.in ...
amazon.in
A molecule of ammonia has the formula nh3 draw . electron dot structure ...
brainly.in
0.2 g of an organic compound was analysed by Kjeldahl's method. Ammonia ...
brainly.in
The correct sequence of reagents for the following conversion will bea ...
edurev.in
Balanced chemical equation when sodium hydroxide is treated with acetic ...
brainly.in
Potassium metal reacts with water to give potassium hydroxide and ...
brainly.in
Write the balanced chemical equations for the following reactions and ...
ask.learncbse.in
Ammonium Hydroxide, ACS, 28.0-30.0% NH3 Basis, 500ml : Amazon.in ...
amazon.in
What is covalent bond? Explain the formation of Ammonia molecule by the ...
brainly.in
what is tha action of following reagents on ethyl bromide alcoholic NH3 ...
brainly.in
What is the action of the following reagents on ammonia:(a) Nessler's ...
brainly.in
Reaction of Benzaldehyde with formaldehyde in the presence of conc ...
tardigrade.in
The characteristics of the blue solution of sodium in liquid ammonia is/are
scoop.eduncle.com
Explain the geometry of cu(nh3)6 2+
scoop.eduncle.com
s block Elements Class 11 Important Questions with Answers
esaral.com
Class 10 Science Chapter 4 Previous Year Questions - Carbon and its ...
edurev.in
10 g sample of 'gas liquor' (NH4^+ salt) is boiled with NaOH and the ...
brainly.in
Propanamide on reaction with bromine in aqueous naoh gives: [1]; (a ...
brainly.in
Reaction of phenol with NaOH followed by heating with CO2 under high ...
tardigrade.in
Describe how sodium hydroxide is obtained from common salt? - CBSE ...
ask.learncbse.in
Reduction of 2-butyne with sodium in liquid ammonia gives predominantly
tardigrade.in
2. Balance the following chemical equations. (AS1) a) NaOH + H₂SO4 → ...
brainly.in
New Production Route of Magnesium Hydroxide and Related Environmental ...
mdpi.com
PARAGRAPH 2 Treatment of compound O with KMnO 4 / H +gave P, which on ...
tardigrade.in
Complete the following reactions:(a) Zn + NaOH - - Brainly.in
brainly.in
When sodium metal is dropped in liquid NH3 , it forms Na+ and gets ...
brainly.in
The set of products formed in the following reaction is: 1. naoh. br 2 ...
scoop.eduncle.com
SRL Ammonia Solution extrapure AR Grade, 30%, 500ml, CAS NO 1336-21-6 ...
amazon.in
Sewage Treatment Plant - Ammonia Water dosing pump Service Provider ...
reckontechno.co.in
The chemical reaction of phenol in the presence of CHCl3 and NaOH ...
tardigrade.in
When an alkali metal dissolves in liquid ammonia, die solution acquires ...
ask.learncbse.in
2. A student performed an experiment using zine granules and sodium ...
brainly.in
Ammonia Solution 0.91 (25%) 500ml HDPE Bottle (Ammonium Hydroxide ...
amazon.in
Draw the structure of [Co(NH3)6]3+ ion. Also show hybridization in this ...
brainly.in
Formation of Ammonia from its elements is a? - Brainly.in
brainly.in
Draw structures of geometrical isomers of [Fe(NH3)2(CN)4]–. - Wired Faculty
wiredfaculty.com
when 100ml of 2M NaOH is mixed with 200ml of 2M HCl solution, then tell ...
brainly.in
When sodium metal is dropped in liquid NH3 , it forms Na+ and gets ...
brainly.in
An organic compound `(A)` on treatment with acetic acid in the presence ...
allen.in
[Co(NH3)5NO2]Cl2 and [Co(NH3)5(ONO)Cl2] are related to each other as
tardigrade.in
Ammonia Recovery From Hydrolyzed Human Urine By Forward, 59% OFF
iiitl.ac.in
Draw cis- and trans-isomers of [Pt(NH3)2Cl2]. - Wired Faculty
wiredfaculty.com
Buy ComplianceSigns.com NFPA Rating Guide Label Decal with Symbol, 10x7 ...
ubuy.co.in
Benzoic Acid: Formula, Structure, Properties & Preparation - Chemistry ...
aakash.ac.in
How to balance sodium + water = sodium hydroxide +hydrogen - Brainly.in
brainly.in
When phenol is reacted with CHCl3 and NaOH followed by acidification ...
tardigrade.in
PASSAGE - 2Treatment of compound O with KMnO4/H+ gave P, which on ...
edurev.in
The Pharmabiotic Approach to Treat Hyperammonemia
mdpi.com
When carbon dioxide gas and ammonia gas is passed into a concentrated ...
brainly.in
write the balanced chemical equation of Aluminium oxide + Sodium ...
brainly.in
The ammonia prepared by treating ammonium sulphate with calcium ...
brainly.in
Benzaldehyde can be converted to benzyl alcohol in concentrated aqueous ...
tardigrade.in
[Co(NH3)Cl(en)2]2+ shows two geometrical isomers cis and trans. Which ...
tardigrade.in
dot structure of NH3 - Brainly.in
brainly.in
Reaction of aluminium with naoh - Brainly.in
brainly.in
The isomer(s) of [Co(NH3)4Cl2] that has/ have a Cl - Co — Cl angle of ...
tardigrade.in
Strong acids Weak acids Weak bases Strong bases HBr CH3COOH NH3 NaOH ...
brainly.in
How will you prepare sodium carbonate by Solvay Process? - CBSE Class ...
ask.learncbse.in
Sodium Hydroxide: Application, Chemical Formula, Preparation & Uses
allen.in
Promo Ammonia Solution 25% Pro Analis Merck 105432 2.5L / Larutan ...
tokopedia.com
Identify the chemical equation for the reaction of hydrochloric acid ...
brainly.in
The compound that provides a carboxylic acid, upon treatment with br2 ...
brainly.in
Class 10 ICSE Chemistry Mostlikely QuestionBank Chapter Ammonia
iqclasses.in
Experience the Magic of Sodium Hydroxide (Lye) - Shop Now on Artikamart
artikamart.com
Air Liquide paves the way for ammonia conversion into hydrogen with new ...
airliquide.com
Calculate the pH of 0.05M NaOH solution - Brainly.in
brainly.in
If CFSE for [Co(NH3 )6 ]3+ is 27000 cm-1, what is CFSE for [Cu(H2 O)4 ...
brainly.in
PARAGRAPH 2 Treatment of compound O with KMnO 4 / H +gave P, which on ...
tardigrade.in
write down geometrical isomerism of [Co(NH3)4Cl2]+. - Brainly.in
brainly.in
Evaluation of Water Ammonium Ion Test Kit and Its Feasibility for the ...
mdpi.com
The density of 2m aqueous solution of naoh is 1.28 - Brainly.in
brainly.in
PASSAGE - 2Treatment of compound O with KMnO4/H+ gave P, which on ...
edurev.in
Related Searches
NH4Cl NaOH
NH3 NaOH Reaction
AgNO3 NaOH
NaOH Plus NH3
Br2 NaOH
H3PO4 NaOH
NH3 NaOCl
Nh3cl NaOH
NH3 HCl
NH3 Et NaOH
NH4OH NaOH
Na3PO4
Naoh3
Ammonia and NaOH
H3BO3 NaOH
3N NaOH
NH4Cl NaOH Solid
NH3 AlCl3
NaClO NH3
NaOH CL
NaOH Dissociation
Bromobutyl with NH3 in NaOH
NH4NO3 and NaOH Reaction
Na NH3 Reaction Mechanism
Nacl+ NH3
NH3 Lewis Acid
Cl2 NaOH
KNO3 NH4Cl
H3nalcl3
NH4NO3 H2O
HCl NH3 Neutralization Reaction
NaNH2 Reaction Alkyne
NH3 and NaOH Reaction with Curly Arrows
Precipitate Ions
Copper Sulfate and Ammonia
NH3 NaOH in Water What Are the Products
Ethanoic Acid with Ammonia
HBR NH3 Reaction
Na NH3 CH3OH
Na3PO4 H20
Reactants of NH3
NaOH Reaction with Nh2
HNO3 and NH3 Reaction
Acetic Acid and Sodium Bicarbonate
Acetic Acid and Sodium Hydroxide Reaction
Copper Ammonia Complex
Nitric Acid and Sodium Hydroxide
Ammonia Molecule Structure
Ammonia Dissociation Equation
NH3 H2SO4
Search
×
Search
Loading...
No suggestions found