Find Your Style
Women
Men
Accessories
Search for clothing, brands, styles...
×
Women
Men
Accessories
Oboi Kover
Search
Loading...
No suggestions found
INR Full Form: What is full form of INR?
bankersadda.com
Your Partner for Home INR Monitoring Services and Supplies | mdINR®
mdinr.com
0.1 ETH to INR Converter, How much Convert Ethereum to Indian Rupee ...
cryptocurrency-exchange.us.com
India Saves INR 35,000 Crore By Buying Discounted Oil from Russia » Car ...
carblogindia.com
BTC to INR Converter, Convert Bitcoin to INR Exchange 2022 ...
cryptocurrency-exchange.us.com
Get Alia Bhatt's Stunning Wedding Dress Under INR 20,000 | LBB
lbb.in
0.1 ETH to INR Converter, How much Convert Ethereum to Indian Rupee ...
cryptocurrency-exchange.us.com
Mast Masala Oats | TATA Soulfull | INR 209/- only
soulfull.co.in
ValueQuest Enters PE Segment With INR 1,000 Cr Fund
businessoutreach.in
Perpetual Protocol Live Price Chart, PERP to INR live price and Market cap
suncrypto.in
Top 8 Indo- Western Fusion Sarees Under INR 10,000 | LBB
lbb.in
Best Women Watches Under INR 15K | LBB
lbb.in
International Trade Settlement in Indian Rupee (INR)
taxguru.in
Administration of Warfarin Inhibits the Development of Cerulein-Induced ...
mdpi.com
International Trade Settlement in Indian Rupee (INR)
taxguru.in
ILT20 auction: Complete list of players sold and their prices | Cricket ...
crickettimes.com
RBI’s short USD/INR forward book remains stable- analysis By Investing.com
in.investing.com
How Indian Rupee Stands Against Other Major Currencies
indiatimes.com
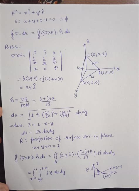
Verify the stoke's theorem for the function f=xi+y2 kover the plane ...
scoop.eduncle.com
India and Malaysia can now trade in Indian rupee
currentaffairs.adda247.com
Coagulation Analyzer - Micropoint Q3 Pro Electrometer PT-INR Trader ...
r2healthcare.in
Currency Today: Euro Finds Footing, Dollar Whipsaws, Rupee Tanks | India
btcc.com
Sri Lanka and Russia in talks to use the rupee in foreign trade
currentaffairs.adda247.com
Verify the stoke's theorem for the function f=xi+y2 kover the plane ...
scoop.eduncle.com
Fed’s 75 bps Hike: Rupee Falls to Record Low, Sets Eye for ‘82 ...
in.investing.com
USD/INR Cracks Big: Falls 2% in 4 Days! | Investing.com India
in.investing.com
USD/INR at Record High! Why RBI is Failing to Curb the Rupee’s Fall ...
in.investing.com
Verify the stoke's theorem for the function f=xi+y2 kover the plane ...
scoop.eduncle.com
Kover - Metal Side Table | Alankaram
alankaram.in
Аниме Природа 4k Изображения – скачать бесплатно на Freepik
ru.freepik.com
Wallpaper Wallpaper, food, peas, soup, Krupa, porridge, mung, Lentils ...
goodfon.com
Clocite HIKVISION 4 Channel DVR with 5MP 1 Dome & 1 Bullet Cameras with ...
amazon.in
Buy Absolute Anticoagulant Journal: A Comprehensive logbook for ...
desertcart.in
Lies of P | PlayStation Games (India)
playstation.com
USD/INR Breaking Imp. Trendline; Is Nifty 50 Topping Out? | Investing ...
in.investing.com
Wallpaper Wallpaper, the game, war, zombies, pumpkin, wallpaper ...
goodfon.com
Wallpaper grass, macro, blue, nature, heat, blue, Wallpaper, wallpaper ...
goodfon.com
Wallpaper greens, water, trees, nature, stones, Wallpaper, plants ...
goodfon.com
Wallpaper field, flowers, tree, Wallpaper, cow.Maki for mobile and ...
goodfon.com
Wallpaper nature, background, Wallpaper, wallpaper, bump, picture ...
goodfon.com
MXVOLT |Clear TPU Keyboard kover Skin | for 2017 | Release 13.3 inch HP ...
amazon.in
Wallpaper background, Wallpaper, flowers, blossom, background, cherry ...
goodfon.com
Wallpaper animals, dogs, background, Wallpaper, dog, teeth, eats for ...
goodfon.com
Wallpaper computer, reflection, Wallpaper, emblem, windows, operating ...
goodfon.com
Wallpaper cold, ice, winter, macro, background, Wallpaper, window ...
goodfon.com
Wallpaper Blue, Strip, Wallpaper, Background, Galaxy, Samsung, Note 3 ...
goodfon.com
Buy iPhone 16 Back Cover Case | Fusion Magnetic - Clear Case | RIngke India
ringke.co.in
Did You Know About India's Rs 10,000 Rupee Note
indiatimes.com
Wallpaper water, the sun, mountains, nature, stones, photo, Wallpaper ...
goodfon.com
Rupee slides? Your holiday doesn’t have to suffer — 8 luxe destinations ...
msn.com
Wallpaper light, line, yellow, heat, Wallpaper, crossing for mobile and ...
goodfon.com
Wallpaper background, Wallpaper, texture, hearts, patterns, hearts for ...
goodfon.com
Wallpaper autumn, leaves, macro, nature, Park, Wallpaper, autumn ...
goodfon.com
Wallpaper the sky, light, snow, mountains, tops, shadow, lighting ...
goodfon.com
yiffing.in - Gallery: ying-yang
yiffing.in
Wallpaper greens, forest, grass, trees, nature, background, Wallpaper ...
goodfon.com
Wallpaper autumn, nature, background, tree, Wallpaper, village, Rowan ...
goodfon.com
Wallpaper bubbles, background, Wallpaper, pink, toy, the situation ...
goodfon.com
Wallpaper water, trees, nature, Wallpaper, waterfall, waterfall for ...
goodfon.com
Wallpaper background, widescreen, Wallpaper, food, pie, wallpaper ...
goodfon.com
Download wallpaper Wallpaper, figures, wallpaper, picture, picture, on ...
goodfon.com
International Trade Settlement in Indian Rupee (INR)
taxguru.in
Wallpaper background, Wallpaper, woman, neon, glasses, pair, wallpaper ...
goodfon.com
Accounting for Management: Text and Cases, 3e by S.K. Bhattacharyya ...
vikaspublishing.com
Wallpaper creative, background, lamp, Wallpaper, wire, lamp, minimalism ...
goodfon.com
Wallpaper background, Wallpaper, men for mobile and desktop, section ...
goodfon.com
Daily Current Affairs 16th March 2023
bankersadda.com
Wallpaper computer, logo, emblem, windows, the volume, operating system ...
goodfon.com
Wallpaper forest, nature, Wallpaper, mushrooms, moss, food, morning ...
goodfon.com
Download wallpaper Wallpaper, logo, cute, Nice, 1920 x 1080, Wallpaper ...
goodfon.com
Is your Rs 500 note real or fake? RBI suggests how to check - Real or ...
economictimes.indiatimes.com
Wallpaper the sky, sunset, mountains, the dark background, Wallpaper ...
goodfon.com
Wallpaper the sky, clouds, clouds, Wallpaper, landscapes, photos for ...
goodfon.com
Wallpaper sadness, autumn, eyes, face, leaves, portrait, dog, lies for ...
goodfon.com
Wallpaper background, Wallpaper, contour, the camera, lens, case for ...
goodfon.com
Wallpaper background, Wallpaper, pattern, the volume, layer for mobile ...
goodfon.com
Wallpaper background, Wallpaper, wallpaper, texture, picture, textures ...
goodfon.com
Wallpaper space, background, mood, Wallpaper, graphics, planet for ...
goodfon.com
List Of Countries That Have Opened Special Rupee Vostro Accounts
indiatimes.com
Did You Know About India's Rs 10,000 Rupee Note
indiatimes.com
Wallpaper carpet, Cat, chair, lies for mobile and desktop, section ...
goodfon.com
Wallpaper cat, cat, carpet, white for mobile and desktop, section кошки ...
goodfon.com
Wallpaper text, letters, music, the inscription, Wallpaper, group ...
goodfon.com
Wallpaper balls, Wallpaper, toys, tree, Christmas, candles, New year ...
goodfon.com
Download wallpaper Wallpaper, window, pattern, Shadow, section textures ...
goodfon.com
Wallpaper line, flowers, collage, Wallpaper, gerbera, saver, postcard ...
goodfon.com
Wallpaper background, balls, Wallpaper, pattern, texture, New year for ...
goodfon.com
Wallpaper nature, carpet, petals, flowerbed, chrysanthemum for mobile ...
goodfon.com
Wallpaper autumn, leaves, macro, nature, photo, autumn Wallpaper for ...
goodfon.com
Wallpaper the sky, macro, flowers, background, Wallpaper, petals for ...
goodfon.com
Latest Car & Bike News & Reviews | BBC Topgear India Magazine
topgearmag.in
Wallpaper flowers, droplets, background, Wallpaper, plant, roses ...
goodfon.com
How Indian Rupee Stands Against Other Major Currencies
indiatimes.com
Wallpaper the rain, glass, balls, yellow, green, holiday, Shine, new ...
goodfon.com
Wallpaper sofa, guitar, carpet, pillow, Table for mobile and desktop ...
goodfon.com
Wallpaper flowers, smile, tree, tea, foliage, mushrooms, dress, the tea ...
goodfon.com
Wallpaper the rain, balls, holiday, new year, transparent, white ...
goodfon.com
Wallpaper grass, macro, background, dragonfly, insect, bokeh, stem ...
goodfon.com
Wallpaper macro, background, Wallpaper, the fence, blur, wallpapers for ...
goodfon.com
Wallpaper music, blue, figure, graphics, picture, dress, harp, girl for ...
goodfon.com
Anthony Joshua vs Oleksandr Usyk epic heavyweight rematch will be ...
skysports.com
Wallpaper flowers, sofa, wall, carpet, interior, pillow, chandelier for ...
goodfon.com
Wallpaper the sky, the sun, rays, mountains, glare, stones, sign, heart ...
goodfon.com
Wallpaper decoration, branches, red, holiday, new year, white ...
goodfon.com
Download wallpaper eyes, face, smile, people, movie, Wallpaper, model ...
goodfon.com
Wallpaper forest, animals, dogs, background, animal, Wallpaper, dog ...
goodfon.com
La Kover CK 125 - MICROCAR, MICROCARS, BUBBLECARS, MOTOCARS ...
pinterest.com
Wallpaper girl, sweetheart, model, Flowers, Feathers, Asian, Wallpaper ...
goodfon.com
Wallpaper flower, trees, nature, hills, bird, home, chamomile, petals ...
goodfon.com
Download wallpaper flowers, retro, Wallpaper, pattern, ornament ...
goodfon.com
Wallpaper light, background, Wallpaper, shadow, bouquet, petals for ...
goodfon.com
Wallpaper Wallpaper, world of tanks, brew, the kV-1s, кв1с, wot кв1с ...
goodfon.com
Wallpaper flowers, blur, spring, yellow, tulips, red, pink, blur for ...
goodfon.com
Fake notes worth over Rs 14 lakh in Rs 500 denominations seized in Odisha
odishatv.in
Download wallpaper Wallpaper, black and white, Ford Mustang, section ...
auto.goodfon.com
Wallpaper decoration, branches, red, holiday, new year, white ...
goodfon.com
Wallpaper the sky, light, trees, nature, Wallpaper, landscapes, beauty ...
goodfon.com
Download wallpaper design, minimalism, logo, Wallpaper 1920x1080 ...
goodfon.com
Wallpaper forest, look, pose, style, background, tree, woman, hand for ...
goodfon.com
Wallpaper trees, night, nature, photo, background, Wallpaper ...
goodfon.com
Related Searches
Oboi Na PC
Oboi Na Komp
Oboi 4K
Oboi Na Stol
Oboi Car
Oboi Nell
Oboi Fon
Oboi Na Komyter
Oboi Instrument
Oboi Zima
Oboi Na Desctop
Chilovie Oboi
Volna Oboi
Oboi Wallpaper
Oboi Nioi
Instrument Oboi Poze
Oboi Armenia
Oboi Brazil
АУЕ Oboi
Music Oboi
Krutie Oboi
Back Oboi
Oboi Leto
Обои
Top Oboi Na PC
Oboi Gitler
Oboi Skazka
Oboi Na Komp Gori
Oreng Oboi
Oboi Na Iapad
Krinz Oboi
Oboi Na Rabochii STOL
Oboi Guller
Suetniye Oboi
Oboi Na Comp 4K
Oboi Interer
Givie Oboi
Oboi Instrument Muzical
Bejeviy Oboi
F Oto Dla Oboi
Vsratii Oboi
Oboi Na PK Pelei Tsvet
Dropka Oboi
Oboi Na Komp Estetice
Memmnie Oboi
Art Oboi Na PC
Oboi America
Oboi Na Slide
Huawei Pura 80
Spring Country Farm Scenes
Search
×
Search
Loading...
No suggestions found