Find Your Style
Women
Men
Accessories
Search for clothing, brands, styles...
×
Women
Men
Accessories
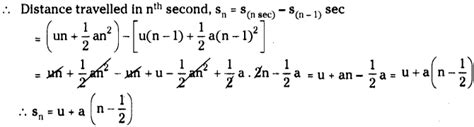
Nth Second In Physics
Search
Loading...
No suggestions found
INR Full Form | adda247 school
adda247.com
Derive an equation for the distance covered by a uniformly accelerated ...
brainly.in
Prove that the distance travelled by an object in nth second is given ...
ask.learncbse.in
Uniform Motion and Non Uniform Motion Definition, Examples - Physics ...
aakash.ac.in
Derive an equation for the distance covered by a uniformly accelerated ...
brainly.in
Derive the equation for the distance travelled by an object, in uniform ...
brainly.in
the ratio of displacement in n second to Nth second for a particle ...
brainly.in
Using the formula for the radius of nth orbit `r_(n)=(n^(2)h^(2)epsi_(0 ...
allen.in
If, in a hydrogen atom, radius of nth Bohr orbit is `r_(n)` frequency ...
allen.in
Derive an expression of Displacement of a particle in the nth second ...
brainly.in
Derivation of displacement in the nth second Sn - Brainly.in
brainly.in
drive expression for distance travelled in nth second of uniform ...
brainly.in
Derive the equation for uniform acceleration motion for the ...
brainly.in
Derive the equation for distance traveled in nth second by: - CBSE ...
ask.learncbse.in
Derive the equation for distance traveled in nth second by: - CBSE ...
ask.learncbse.in
Derive the equation for distance traveled in nth second by: - CBSE ...
ask.learncbse.in
What is the expression for distance covered in nth second by a ...
ask.learncbse.in
Dimensional formula for distance. Travelled by body in nth second ...
brainly.in
Distance travelled by the body in Nth second - Brainly.in
brainly.in
a body starts to move from rest with uniform acceleration then find the ...
brainly.in
A body slides down a frictionless inclined plane starting from rest. If ...
tardigrade.in
An open pipe is in resonance in `2nd` harmonic with frequency `f_(1 ...
allen.in
Speed `(V_(n))` of electron in nth orbit versus principal quantum ...
allen.in
Radius `(r_(n))` of electron in nth orbit versus atomic number (Z) graph is
allen.in
In the nth orbit, the energy of an electron `E_(n)= -( 13.6)/(n^(2)) eV ...
allen.in
a freely falling body travels a distance x in the nth second what ...
brainly.in
Derivation of Distance travelled by body in nth second.. - Brainly.in
brainly.in
Derive the expression for displacement in the nth second - Brainly.in
brainly.in
How can we derive the distance travelled in nth second by calculus ...
brainly.in
How can we derive the distance travelled in nth second by calculus ...
brainly.in
An open and closed organ pipe have same length . The ratio of frequency ...
brainly.in
A body starts from rest with uniform acceleration. If its velocity ...
brainly.in
Derive an expression of Displacement of a particle in the nth second ...
brainly.in
a body starts from rest and moves with constant acceleration .the ratio ...
brainly.in
A freely falling body travelled xm in nth second distance travelled in ...
brainly.in
Prove that the distance travelled by an object in nth second is given ...
ask.learncbse.in
Prove that the distance travelled by an object in nth second is given ...
ask.learncbse.in
A freely falling object falls through a height h in the nth second ...
brainly.in
Derivation of displacement in the nth second Sn - Brainly.in
brainly.in
Dimensional formula for distance. Travelled by body in nth second ...
brainly.in
The distance travelled by a particle in nth second is sn=u+a/2(2n-1 ...
brainly.in
Derive an expression of Displacement of a particle in the nth second ...
brainly.in
Nth Term in a Quadratic Sequence | Twinkl Teaching Wiki
twinkl.co.in
find distance travelled by the uniformly accelerated object moving in ...
brainly.in
The distance travelled by a body in the nth second is given by the ...
brainly.in
Distance travelled by the body in Nth second - Brainly.in
brainly.in
Physics Engineering (52) - 18 LAGUERRE FUNCTIONS Prove that the ...
studocu.com
Nth Term in a Quadratic Sequence | Twinkl Teaching Wiki
twinkl.co.in
calculate the radius ratio of second orbit of hydrogen atom and third ...
brainly.in
A ball rolls off top of a staircase with a horizontal velocity `u m s ...
allen.in
Derive the equation for uniform acceleration motion for the ...
brainly.in
GP Formula- Sum of n Terms, Sum of Infinite GP
adda247.com
During n second of its motion a body covers a distance And with uniform ...
brainly.in
A body projected vertically up travels a height h in the nth second ...
brainly.in
Derive the equation for uniform acceleration motion for the ...
brainly.in
Displacement in nth second formula derivation - Brainly.in
brainly.in
NCERT Solutions Class 11 Physics Chapter 2 - Motion in a Straight Line
edurev.in
According to Bohr's Theory `E_(n)=`total energy, `K_(n)` = kinetic ...
allen.in
derive the equation for uniform accelerated motion for the displacement ...
brainly.in
If a particle moves along a straight line with a constant acceleration ...
brainly.in
A ball rolls off the top of a staircase with a horizontal velocity u m ...
tardigrade.in
How can we derive the distance travelled in nth second by calculus ...
brainly.in
In figure, a screen is placed normaol to the line joining the two point ...
allen.in
A particle is moving in straight line with initial velocity u and ...
brainly.in
A three wheeler starts from rest, accelerates uniformly with ` 1 ms^(-2 ...
allen.in
A particle starts from rest and moves under constant acceleration in a ...
allen.in
How can we derive the distance travelled in nth second by calculus ...
brainly.in
Dimensional formula for distance. Travelled by body in nth second ...
brainly.in
NCERT Solutions Class 11 Physics Chapter 2 - Motion in a Straight Line
edurev.in
AP & TS My Baby Bullet Q Intermediate 1st Year Physics 2024 Edition ...
amazon.in
Unit -2nd - ….. - Calculation of hth order Derivatives 1. To find the ...
studocu.com
Motion Under Gravity, Free Fall Definition & Equations - Physics ...
aakash.ac.in
In a hydrogen atom, the radius of nth Bohr orbit is rn. The graph ...
tardigrade.in
Derivation of equations and List of 3 equations of motion - Physics ...
aakash.ac.in
Young's Double Slit Experiment Formula, Diagram for Class 12
adda247.com
Buy S. Chand's Textbook of Second Year Physics Book Online at Low ...
amazon.in
Distance travelled by the body in Nth second - Brainly.in
brainly.in
In a hydrogen atom, the radius of nth Bohr orbit is rn. The graph ...
tardigrade.in
In the Bohr’s model, for unielectronic species following symbols are ...
allen.in
please solve this!!! - Brainly.in
brainly.in
NCERT Solutions Class 11 Physics Chapter 2 - Motion in a Straight Line
edurev.in
The radius of the bohr orbit in the ground state of hydrogen atom is 0. ...
brainly.in
Buy SCORER Intermediate Easy Practical Manual Physics SET-1 2025 ...
amazon.in
if x y z be the distance described by a particle during Pth Qth and Rth ...
brainly.in
A body of mass 10kg is moving with a velocity 20 meter per second . A ...
brainly.in
ap scert 9th class Physical Science Lesson 1 Motion
manabadi.co.in
The ionisation potential of H-atom is 13.6 V. When it is excited from ...
brainly.in
[Expert Verified] Formula for distance travelled in nth second - Brainly.in
brainly.in
Using bohr's theory derive expression for (a) the radius of the nth ...
brainly.in
question from kinematics - Brainly.in
brainly.in
In the figure shown, a screen is placed normal to the line joining the ...
allen.in
NCERT Solutions Class 11 Physics Chapter 2 - Motion in a Straight Line
edurev.in
Order of Reaction - Definition, Types, Formula and Methods
careerpower.in
Given that a body falling freely passes through5390 cm in the sixth ...
brainly.in
An open pipe is in resonance in `2nd` harmonic with frequency `f_(1 ...
allen.in
Nth derivative formula - Brainly.in
brainly.in
the only electron in the hydrogen atom resides under ordinary ...
allen.in
derive the relation SNth=u+a/2(2n-1)for uniformly acceleration motion ...
brainly.in
A ball is moving eastward with speed 35 m/s . an acceleration of 10 m/s ...
brainly.in
When a light ray passes through an equilateral prism as shown in figure ...
brainly.in
Derive the equation of the distance travelled in nth second of ...
brainly.in
A body initially at rest is moving with uniform acceleration a. Its ...
brainly.in
A body starts from rest and moves with an acceleration of 2m/s². Find ...
brainly.in
Orbital Velocity Formula: Definitions, Examples, Derivations ...
collegesearch.in
2) A freely falling body travels a distance X in the nth second. In the ...
brainly.in
Routemybook - Buy 12th Don Physics Vol-I&II Guide [Based On The New ...
routemybook.com
Numerically correct but dimensionally incorrect equations - Brainly.in
brainly.in
An open pipe and dosed pipe have same length. The ratio of frequqncies ...
tardigrade.in
A ball is dropped from a building.It travels 55 m during the last ...
brainly.in
Angular Momentum Formula -Definition, SI Unit, Derivation, Examples
adda247.com
Magnetic moment due to the motion of the election in nth energy state ...
tardigrade.in
Formula sheet - Physics - Zaki Saudagar Physics Physics formula sheet ...
studocu.com
TS Inter 2nd Year Chemistry Model Paper 2025: Download PDF
jagranjosh.com
Kinematics - Rectilinear Motion - with Solved Example Problems
mech.poriyaan.in
System of Particles and Rotational Motion Class 11 Notes Physics Chapter 6
edurev.in
Buy Mastering Numericals and Objectives of Physics Class IX | 2nd ...
amazon.in
A ball is dropped from the top of the tower .The ratio of distance ...
brainly.in
Buy College Physics Book Online at Low Prices in India | College ...
amazon.in
The only electron in the hydrogen atom resides under ordinary ...
allen.in
A particle starts from rest with a constant acceleration. At a time t ...
prepp.in
Related Searches
Distance Travelled in Nth Second
Distance Covered in Nth Second
Nth Second Formula
Displacement in Nth Second Formula
Distance Travel in Nth Second
Formula for Distance Travelled in Nth Second
Equation of Motion Nth Second
Disp in Nth Second Formula
Displacement during Nth Second
Nth Second Formula in Physics
4th Equation of Motion Nth Second
For Nth Second Find Distance
Fourth Equations of Motion Nth Second
Dostanvev Ravelledin Nth Second
Distace at Nth Second Formula
EQ of Motuin for Nth Second
Distance Cover by Nth Second
Dipslacement in Nth Second
Displacement of Particle in Nth Second
Displacement in Nth Second in Free Fall
Distance Travelled in Nth Second Derivation
How to Find Distance at Nth Second
Prove Distance Move by Nth Second
Distance Traveled Formula
Distanc Etravelled in the Nth Second of Motion
Total Distance Traveled
Quadratic Sequence Formula Nth Term
Search
×
Search
Loading...
No suggestions found