Find Your Style
Women
Men
Accessories
Search for clothing, brands, styles...
×
Women
Men
Accessories
Numeracy Rounding Revision Notes
Search
Loading...
No suggestions found
Interactive PDF: First Level Assessment -Estimating Rounding
twinkl.co.in
Early Level Numeracy and Mathematics Assessment - Estimation and Rounding
twinkl.co.in
Rounding to the Nearest 10, 100, 1000, 10,000, 100,000 Classroom ...
twinkl.co.in
Numeracy Assessment | Estimating and Rounding |Twinkl
twinkl.co.in
๐ Interactive PDF Y5 White Rose Maths Spring Rounding Decimals
twinkl.co.in
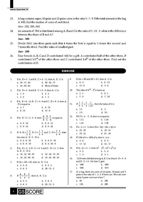
Numeracy Assessment | Estimating and Rounding |Twinkl
twinkl.co.in
Rounding Calculations to the Nearest 10 Worksheet
twinkl.co.in
Back to School Numeracy Revision Activity Sheets - Twinkl
twinkl.co.in
CBSE Class 12 Date Sheet 2024 (Revised) and Practical Dates
jagranjosh.com
Editable Numeracy Stages Assessment Sheet (teacher made)
twinkl.co.in
๐ KS2 Maths Rounding Numbers Using the Midpoint Poster
twinkl.co.in
PlanIt Maths Y6 Number and Place Value Rainbow Rounding Home Learning
twinkl.co.in
Rounding to the nearest 10 and 100 - worksheet no.1 | Worksheets | Math ...
math-center.org
CfE Numeracy and Mathematics Second Level: Number, Money and Measure
twinkl.co.in
Maths Mosaic: Rounding and Estimation Worksheet
twinkl.co.in
Maths Mosaic: Rounding Worksheet | KS3 Maths | Beyond
twinkl.co.in
๐ Year 5 Maths Rounding Decimals Mastery Worksheets
twinkl.co.in
Year 6 Place Value Rounding Maths Mastery Activity - Twinkl
twinkl.co.in
Grade 4 Rounding to the Nearest 10, 100, 1000 Teaching Pack - maths
twinkl.co.in
AS-LEVEL MATHEMATICS (9709) โ TRIGONOMETRY | Cambridge IGCSEยฎ Mathematics
igcsemaths.in
Unit Conversion Revision Summary 2
twinkl.co.in
Year 4 Rounding Place Value Maths Mastery PowerPoint
twinkl.co.in
๐ Maths Mosaic - Rounding Mixture (teacher made) - Twinkl
twinkl.co.in
Maths Bonfire Night: Numeracy Revision Differentiated Colour by Number
twinkl.co.in
NAPLAN-Style Numeracy Example Tests - Maths Revision
twinkl.co.in
CfE Numeracy and Mathematics Second Level: Number, Money and Measure
twinkl.co.in
Year 6 Number and Place Value Rounding Maths Mastery PowerPoint, place ...
twinkl.co.in
KS2 Maths Revision Resource Pack (teacher made) - Twinkl
twinkl.co.in
JEE Main 2025 Maths Revision Notes - Free PDF Download
esaral.com
Year 5, Fractions and Decimals, Rounding Decimals Maths Mastery Activities
twinkl.co.in
Rounding Numbers Ppt
twinkl.co.in
๐ Rounding Positive Integers Interactive Quiz - KS2 Revision
twinkl.co.in
๐ Numeracy Area Sign (teacher made) - Twinkl
twinkl.co.in
Numeracy Skills 2
magpiebooks.in
๐ Rounding Decimals | KS2 Maths Concept Video
twinkl.co.in
๐ GCSE Maths Foundation Revision Flash Cards - Twinkl
twinkl.co.in
Rounding to Nearest 10 100 1000 - KS2 Activity - Twinkl
twinkl.co.in
Rounding - Year 5 Differentiated Activity Pack
twinkl.co.in
Upsc11 - Best notes for upsc aspirants - Revision Notes Class 12 ...
studocu.com
NAPLAN-Style Numeracy Example Tests - Maths Revision
twinkl.co.in
Rounding Rabbits Maths Board Game (teacher made) - Twinkl
twinkl.co.in
year 6 Maths Revision Mat - SATs Primary Resources
twinkl.co.in
Class 11 maths Revision Notes conic sections - Revision Notes for Class ...
studocu.com
๐ GCSE Maths Higher Revision Flash Cards (teacher made)
twinkl.co.in
Fillable Online Problem Solving: Rounding and Estimating Guided Notes ...
pdffiller.com
๐ Rounding to the Nearest 10 | KS2 Maths Concept Video
twinkl.co.in
Year 4 Rounding Place Value Maths Mastery Challenge Cards
twinkl.co.in
Real Numbers - Class 10 Chapter 1 Short Notes (Mind Maps)
esaral.com
Rounding (Year 5) PowerPoint | Maths Resources
twinkl.co.in
Year 5 Maths Mastery Rounding Challenge Cards
twinkl.co.in
SATs Arithmetic Paper Revision | Year 6 Practice Booklet
twinkl.co.in
Maths Mastery Rounding Year 6 Challenge Cards
twinkl.co.in
Year 5 Rounding Place Value Maths Mastery Activity - Twinkl
twinkl.co.in
Maths Activity Revision Booklet | Activity Sheets - Twinkl
twinkl.co.in
NAPLAN-Style Numeracy Example Tests - Maths Revision
twinkl.co.in
Revision Notes IN Science - Chemistry 10 E - N o v e m b e r 1 9 , 2 0 ...
studocu.com
Number Line Maths Problems Worksheets โ Primary Resources
twinkl.co.in
Maths Mosaic: Day of Books Rounding Worksheet | KS3 Maths | Beyond
twinkl.co.in
Year 4 Rounding Off Decimals PPT | Maths Mastery - Twinkl
twinkl.co.in
Circle - Class 9 Maths Chapter 8 Short Notes (Mind Maps)
esaral.com
๐ Sonic: Rounding Numbers Maths Mosaics
twinkl.co.in
25 Examples of Aesthetic Note Layouts To Steal Right Now ...
id.pinterest.com
MATHS PRACTICE BOOK: GRADE 5 ROUNDING (MATHS PRACTICE BOOKS: GRADE 5 ...
amazon.in
Maths TLM Teaching Learning Material Prepared by Teachers and Students
guruvu.in
Circle - Class 9 Maths Chapter 8 Short Notes (Mind Maps)
esaral.com
PlanIt Maths Y5 Fractions Rounding Decimals Home Learning Tasks
twinkl.co.in
NAPLAN Style Yr 5 Numeracy Questions Google Form - Revision
twinkl.co.in
NAPLAN-Style Numeracy Example Tests - Maths Revision
twinkl.co.in
Mathematics Model Question Paper II for BCS301 - 3rd Sem Exam - Studocu
studocu.com
Buy Cambridge IGCSEโข Maths Revision Guide Book Online at Low Prices in ...
amazon.in
๐ Maths Christmas Crackers: Rounding (teacher made)
twinkl.co.in
Rounding Challenges Differentiated Maths Worksheet
twinkl.co.in
Lines and Angles - Class 9 Maths Chapter 5 Short Notes (Mind Maps)
esaral.com
Maths Rounding Acrostic Poem Worksheet
twinkl.co.in
NAPLAN Style Yr 5 Numeracy Questions Google Form - Revision
twinkl.co.in
Buy Super Simple Maths Revision Cards Key Stages 3 and 4: 125 ...
desertcart.in
Coordinate Geometry - Class 9 Maths Chapter 3 Short Notes (Mind Maps)
esaral.com
[PDF] Maths Handwritten Short Notes For JEE mains And Advanced , Class ...
jeeneetforall.in
Maths Intervention Matching Notes Activity
twinkl.co.in
7 Times Table Wheel Cut Outs (teacher made) - Twinkl
twinkl.co.in
Quick Revision Notes for CSIR NET, GATE, SET, JAM, Lecturer & Asst ...
pkalika.in
Early Level Numeracy and Mathematics Assessment - Estimation and Rounding
twinkl.co.in
CA Final Costingscmpe Revision Class Notes 5 Part 1 - ####### REVISION ...
studocu.com
CBSE 10th Maths Case Study Questions 2025-26 with Solutions, Free PDF ...
jagranjosh.com
Numeracy Knowledge Stages And NZ Curriculum Levels Poster
twinkl.co.in
SIP Arithmetic Genius Contest [AGC] Sample Papers 2021
recruitmentzones.in
Recognise Notes | KS1 Maths Concept Video (teacher made)
twinkl.co.in
ShareMyNotes - Digital Notes Sharing Platform
sharemynotes.in
Mind Maps For Statistics - Class 11, 12 , JEE (Main + Advanced)
esaral.com
Straight Lines Class 11 Notes and Solved Numericals for IIT JEE
esaral.com
Halloween Rounding To A Significant Number: KS3 Maths Mosaic
twinkl.co.in
Mind Maps for Vectors Revision - Class XI, JEE, NEET
esaral.com
Numeracy Tracking Sheet - LVL 2 Stage 5 Maths Assessment
twinkl.co.in
MCQ qustion - Mcq question for practice unit 2 maths double integration ...
studocu.com
AS-LEVEL FURTHER MATHEMATICS (9231) โ ROOTS OF POLYNOMIALS | Cambridge ...
igcsemaths.in
Buy AKLAT 11+ Maths Revision Guide Flashcards- Learning Resources for ...
desertcart.in
Buy LORD C Play Money Notes And Coins Sterling Pounds Fake Money UK ...
desertcart.in
Quadratic Equation - Class 10 Chapter 4 Short Notes (Mind Maps)
esaral.com
NAPLAN Style Yr 5 Numeracy Questions Google Form - Revision
twinkl.co.in
Click Here to Download Maths Tricks Handwritten Notes in PDF
qmaths.in
๐ Rounding Decimals Interactive Maths Quiz - KS2 Revision
twinkl.co.in
Grade 3 Maths Planning and Record Sheet (teacher made)
twinkl.co.in
๐ Maths and Money: Rounding Amounts Game [Year 4]
twinkl.co.in
Gs Score - CSAT Prelims Practice WorkBook - Basic Numeracy & Data ...
notesindia.in
Gs Score - CSAT Prelims Practice WorkBook - Basic Numeracy & Data ...
notesindia.in
Class 1 - arithmetic - VERSION : 24 - 1. SIP ALL INDIA INTER-SCHOOL ...
studocu.com
KS3 & KS4 Maths | Secondary Maths Resources | Beyond
twinkl.co.in
Gs Score - CSAT Prelims Practice WorkBook - Basic Numeracy & Data ...
notesindia.in
Maths notes - Discrete mathematics - Studocu
studocu.com
SIP Arithmetic Genius Contest [AGC] Round 2 Sample Papers 2019
recruitmentzones.in
Visual Worksheet: Rounding Off Numbers - Mathematics for Class 5 PDF ...
edurev.in
Gst - Ca intermediate gst handwritten summary notes for quick revision ...
studocu.com
Spectrum Revision Notes (ch 1 to ch 38) - Arora IAS Spectrum - Modern ...
studocu.com
SIP Arithmetic Genius Contest [AGC] Round 2 Sample Papers 2019
recruitmentzones.in
Unit 2 - Unit 2 notes - ' , > I,, I . L- I I (x +J f-r)2ยท ". - : tJ ...
studocu.com
๐ Rounding to Any Number of Decimal Places Colour by Number
twinkl.co.in
๐ Botanical Themed-Rounding Rhyme Display Poster
twinkl.co.in
SIP Arithmetic Genius Contest [AGC] Round 2 Sample Papers 2019
recruitmentzones.in
FREE Online Year 10 Maths & Numeracy Revision, May 27 2024 | Online ...
allevents.in
NASO Level Examination-2: Grade 5 & 6 - Test Paper with 25 MCQs - Studocu
studocu.com
Related Searches
Note Counts
Mathematics Notes
Numeracy Numbers
Adding Notes
Sub Notes
5 Grade Math Notes
Notes for Grade 5
Math Notes Template
Substitute Notes
Roman Numeral Note Taking
Number System Notes
Subtracting Notes
College Math Notes
Math Notes On Mode
Simple-Interest Notes
Pretty Math Notes
Addition Notes
Maths Division Notes
Percents Notes
A Place for Note
Temple School Numeracy Note
Sticky Note for Math
Numbers Study Notes
Roman Numerals Grade 4
II Roman Numerals
How to Write Math Notes
Note List for Tennage
Systems Notes Math
Notes Work Real Numbers
Short Course Numeracy
Maths Notes for Kids
How to Read Notation Note
Monotonal Notes
Math3121 Notes
Number System Class 9 Notes
Numerical English Notes Example
Highliter Notes
Numeral Two Songs
Numbering Ideas Notes
Comparison of Numbers Note
C2 Notes Science
4th Grade Math Notes
English Handwritten Note PDF
Numeracy Notes for 8th Graders
How to Subtract Musical Note
Free Substitute Notes
Making a Note of Numbers
Substitute Notes Free Printable
Neat Handwriting Notes
Boho Sub Notes
Search
×
Search
Loading...
No suggestions found