Find Your Style
Women
Men
Accessories
Search for clothing, brands, styles...
×
Women
Men
Accessories
Normalize Matrix Calculation
Search
Loading...
No suggestions found
GATE 2023 Normalization, Formula, How GATE Score Calculated?
adda247.com
CUET UG Scorecard - Normalization and Key components
collegesearch.in
Observations on the Computation of Eigenvalue and Eigenvector Jacobians
mdpi.com
Normalization Process in RRB Exams - Calculation Formula
scoop.eduncle.com
UNIT 1 - MATRICES (12) - Orthogonal Transformation Normalized Modal ...
studocu.com
Determinants Formula, Definition, Calculation, Properties, Rules, Notes
pw.live
Use these methods to normalize the following group of data ...
brainly.in
Experimental Validation of Normalized Uniform Load Surface Curvature ...
mdpi.com
Software by Andrey A. Shabalin
shabal.in
Ques 2 Use these methods to normalize the following group of data:200 ...
brainly.in
Differences between the L1-norm and the L2-norm (Least Absolute ...
chioka.in
Let A and B be real invertible matrices such that AB = –BA. Then
scoop.eduncle.com
Find the value of normalization constant a for the wave function, )= axe\"?
scoop.eduncle.com
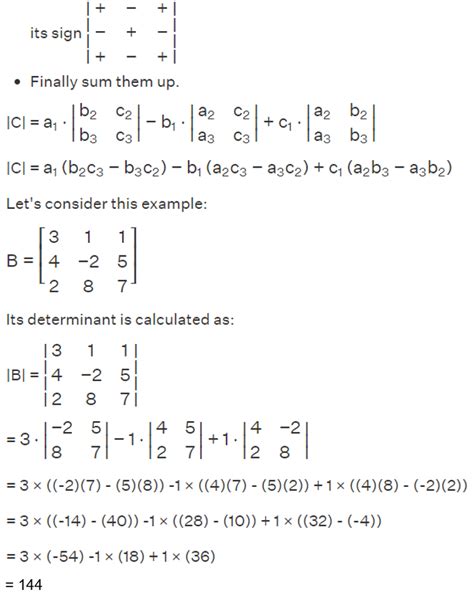
Determinants Formula, Definition, Calculation, Properties, Rules, Notes
pw.live
Experimental Validation of Normalized Uniform Load Surface Curvature ...
mdpi.com
Auphonic Blog: Audio loudness measurement and normalization with EBU ...
auphonic.com
Relative Response Factor (RRF) and its Calculation in HPLC Analysis
qcqa.industrialguide.co.in
Find the value of normalization constant a for the wave function, )= axe\"?
scoop.eduncle.com
IXL - Matrix operation rules (Class XII maths practice)
in.ixl.com
What is Normalization in SSC? How does it work?
sscadda.com
Matrix Multiplication: Process, Properties & Calculator | AESL
aakash.ac.in
What is Confusion Matrix and Advanced Classification Metrics?
jainnews.in
Scoring key and Interpretation norms- RPM - STANDARD PROG RESSI VE ...
studocu.com
What is orthogonal wave function
scoop.eduncle.com
Zoho expands its rural initiatives; opens new hub offices, schooling ...
zeebiz.com
Calculate coefficient of correlation between age group - CBSE Class 11 ...
ask.learncbse.in
Computer Vision Roadmap 🦝
pclub.in
Calculating the permissible axial load|Point of Selection|Ball Screw ...
thk.com
KEAM 2025 Score Calculator: Predict Your Normalized Score & Rank
engineering.careers360.com
Matrix Diagonal Sum - DSA Problem | Talentd
talentd.in
Normalization Process in RRB Exams - Calculation Formula
scoop.eduncle.com
CAT Score vs Percentile 2024: Check Cutoff, Percentile, Score ...
zollege.in
Normalization Process in RRB Exams - Calculation Formula
scoop.eduncle.com
7th Pay Matrix Table for Central Govt Employees, Pensioners, Defence ...
cleartax.in
Matrix Multiplication in C - Codeamy: Learn Programming
codeamy.in
What is Normalization in SSC? How does it work?
sscadda.com
Click Here to Download this Analysis Image to your Mobile/PC
qmaths.in
KEAM 2025 Score Calculator: Predict Your Normalized Score & Rank
engineering.careers360.com
GATE Score Calculation 2026: Check Formula, Method, Normalization ...
zollege.in
Inverse Matrix Formula: Examples, Properties, Method
pw.live
Inductance of Three Phase Double Circuit with Symmetrical Spacing ...
eee.poriyaan.in
Construct an E-R diagram for a hospital with a set of patients and a ...
brainly.in
How to Calculate GST in Excel Sheets?
cleartax.in
Ashok Chandra takes over as MD of PNB, Binod Kumar as head of Indian ...
zeebiz.com
Tutorial for beginners and advanced Cost Estimating professional
constructioncivilengineering.com
Calculate the pressure produced by applying 56 N force on a flat ...
brainly.in
Crop identification using satellite imagery: Introduction | by ...
write.agrevolution.in
BPUT CGPA to Percentage Conversion Certificate & Rules Download ...
capitaljobs.in
Impact of SC Judgement Dated 04.11.2022 on Higher Pension With Illustration
taxguru.in
The Viral Maths | Brahmastra For Maths Calculation (English Printed ...
flipkart.com
GHS MUTTOM BLOG.IN
ghsmuttomblog.in
How to Calculate GST in Excel Sheets?
cleartax.in
Building Load Calculation | Load Calculation for Multi Storey Building
constructioncivilengineering.com
engineering tips for students | construction tips and tricks
constructioncivilengineering.com
Inspector Chalisa | Mathematics | Calculation Book | English | Mohit ...
flipkart.com
Inspector Chalisa Mathematics Calculation Book - inspector chalisa: Buy ...
flipkart.com
Liquidity Coverage Ratio (LCR) | Formula & Calculation
navi.com
The Viral Maths | Brahmastra For Maths Calculation (Hindi Printed ...
flipkart.com
7th CPC Pay Matrix i.r.o. Officers of the Army, Air Force and Navy w.e ...
staffnews.in
What is FAR in hindi | Calculating FAR | How to calculate FAR | FAR ...
constructionhub.co.in
Income Tax Calculation Excel Softwares - IT Calculation Software 2024 ...
apteachers.in
Sheet Bending Calculator for Sheet Metal Fabrication
letsfab.in
Staircase Quantity Takeoff | Calculating Concrete Volume for Stairs
constructioncivilengineering.com
Blogs
iasgyan.in
Futures & Options Turnover calculation (with examples)
taxguru.in
Buy IDLETECH BC-1500 Money Counter Machine with Counterfeit Detection ...
desertcart.in
Maruti Wagon R Price, Specs, Images, Colours & Reviews
autovista.in
Design of RCC Dog Legged Staircase | Download Staircase Design Spreadsheet
constructioncivilengineering.com
How to Calculate GST in Excel Sheets?
cleartax.in
Machine Learning Training: Implementing PCA with MXNet 2025 for Data ...
johal.in
Circular Water Tank | Construction Video Tutorial | Reinforcement For ...
civildailyinfo.com
US Military To Deploy Navy Ships, USS Gerald R Ford Closer To Israel To ...
timesnownews.com
Pile Cap Construction Method | Volume Of Pile Cap | Pile Cap Design
constructioncivilengineering.com
Watch matrix on sale 3 online free
metrorailnews.in
4Dot-Matrix R click at MG Super Labs India
mgsuperlabs.co.in
Calculator for Engineers | Bending Moment Calculator | Beam Calculator
constructioncivilengineering.com
2023 Honda Civic Type R unveiled as the most powerful model in 30 years ...
overdrive.in
7th Pay Commission Pension Calculation Table with Option 1 & 2 by BPS ...
staffnews.in
Amphitheater | CEPT - Portfolio
portfolio.cept.ac.in
Income Tax Slabs In India: Salary-Wise Details Of New Tax Regime, Old ...
timesnownews.com
Thermal & Acoustic Calculations – Master Facades India Private Ltd.
masterfacades.in
Sei Network Helps Normalize Decentralized Financing With On-Chain ...
teletype.in
Latest Technology in India - Water Treatment Technology | Blogs
netsolwater.com
How To Calculate Water Quantity In Tank | Water Tank Calculation Formula
constructioncivilengineering.com
Screw Conveyor Calculator for Conveying Equipment Fabrication
letsfab.in
Income Tax 2023-24 FY [2024-25 AY] New IT Slab Rates Online Income Tax ...
apteachers.in
Amphitheater | CEPT - Portfolio
portfolio.cept.ac.in
Amphitheater | CEPT - Portfolio
portfolio.cept.ac.in
Dr. Tamilisai Soundararajan
capasckkl.in
Amphitheater | CEPT - Portfolio
portfolio.cept.ac.in
Buck-Boost Design Solutions | DigiKey
digikey.in
Amphitheater | CEPT - Portfolio
portfolio.cept.ac.in
Amphitheater | CEPT - Portfolio
portfolio.cept.ac.in
TYPICAL QUESTIONS & ANSWERS
iete-elan.ac.in
Amphitheater | CEPT - Portfolio
portfolio.cept.ac.in
Amphitheater | CEPT - Portfolio
portfolio.cept.ac.in
Machine Learning Optimization: Implementing PCA with Hugging Face 2025 ...
johal.in
Matrix Wonder.Brown Hair Color - Price in India, Buy Matrix Wonder ...
flipkart.com
Amphitheater | CEPT - Portfolio
portfolio.cept.ac.in
Rotation Invariant Graph Neural Network for 3D Point Clouds
mdpi.com
MAHITIGURU
mahitiguru.in
Buy Top G , Donald Trump, Andrew Tate, Tristan Tate, Jordan Peterson ...
desertcart.in
Cargo Ship Open Chittagong, 10th-15th June 2013
vessel-charter.in
Related Searches
INR Ratio
INR Table
INR Calculation Formula
INR Test
PT/INR Formula
aPTT vs INR
INR Testing Machine
INR Equation
Normal INR Value
Blood INR Chart
Prothrombin Time INR
PT/INR Report
Equation for INR Calculation
Coumadin Nomogram
INR Meaning
INR Lab
INR Normal Range
INR Levels Normal Range
INR Adjustment Chart
INR Sample
INR Form
High INR Meaning
INR Index
Coumadin Dose Chart
INR Values
INR Calculation Isi
INR Nursing
Coagulation INR Calculation
INR Warfarin Dosing
Elevated INR
INR Calculation Example
PT/INR Calculator
INR Medical Term
INR and PTT
PT/INR Results
INR Calculation Worksheet
How to Calculate INR
PT/INR Sheets
INR Computation
INR Adjust
INR Calculation Sheet
INR Survey
INR Medical Abbreviation
Manual INR Calculation
Argatroban INR Equation
What Is INR
INR Hematologia
Valor ES INR
INR. Check
Reporting INR
Search
×
Search
Loading...
No suggestions found