Find Your Style
Women
Men
Accessories
Search for clothing, brands, styles...
×
Women
Men
Accessories
Octahedral Square Pyramidal
Search
Loading...
No suggestions found
Match List I with List II: List-I (molecule) List-II (hybridization ...
tardigrade.in
Assertion (A) BrF 5 and SF 6 both have same hybridisation. Reason (R ...
tardigrade.in
Match the compounds given in column I with the hybridisation and shape ...
tardigrade.in
Crystal Field Theory- Concept, Explanation and Examples.
allen.in
For which of the following sets of geometry, both axial and equatorial ...
edurev.in
Isomerism in Coordination Compounds- Definition, Types and Examples.
allen.in
sp, sp2, sp3 Hybridization Examples, sp3d2 Shape & Structure
adda247.com
Coordination Compounds - JEE Advanced Previous Year Questions with ...
esaral.com
Isomerism in Coordination Compounds- Definition, Types and Examples.
allen.in
Crystal field theory || CFT for octahedral complexes|Chemistry Page
chemistrypage.in
Comprehensive Guide to Types of Hybridization in Chemistry 2025
collegesearch.in
What is the hybridization and geometry of the compound XeOF4
tardigrade.in
21. the structure of xef, 1s (a) pentagonal bipyramidal (b) octahedral ...
scoop.eduncle.com
Match List I with List II: List-I (molecule) List-II (hybridization ...
tardigrade.in
Match List - I with List - II. List-I (Compound) List-II (Shape) A BrF ...
tardigrade.in
VSEPR Chart | Valence Shell Electron Pair Repulsion Theory
merckmillipore.com
Match List - I with List - II. List-I (Compound) List-II (Shape) A BrF ...
tardigrade.in
Comprehensive Guide to Types of Hybridization in Chemistry 2025
collegesearch.in
Match the following: List I List II A [ CrF 6]3- I s p3 d2, square ...
tardigrade.in
An octahedral complex is formed when hybrid orbitals of the following ...
tardigrade.in
Valence Shell Electron Pair Repulsion- Postulates, Shapes of Molecules ...
allen.in
Geometrical shapes of the complexes formed by the reaction of Ni2+ with ...
tardigrade.in
Using VSEPR theory, predict the species which has square pyramidal shape
tardigrade.in
Geometrical shapes of the complexes formed by the reaction of Ni2+ with ...
tardigrade.in
Geometrical shapes of the complexes formed by the reaction of N i2 ...
tardigrade.in
ii) Explain the shape of BrFs. - Brainly.in
brainly.in
Coordination Compounds - JEE Advanced Previous Year Questions with ...
esaral.com
Q12. according to vsepr model, the shape of [xeofs} is a) octahedral b ...
scoop.eduncle.com
How many geometrical isomers are there for [Co (NH3)2Cl4]- (octahedral ...
tardigrade.in
Match List - I with List - II. List-I (Compound) List-II (Shape) A BrF ...
tardigrade.in
Geometry, hybridisation and magnetic moment of the ions `[Ni(CN)_(4 ...
allen.in
Coordination Compounds - JEE Advanced Previous Year Questions with ...
esaral.com
Bonding in Coordination Compounds: VBT and CFT - Chemistry Class 12 ...
edurev.in
Crystal Field Theory- Concept, Explanation and Examples.
allen.in
VBT- Valence Bond theory, Postulates, Types of covalent bonds, Sigma ...
aakash.ac.in
Coordination Compounds - JEE Advanced Previous Year Questions with ...
esaral.com
Coordination Compounds - JEE Advanced Previous Year Questions with ...
esaral.com
The structure of ICl5 and ICl4- is : - Tardigrade
tardigrade.in
Draw the energy level diagram and indicate the occupancy of orbital ...
brainly.in
Structure of ICl2−Trigonal (2) Octahedral (3) Square planar (4 ...
brainly.in
Coordination Compounds - JEE Advanced Previous Year Questions with ...
esaral.com
Which of the following molecules/ions can exhibit isomerism? (i ...
tardigrade.in
Which of the following molecules/ions can exhibit isomerism? (i ...
tardigrade.in
Geometrical shapes of the complexes formed by the reaction of Ni2+ with ...
tardigrade.in
Which of the following is a square planar complex?
tardigrade.in
Tetrahedral Void: Characteristics, Structure, Relative Radius
allen.in
Select the correct matching - LIst I (Metal ions List II Magnetic ...
tardigrade.in
Draw cis- and trans-isomers of [Pt(NH3)2Cl2]. - Wired Faculty
wiredfaculty.com
SATHEE: Coordination Compounds
satheejee.iitk.ac.in
Match the List I with the List II and select the correct answer using ...
tardigrade.in
Complexes (ML5) of metals Ni and Fe have ideal square pyramidal and ...
tardigrade.in
The correct structure of Fe(CO)5 is - | Shaalaa.com
shaalaa.com
Which of the following statements is/are correct? (i) In octahedral ...
tardigrade.in
Which hybridisation leads to square pyramidal structures? - Brainly.in
brainly.in
The geometry of `XeOF_(4)` by VSEPR theory is
allen.in
Which of the following molecules/ions can exhibit isomerism? (i ...
tardigrade.in
Draw the figure to show the splitting of ‘d’ orbitals in octahedral ...
brainly.in
VSEPR Theory: Definition, Postulates and Limitations - Chemistry Class ...
edurev.in
Valence Shell Electron Pair Repulsion- Postulates, Shapes of Molecules ...
allen.in
Coordination Compounds - JEE Advanced Previous Year Questions with ...
esaral.com
Sketch the energy diagram of crystal field splitting in an octahedral ...
brainly.in
What is the difference between square planar and square pyramidal shape ...
ask.learncbse.in
Which of the following molecules/ions can exhibit isomerism? (i ...
tardigrade.in
What is the difference between square planar and square pyramidal shape ...
ask.learncbse.in
Select the correct matching - LIst I (Metal ions List II Magnetic ...
tardigrade.in
Match the compounds given in column I with the hybridisation and shape ...
tardigrade.in
Synthesis, structure, spectral and electron-transfer properties of ...
repository.ias.ac.in
Match the columns and choose the correct option from the codes given ...
tardigrade.in
Explain MO energy level diagram for octahedral complex (Co(NH\u00B3)6 ...
scoop.eduncle.com
Match the compounds given in Column I with the hybridisation, shape ...
tardigrade.in
Match the compounds given in Column I with the hybridisation, shape ...
tardigrade.in
Match the compounds given in Column I with the hybridisation, shape ...
tardigrade.in
IN a regular octahedral molecule MX6, the number of X-M-X bonds at 180 ...
brainly.in
In a regular octahedral molecule, MX6 the number of X-M-X bonds at 180° is
tardigrade.in
The anti-cancer drug cis-platin has the formula Pt(NH3)2Cl2. There is ...
brainly.in
In `XeF_(6)`, oxidation state and of hybridisation of Xe and shape of ...
allen.in
explain the shape of following using vesper theory Br3- - Brainly.in
brainly.in
The geometry of XeOF4 by VSEPR theory is : - Tardigrade
tardigrade.in
Square Planar Complexes - Coordination Chemistry - Inorganic Chemistry ...
edurev.in
Among the following statements:- I. PCl5 is trigonal bipyramidal ...
tardigrade.in
Which of the following statement(s) is `//` are false
allen.in
Identify the pair in which the geometry of the species is T-shape and ...
tardigrade.in
Square-planar geometry is shown by - Tardigrade
tardigrade.in
Compound with the geometry square pyramidal and s p3 d2 hybridisation is
tardigrade.in
[Download PDF] JEE (Advanced) 2011 Paper-1 Paper with Solutions
cracku.in
Explain substitution reactions of square planar complexes - Brainly.in
brainly.in
Important Coordination Compounds Formulas for JEE and NEET
edurev.in
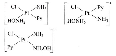
For the square planar complex, [ Pt ( NH 3)( NH 2 OH ) Py ( NO 2 ...
tardigrade.in
Match the compounds given in column I with the hybridisation and shape ...
tardigrade.in
A square planar complex represented as:
tardigrade.in
Draw all the isomers (geometrical and optical) of[Co(NH3)2Cl2(en ...
wiredfaculty.com
The shape of `IF_5` is
allen.in
Field Induced Single Ion Magnetic Behaviour in Square-Pyramidal Cobalt ...
mdpi.com
A square planar complex represented as:
tardigrade.in
Square Planar Complexes - Coordination Chemistry - Inorganic Chemistry ...
edurev.in
The number of geometric isomers that can exist for square planner ...
allen.in
Square Planar Complexes - Coordination Chemistry - Inorganic Chemistry ...
edurev.in
Match the columns and choose the correct option from the codes given ...
tardigrade.in
The shape of XeF5^ - will be: A.square pyramidal B.trigonal bipyramidal ...
brainly.in
Write all the geometrical isomers and how many of these will exhibit ...
ask.learncbse.in
The structure of `IF_5` can be best described
allen.in
Explain the shapes of brf5. - Brainly.in
brainly.in
IUPAC Nomenclature of Coordination Compounds Free MCQ Practice Test ...
edurev.in
The total number of isomers for a square planar
esaral.com
Hydrogen Impact: A Review on Diffusibility, Embrittlement Mechanisms ...
mdpi.com
The complex ion [Co(NH3)6]3+ is formed by sp3d2 hybridisation. Hence ...
edurev.in
Interplanar spacing,simple crystal structure - 10 INTERPLANAR SPACING c ...
studocu.com
Square planar complexes of the type MABXL (where A, B, X and L are ...
tardigrade.in
Geometry of S56 is ____ ? A. octahedral B. square plannar C. square ...
brainly.in
Cis-trans isomerism is found in square planar complexes of the ...
tardigrade.in
The complex ion [Co(NH3)6]3+ is formed by sp3d2 hybridisation. Hence ...
edurev.in
The complex ion [Co(NH3)6]3+ is formed by sp3d2 hybridisation. Hence ...
edurev.in
The structure of `IF_5` can be best described
allen.in
The square planar complex [IrCl(PPh3)3] undergoes oxidative addition of ...
edurev.in
Match the following columns and choose the correct option from the ...
tardigrade.in
[Download PDF] JEE (Advanced) 2011 Paper-1 Paper with Solutions
cracku.in
Four point charges, each of `+q`, are rigidly fixed at the four corners ...
allen.in
The central metal ion in the complex makes available a number of empty ...
allen.in
For the square planar complex [Mabcd] (where M = central metal and a, b ...
tardigrade.in
The shape of the compounds like ClF3, BrF5, XeF4 and SF4, respectively ...
edurev.in
Related Searches
Square Pyramidal Molecule
Square Pyramidal VSEPR
Square Pyramidal Structure
Hybridization of Square Pyramidal
Square Pyramidal Shape
Square Pyramidal Geometry
Square Bipyramidal
Square Pyramidal Chemistry
Capped Octahedral
Octahedral Bond Angle
Square Pyramidal Molecular Structure
Trigonal Pyramidal VSEPR
Square Pyramid Molecular Geometry
Square Pyramidal Lewis Structure
Octahedral Square Bi Pyramidal
Square Pyramidal Molecule Examples
Square Pyramidal Angles
Octahedral Compounds
Bond Angle for Square Pyramidal
Square Antiprismatic
CIS Octahedral
Square Pyramidal Coordination
Octahedral with 1 Lone Pair
Pyramidal Chem
Square Pyramidal Polar or Nonpolar
Tetrahedral Complex
Brf4- Molecular Geometry
Example of Octahedral Molecule
Distorted Square Pyramidal
Square Octahedron
Octahedral Square Pyramial Example
If4 Electron Geometry
BrF5 Electron Geometry
Square Pyramidal Molecue
Square Based Pyramid
Octahedron Graph
Tecl3 Lewis Structure
Octahedral Electron Domain
Capped Octahedral and Square Pyramidal Are Different Shape
Square Pyramidal Symemtry
SF6 Octahedral Geometry
Square Antiprism Molecule
Octahedral and Square Bipyramid
Square Planar Chem
Square Pyramidal Bond Angle
Octahedral Molecular Shape
Square Pyramidal MO Diagram
Square Pyramidal Hybridization
Octahedral Pyramid
Square Bipyramidal vs Octahedral
Search
×
Search
Loading...
No suggestions found