Find Your Style
Women
Men
Accessories
Search for clothing, brands, styles...
×
Women
Men
Accessories
Nintendo Power 001
Search
Loading...
No suggestions found
Nintendo 64 Power Supply AC Adapter Original Charger | Ubuy India
ubuy.co.in
Nintendo Entertainment System Action Set NES-001 Video Game Console Set
pawnamerica.com
Buy 3DS Charger, Power Adapter Replacement for Nintendo 3DS/ DSi/DSi XL ...
amazon.in
Buy Charger for Nintendo Switch and Switch Lite and Switch OLED ...
ubuy.co.in
Nintendo Entertainment System Action Set NES-001 Video Game Console Set
pawnamerica.com
Nintendo HDH-001 Switch Lite 32GB Portable Video Game Console - Gray (3134)
pawnamerica.com
What Makes the New Nintendo Switch Model Different: Battery Life, Model ...
in.ign.com
Nintendo HAC-001 Switch Handheld Touchscreen Video Game Console 4691
pawnamerica.com
Nintendo Switch OLED HEG-001 Video Game Console 6592
pawnamerica.com
Nintendo Switch (OLED Model) HEG-001 The Legend of | Ubuy India
ubuy.co.in
PowerA Wired Gaming Controller for Nintendo Switch, Black (Officially ...
amazon.in
Buy Super Nes Power Player'S Gd Book Online at Low Prices in India ...
amazon.in
Turtle Beach Announces Suite of Switch 2 Controllers, Cases, and Headphones
in.ign.com
adás Halálos statisztika nintendo wii model rvl 001 usa innováció ...
treadmillreviews.in
Nintendo Entertainment System Action Set NES-001 Video Game Console Set
pawnamerica.com
adás Halálos statisztika nintendo wii model rvl 001 usa innováció ...
treadmillreviews.in
Mean well nes-50-24 switching power supply – Aeliya Marine Tech®
aeliyamarinetech.com
Buy Nintendo Switch OLED Model HEG-001 Handheld Console - 64GB - White ...
ubuy.co.in
Buy PowerA Enhanced Wired Controller for Nintendo Switch - Super Mario ...
ubuy.co.in
Nintendo Entertainment System Action Set NES-001 Video Game Console Set
pawnamerica.com
Buy Super Nes Power Player'S Gd Book Online at Low Prices in India ...
amazon.in
Buy PowerA Fusion Pro Wireless Controller for Nintendo Switch - White ...
desertcart.in
Nintendo Entertainment System Action Set NES-001 Video Game Console Set
pawnamerica.com
Nintendo Entertainment System Action Set NES-001 Video Game Console Set
pawnamerica.com
Nintendo Entertainment System Action Set NES-001 Video Game Console Set
pawnamerica.com
Buy Playing with Power: Nintendo Nes Classics Book Online at Low Prices ...
amazon.in
भविष्य 2 और 3 पर वापस जाएं - ऑनलाइन खेलना
playminigames.in
Buy PDP Gaming LVL40 Airlite Stereo Headset for Nintendo Switch/Lite ...
desertcart.in
Power Rangers Co-op Beat 'Em Up Game Revealed, Rita's Rewind Coming ...
in.ign.com
Hp 608428-001 Dc Power Supply Series Ppp012L-e – Aeliya Marine Tech
aeliyamarinetech.com
Buy AmazonBasics Carrying Case for Nintendo - New 3DS XL, 3DS XL ...
amazon.in
Mikser za nes kafu RM-001 Bauer 12099 | Volim svoj dom
volimsvojdom.rs
Power-blade-166618
in.ign.com
HP Zbook 230W Slim Smart 4.5mm AC Adapter (6E6M1AA) - Shop HP.com India
hp.com
[ORIGINAL] Hp 584037-001 Laptop Charger - 65W Genuine AC Adapter
lapalfa.com
HP 3PAR Storeserv 7200/7400 764W Power Supply W/O Battery 683239-001 ...
xfurbish.com
Esab 487318-001 Power Board 94V – Aeliya Marine Tech
aeliyamarinetech.com
Abb Dsqc662 Power Distribution Unit 3Hac026254-001/11 – Aeliya Marine Tech
aeliyamarinetech.com
HPE 800W Flex Slot Universal Hot Plug Low Halogen Power Supply Kit ...
xfurbish.com
Circular Saw Blade - LP60M 001 - Power Tool Spares
powertoolspares.com
National Oilwell Varco 10055578-001 Power Supply Board – Aeliya Marine Tech
aeliyamarinetech.com
Mean Well Nes-200-24 Switching Power Supply Dc24V 8.8A – Aeliya Marine Tech
aeliyamarinetech.com
Paruht ATX Main 24 Pin Female to 6 Pin Male 6 Pin PCI-E PSU Power ...
amazon.in
Download wallpaper sea, weapon, navy, war material, military power, 001 ...
goodfon.com
Buy PowerA Fusion Pro Wireless Controller for Nintendo Switch - White ...
desertcart.in
Download wallpaper sea, weapon, navy, war material, military power, 001 ...
goodfon.com
Nintendo DC Super Hero Girls: Teen Power - Nintendo Switch spel | Kjell ...
kjell.com
DuoPower - fischer India
fischer.in
Buy Deal4GO ON/Off Eject SYNC Bind Power Button Switch RF Board w ...
desertcart.in
NSW Wireless Controller - GameCube Style (Purple): Amazon.in: Video Games
amazon.in
Item Drops Chart - ZeldaSpeedRuns
zeldaspeedruns.com
[3 Pack] USB Port Adapter for FireStick, AuviPal Micro USB to USB OTG ...
desertcart.in
BMR4668004/001 Flex Power Modules | Power Supplies - Board Mount | DigiKey
digikey.in
20 Defunct Gaming Magazines We Took For Granted
msn.com
DuoPower - fischer India
fischer.in
Buy Secret Lair Ultimate Bonus Card prepack Gag Gift. Perfect for Any ...
etsy.com
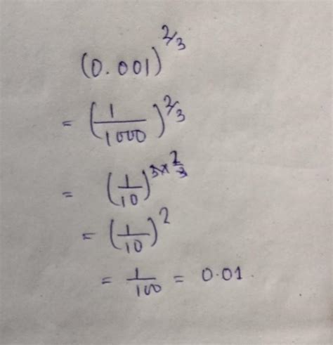
find the value of (0.001)power 2/3 - Brainly.in
brainly.in
Media | Dr KK Ramachandran
drkkr.in
Mikser za nes kafu Esperanza EKF001G | Volim svoj dom
volimsvojdom.rs
Mikser za nes kafu veliki LMNV-0352 Linea | Volim svoj dom
volimsvojdom.rs
Foam tapes for global industry applications | tesa®
tesa.com
Mikser za nes kafu Esperanza EKF001K | Volim svoj dom
volimsvojdom.rs
Plastic fixings - fischer India
fischer.in
Moto G Power Price, Battery Life, Performance, And Everything You Need ...
mobygeek.com
Mikser za nes kafu Esperanza EKF001N | Volim svoj dom
volimsvojdom.rs
Yuuji Horii - MyAnimeList.net
myanimelist.net
Related Searches
Nintendo NES 001
Nintendo Switch Hac-001
Nintendo SNES 001
Super Nintendo SNS-001
Original Nintendo 001
Nintendo UTL-001
Nintendo Switch Hdh 001
Nintendo SNES Console
Nintendo Super System
Mod Hac 001 Nintendo Switch
Nintendo Entertainment System
First Nintendo Console
NES Model No. 001
Nintendo Entertainment System Logo
Super Nintendo Accessories
Nintendo Entertainment System Controller
Nintendo Switch OLED Heg 001
Nintendo NES 001 PPU
NES Game System
Nintendo Nese 001 Fra Console
Nintendo NES Case
Nintendo DS Dark Blue NTR-001 2004 Handheld Console Retro
Nintendo 64
Nintendo Switch Hac 001 01
Nintendo 00
Nintendo Entertainment System Box
Nintendo Switch Hdh 001 Kaina
Nintendo Switch Hac 001 Motherboard
Nintendo Game Set
Nintendo NES Action Set
Nintendo Switch 主機
Nintendo Consol 00s
Mario Nintendo
Nintendo NES Console Games
Nintendo 501 TV
Nintendo 1
Nintendo Entertainment System Nese 001 GBR
Original Nintendo
Nintendo Switch Heg 001
Nintendo Switch Model Hac 001
New Nintendo Console
First Nintendo Model
Nintendo NES
Nintendo SNES
Original Nintendo System
Nintendo NES-001
Nintendo Consoles
SNES
Nintendo NES 001 Parts
Nintendo Wii
Search
×
Search
Loading...
No suggestions found