Find Your Style
Women
Men
Accessories
Search for clothing, brands, styles...
×
Women
Men
Accessories
Nizoral Scratch Relief
Search
Loading...
No suggestions found
Ascott donates INR 15 lakh to Tamil Nadu CM’s Covid relief fund, ET ...
travel.economictimes.indiatimes.com
NIZRAL 2%W/W CREAM 30G Price, Uses, Side Effects, Composition - Apollo ...
apollopharmacy.in
Buy Nizoral Anti-dandruff Shampoo 60ml, clinically proven for dandruff ...
desertcart.in
Nizoral Daily Prevent Shampoo 200ml - Dandruff India | Ubuy
ubuy.co.in
Buy NizoralAnti-Dandruff Shampoo 60Ml Online at desertcartINDIA
desertcart.in
Buy Nizoral Anti-Dandruff Daily Prevent Shampoo 200ml -Instant Dandruff ...
desertcart.in
Nizoral Basic Anti-Dandruff Shampoo 7 fl oz India | Ubuy
ubuy.co.in
Buy Nizoral2-IN-1 Anti-Dandruff Shampoo & Conditioner with 1% ...
desertcart.in
Nizoral to Combat Acne : Dermatologist-Approved | Clinikally
clinikally.com
Diagnosis and Management of Acute Coronary Syndrome: What is New and ...
mdpi.com
Nizoral Anti-Dandruff Shampoo, 7 Fl Oz (Pack of 2)- Buy Online in India ...
desertcart.in
Buy Nizoral Anti-Dandruff Shampoo, 7 Fl Oz (Pack of 2) Online at ...
desertcart.in
Tricodruf Lotion 60 gm Price, Uses, Side Effects, Composition - Apollo ...
apollopharmacy.in
Scarmd Medical Grade Silicone Scar Gel Treatment Keloid Bump Removal ...
desertcart.in
Nidos AF Body Wash 100 ml Price, Uses, Side Effects, Composition ...
apollopharmacy.in
Anti Dandruff Oil
haircareindia.in
Buy Ringworm Cream - Treats Stubborn Ringworm Infections, Fights ...
ubuy.co.in
Crislan Seborrheic Dermatitis Cream, Ketoconazole Cream for India | Ubuy
ubuy.co.in
Antifungal Cream Ketoconazole Cream Seborrheic Dermatitis Ringworm ...
desertcart.in
7 Best Anti Dandruff Shampoo for Men
mensxp.com
Five Paws Chlorhexidine And Ketoconazole Antiseptic And Antifungal Skin ...
desertcart.in
Volume 6 Issue 1
medpulse.in
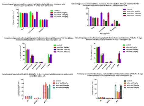
Evaluation of antifertility potential of ketoconazole and assessment of ...
ajpp.in
Fungicide Lotion 90 ml | Uses, Side Effects, Price | Apollo Pharmacy
apollopharmacy.in
Ketoconazole and Zinc Pyrithione Soap 75g - Medicated Soap for Anti ...
mystore.in
Niztal 2 % Shampoo (50): Uses, Side Effects, Price & Dosage | PharmEasy
pharmeasy.in
Keto-B Cream 10 gm Price, Uses, Side Effects, Composition - Apollo Pharmacy
apollopharmacy.in
Hair Care India
haircareindia.in
Buy Antibacterial & Antifungal Shampoo for Dogs & Cats – Contains ...
ubuy.co.in
Buy Antibacterial & Antifungal Shampoo for Dogs & Cats – Contains ...
ubuy.co.in
Ketaocean Shampoo 100ml - Cureka - Online Health Care Products Shop
cureka.com
Saldan Shampoo 100ml Price, Uses, Side Effects, Composition - Apollo ...
apollopharmacy.in
Ketoconazole Intermediates
ganeshremedies.com
Kevent Soap 75 gm Price, Uses, Side Effects, Composition - Apollo Pharmacy
apollopharmacy.in
Buy KETONOL (KETOCONAZOLE 2 % ) ANTI DANDRUFF SHAMPOO (100ML) Online ...
pharmeasy.in
Buy Ketomac 2% Dandruff Treatment Shampoo, 110 ml | 19 Minutes Delivery ...
apollopharmacy.in
Scratch Relief Body Massager, Natural Wood Handle, Retractable ...
ca.shein.com
Saldan Shampoo, 100 ml Price, Uses, Side Effects, Composition - Apollo ...
apollopharmacy.in
VetWELL Ketoconazole Chlorhexidine Shampoo for Dogs | Ubuy India
ubuy.co.in
Shop - SDF INDIA
sdfindia.co.in
Buy VetWELL Ketoconazole Chlorhexidine Shampoo for Dogs & Cats ...
ubuy.co.in
Buy KETONOL (KETOCONAZOLE 2 % ) ANTI DANDRUFF SHAMPOO (100ML) Online ...
pharmeasy.in
Evaluation of antifertility potential of ketoconazole and assessment of ...
ajpp.in
Evaluation of antifertility potential of ketoconazole and assessment of ...
ajpp.in
C-Ketocare Lotion 100ml Price, Uses, Side Effects, Composition - Apollo ...
apollopharmacy.in
Evaluation of antifertility potential of ketoconazole and assessment of ...
ajpp.in
Evaluation of antifertility potential of ketoconazole and assessment of ...
ajpp.in
India's Leading Online Shopping Store in Mumbai for Top International ...
ubuy.co.in
Anti Fungal - Ketoconazole Supplier Cream 2% W W, 1x1 Tube 100% Export ...
emedsmart.in
Kt 5 Derm Cream 15Gm Price, Uses, Side Effects, Composition - Apollo ...
apollopharmacy.in
Ketostar Anti-dandruff Lotion, 50 ml Price, Uses, Side Effects ...
apollopharmacy.in
Hair Sampoo - Halo Shampoo Retailer from Madurai
srivelapharmacy.in
Buy LUPIZOL ZS ANTI DANDRUFF BOTTLE OF 100ML SHAMPOO Online & Get Upto ...
pharmeasy.in
Nizoral 1 % Shampoo 50 Ml: Uses, Side Effects, Price & Substitutes
truemeds.in
Cipla Tugain Essentials 2% Ketoconazole Anti-Dandruff Shampoo For Itchy ...
flipkart.com
Pharma Vends | Your Growth is our Priority
pharmavends.com
Buy KetoWELL Chlorhexidine & Ketoconazole Medicated Spray for Dogs ...
desertcart.in
Buy Visine A.C. Itchy Eye Relief Eye Drops with Zinc Sulfate ...
ubuy.co.in
Revilus KZ Lotion 100 ml Price, Uses, Side Effects, Composition ...
apollopharmacy.in
Evaluation of antifertility potential of ketoconazole and assessment of ...
ajpp.in
Buy , 8, 8 8 8 8 8 8 8 8 8 8 . Online India | Ubuy
ubuy.co.in
Evaluation of antifertility potential of ketoconazole and assessment of ...
ajpp.in
Ketoconazole Shampoo - PHARMIKA INDIA PVT LTD.
pharmika.co.in
Evaluation of antifertility potential of ketoconazole and assessment of ...
ajpp.in
Buy Muscle RUB - Extra Strength Pain Relieving Gel - 1.5 oz Tube - 3 ...
ubuy.co.in
Kevon Zip Lotion 75 ml Price, Uses, Side Effects, Composition - Apollo ...
apollopharmacy.in
Clocip KZ Soap 75 gm Price, Uses, Side Effects, Composition - Apollo ...
apollopharmacy.in
KZ Lotion 50 ml | Uses, Side Effects, Price | Apollo Pharmacy
apollopharmacy.in
Equate Allergy Relief Tablets With Diphenhydramine Hcl 25mg ...
desertcart.in
Corneal Abrasion: Scratched Eye Symptoms & Treatment
allaboutvision.com
Ocona Z Solution 50 ml Price, Uses, Side Effects, Composition - Apollo ...
apollopharmacy.in
Salisia KT Shampoo, 75 ml Price, Uses, Side Effects, Composition ...
apollopharmacy.in
Ketoconazole Cream - PHARMIKA INDIA PVT LTD.
pharmika.co.in
Kt 5 Derm Cream 15Gm Price, Uses, Side Effects, Composition - Apollo ...
apollopharmacy.in
Evaluation of antifertility potential of ketoconazole and assessment of ...
ajpp.in
Buy REVILUS KZ Online & Get Upto 60% OFF at PharmEasy
pharmeasy.in
Arcolane 2% Scalp Solution 60 ml Price, Uses, Side Effects, Composition ...
apollopharmacy.in
Hand Sanitizer & Luliconazole 1% W/w Soap Manufacturer from Zirakpur
pcdfranchisee.co.in
Then And Now: The Rebirth Of Bucha
rferl.org
Kt 5 Derm Cream 15Gm Price, Uses, Side Effects, Composition - Apollo ...
apollopharmacy.in
Evaluation of antifertility potential of ketoconazole and assessment of ...
ajpp.in
Buy Ketonol Online & Get Upto 60% OFF at PharmEasy
pharmeasy.in
Nizoral to Combat Acne : Dermatologist-Approved | Clinikally
clinikally.com
Buy KETOCONAZOLE SHAMPOO BP 2% 100ML LIVEASY WELLNESS Online & Get Upto ...
pharmeasy.in
Danfree Shampoo, 100 ml Price, Uses, Side Effects, Composition - Apollo ...
apollopharmacy.in
8X-KT Shampoo 60 ml Price, Uses, Side Effects, Composition - Apollo ...
apollopharmacy.in
KT 5 Derm Cream | Uses, Side Effects, Price | Apollo Pharmacy
apollopharmacy.in
Buy Arthritis Pain Relief Cream, Amish Origins Maximum Strength Deep ...
ubuy.co.in
Buy Ketokem Soap 75gm Online at Flat 15% OFF | PharmEasy
pharmeasy.in
Kevon 2% Soap 50G Price, Uses, Side Effects, Composition - Apollo Pharmacy
apollopharmacy.in
Evaluation of antifertility potential of ketoconazole and assessment of ...
ajpp.in
Corneal Abrasion: Scratched Eye Symptoms & Treatment
allaboutvision.com
Nizoral Shampoo 200Ml (dandruff remove) - Price in India, Buy Nizoral ...
flipkart.com
Evaluation of antifertility potential of ketoconazole and assessment of ...
ajpp.in
KETOCORE-200 Tablets Biocore Pharmaceuticals
company.pharmahopers.com
Ketaocean Shampoo 100ml - Cureka - Online Health Care Products Shop
cureka.com
Wincold – Health Meets Care
healthmeetscare.com
Nizoral Anti Dandruff Shampoo - Price in India, Buy Nizoral Anti ...
flipkart.com
Evaluation of antifertility potential of ketoconazole and assessment of ...
ajpp.in
Safety Goggles - China Cuff Black Safety Goggles Trader - Wholesaler ...
burhanienterprise.in
Nizoral Anti Dandruff Shampoo - Price in India, Buy Nizoral Anti ...
flipkart.com
Novale Scalp Lotion | Uses, Side Effects, Price | Apollo Pharmacy
apollopharmacy.in
Novale Soap Bar, 75 gm Price, Uses, Side Effects, Composition - Apollo ...
apollopharmacy.in
Numoist Moisturizing Lotion 100 ml Online in India - Cureka
cureka.com
Corneal Abrasion: Scratched Eye Symptoms & Treatment
allaboutvision.com
Home Remedies for Constipation: 16 Ways to for Quick Relief
truemeds.in
Derozole Max - Ketoconazole,Biotine,D-Panthenol & Aloe Vera Extract ...
pharmavends.com
Waxpol Scratch Remover (For Use on Mild Scratches on All Colours) 150 g ...
amazon.in
Acropan DSR - Pantaprazole Sodium (EC) and Domperidone (SR) Capsules IP ...
pharmavends.com
Keto AZ Lotion, 75 ml Price, Uses, Side Effects, Composition - Apollo ...
apollopharmacy.in
HUL wins the CSR Shining Star Award in COVID category | Unilever
hul.co.in
Karam ES003 Safety Goggles with with IR5 Lens for Gas Welding | Scratch ...
amazon.in
Buy REVILUS KZ ANTI-DANDRUFF SHAMPOO WITH KETOCONAZOLE & ZPT TREATS ...
pharmeasy.in
Buy Smiles PRID Drawing Salve, Natural Homeopathic Relief of Topical ...
ubuy.co.in
Hair Shampoo - Ketoconazol Zpto Shampoo Exporter from Surat
shreejiimpex.co.in
Buy Advent Calendars 2021 Fidget Advent Calendar, 24DAYS Christmas ...
ubuy.co.in
Ketafung-Z Plus Lotion | Uses, Side Effects, Price | Apollo Pharmacy
apollopharmacy.in
Revilus KZ Lotion 100 ml Price, Uses, Side Effects, Composition ...
apollopharmacy.in
JAN AUSHADHI ZEELAB Ketoconazole Shampoo 2% W/V 100 ml Bottle – Jan ...
janaushadhivitran.com
Kt 5 Derm Cream 15Gm Price, Uses, Side Effects, Composition - Apollo ...
apollopharmacy.in
Related Searches
Nizoral Shampoo for Psoriasis
Nizoral Scalp Itch Relief
Nizoral Relief Cream
Nizoral Scalp Itch Relief Liquid
Nizoral Ingredients
Nizoral Anti-Dandruff
Nizoral Scalp Itch Relief Ingredient
Nizoral Treatment Pack
Nizoral Yellow
Nizol Psorasis
Nizoral
Nizoral 2% Shampoo
Nizoral Shampoo Barcode
Nizoral for Dry Scalp
Nizoral Psoriasis Cream
Nizoral for Acne
Nizoral Hair Growth
Nizoral Face Wash
Nizoral Treat
Fungal Acne Nizoral
Nizoral Salep
Nizoral 1 %
Nizoral for Cream for Skin
Nizoral Before and After Acne
Nizoral Scalp Removal
Nizoral Daily Prevent Shampoo
Nizolral Psoriasis
Nizoral Shampoo 60Ml
Nizoral Rash Cream
Nizoral for Eye Bags
Nizoral Scalp Scrub
Search
×
Search
Loading...
No suggestions found