Find Your Style
Women
Men
Accessories
Search for clothing, brands, styles...
×
Women
Men
Accessories
Ohmic Drop Cell
Search
Loading...
No suggestions found
Ohmic Contacts - Definition, Energy band diagram, Construction, Working ...
ece.poriyaan.in
The Difference in the Effects of IR-Drop from the Negative Capacitance ...
mdpi.com
Electric Cell : E.M.F., Terminal Potential, Internal Resistance ...
chemistrypage.in
A cell having an emf E and internal resistance r is connected across a ...
allen.in
Ohmic contacts - Definition, Diagram, Working Principle, VI ...
eee.poriyaan.in
Ohmic contacts - Definition, Diagram, Working Principle, VI ...
eee.poriyaan.in
New PEDOT Derivatives Electrocoated on Silicon Nanowires Protected with ...
mdpi.com
Flow-Injection Amperometric Determination of Tacrine based on Ion ...
mdpi.com
Ohmic contacts - Definition, Diagram, Working Principle, VI ...
eee.poriyaan.in
Investigations on the Cosputtered ITO-ZnO Transparent Electrode Ohmic ...
mdpi.com
Key Issues and Strategies of Aqueous Zinc-Ion Batteries
mdpi.com
Ohmic Contacts - Definition, Energy band diagram, Construction, Working ...
ece.poriyaan.in
Ohmic Contact to n-GaN Using RT-Sputtered GaN:O
mdpi.com
Lithium-ion Battery Internal Resistance Testing | Manufacturing ...
hioki.com
Ohmic Contacts - Definition, Energy band diagram, Construction, Working ...
ece.poriyaan.in
The Difference in the Effects of IR-Drop from the Negative Capacitance ...
mdpi.com
A cell has internal resistance of one ohm and its e.m.f. is balanced ...
toppr.com
Impact of Relaxation Time on Electrochemical Impedance Spectroscopy ...
mdpi.com
Buy 10 PCS Strain Gauge, Icstation Foil Resistance Strain Gauge Sensor ...
ubuy.co.in
Analysis of Hybrid Ship Machinery System with Proton Exchange Membrane ...
mdpi.com
24 cells each of internal resistance 0.5 ohm and e.m.f 1.5v are used to ...
brainly.in
Impact of Relaxation Time on Electrochemical Impedance Spectroscopy ...
mdpi.com
Two cells of emf 1.5 and 2 volt having internal resistance 0.2and 0.3 ...
brainly.in
Electrophoretic Deposition of Gallium with High Deposition Rate
mdpi.com
Buy 10 PCS Strain Gauge, Icstation Foil Resistance Strain Gauge Sensor ...
ubuy.co.in
10 PCS Foil Resistance Strain Gauge Sensor 350 ohm India | Ubuy
ubuy.co.in
Influence of Switching on the Aging of High Power Lithium-Ion Cells
mdpi.com
Conductivity Electrodes from Cole-Parmer India
coleparmer.in
Ohmic contacts - Definition, Diagram, Working Principle, VI ...
eee.poriyaan.in
Buy 10 PCS Strain Gauge, Icstation Foil Resistance Strain Gauge Sensor ...
ubuy.co.in
In the circuit shown below, the cell has an e.m.f. of `10 V` and ...
allen.in
Buy 10 PCS Strain Gauge, Icstation Foil Resistance Strain Gauge Sensor ...
ubuy.co.in
In the circuit shown the cells `A` and `B` have negligible resistance ...
allen.in
Draw a schematic diagram of a circuit consisting of a battery of three ...
esaral.com
Given in fig is the circuit Diagram in which three resistors 1 ohm,2ohm ...
brainly.in
Cole-Parmer C527-3-1-10T Conductivity Cell; K=0.1, SS, Swage; 100 Ohm ...
coleparmer.in
In the circuit diagram given below, three resistors `R_(1),R_(2)`, and ...
allen.in
How to Drag and Drop Cells in Excel 2016?
utkaliit.in
Draw a schematic diagram of a circuit consisting of a battery of three ...
allen.in
draw a schematic diagram of circuit consisting of a battery of four 2 V ...
brainly.in
plz answer ASAPA cell when connected to an external resistance of 2 ...
brainly.in
Two cells of emf1.25V , 0.75V and each of internal resistance1andOmega ...
edurev.in
in the circuit shown below each cell has emf 2v and internal resistance ...
brainly.in
Two cells having emf 4V and 2V and internal resistance 1Ω and 1Ω are ...
brainly.in
figure below show 3 ohm resistor and 6 ohm resistor connected in ...
brainly.in
1)when a cell is connected to an external resistance 2 ohm. Current ...
edurev.in
When a certain conductivity cell was filled with 0-05 M KCl solution ...
brainly.in
100 cells each of emf 5V and internalresistance 1 ohm are to be ...
brainly.in
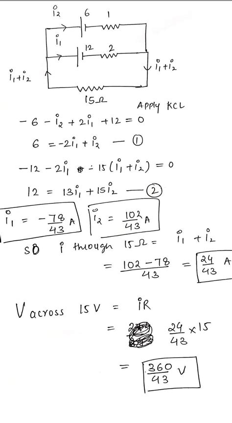
The voltage drop across 15 `omega` resistance in the given figure will ...
allen.in
A 200 ohm resistor, a voltmeter and a 2.0 V cell of negligible internal ...
brainly.in
The current-voltage graph for a given speciment at two different ...
allen.in
Poynting Vector and Poynting Theorem - Electromagnetic Waves
eee.poriyaan.in
Four cells of emf 1V, 2V, 3V and 4V are connectedin parallel as shown ...
brainly.in
find the current flowing through the following electric circuit. find ...
brainly.in
A cell of emf 1.5V internal resistance 1 ohm is connected to the ...
brainly.in
The EMF of a cell is 10 V and its internal resistance is 2 ohm. The ...
brainly.in
Fntcase For Samsung Galaxy A16 5g Case Dual Layer Protective ...
desertcart.in
Cole-Parmer Conductivity Cell; K=10; Epoxy, In-line; 100 Ohm Pt RTD ATC ...
coleparmer.in
BF350 precision resistance strain gages for strain gauge pressure sens ...
inkocean.in
Given in fig. Is the circuit diagram in which three resistors of 1 ohm ...
brainly.in
The aim of the experiment to show the difference between ohmic and non ...
brainly.in
Buy Load Cell Online in India at Best Price — Rudrra Sensor
rudrrasensor.com
The circuit diagram below shows a cell of emf 1.5 V and internal ...
brainly.in
Buy 10K Ohm NTC Thermistor Online – QuartzComponents
quartzcomponents.com
Buy 10 PCS Strain Gauge, Icstation Foil Resistance Strain Gauge Sensor ...
ubuy.co.in
find the current flowing through the following electric circuit. find ...
brainly.in
calculate the drop across 150 ohms resistor. - Brainly.in
brainly.in
Electrochemical Properties of Nitrate-Selective Electrodes: The ...
mdpi.com
Evaluation of a Pre-Filled Table and a Flowchart-Based Algorithm as ...
mdpi.com
24 cells each of internal resistance 0.5 ohm and e.m.f 1.5v are used to ...
brainly.in
AC Through Pure Resistance alone - Electrical Circuits
mech.poriyaan.in
Silicon Controlled Rectifier (SCR) - Construction, Principle of ...
eee.poriyaan.in
the resistance of 0.01 M NaCl in a conductivity cell is 210 ohms the ...
brainly.in
The resistance of a conductivity cell containing 0.001 m KCl solution ...
brainly.in
Three identical cells,each of emf 2V and internal resistance 0.2 ohms ...
brainly.in
draw circuit diagram of an electric current containing a cell ok and ...
brainly.in
when a resistance of 4 ohm is connected to a cell then a 2 amphere ...
brainly.in
a resistance of 0.01N Nacl solution at 25degree is 200 ohm cell ...
brainly.in
Buy Pure Resonance Audio SD5 SuperDispersion Omnidirectional Drop Tile ...
desertcart.in
Draw a circuit diagram consisting of a battery of four cells each of 2 ...
brainly.in
Identify VI graph for ohmic and non ohmic materials - Brainly.in
brainly.in
Ohmic Heating in the Food Industry: Developments in Concepts and ...
mdpi.com
Plant Cell Diagram, Structure, Types and Functions
careerpower.in
two cells E1 and E2 in the given circuit diagram have an EMF of 5 volt ...
brainly.in
A.C. Through Pure Inductance alone - Electrical Circuits
mech.poriyaan.in
Design of eccentric connections with brackets - Unit-IV DESIGN OF ...
studocu.com
A student is asked to connected four cells ofe.m.f of 1 V and internal ...
brainly.in
Two cells of emf 3v and 2v and internal resistance 1.5 ohm and 1 ohm ...
brainly.in
In the adjoining circuit, the e.m.f. of the cell is 2 volt and the ...
allen.in
A cell of emf 1.5V internal resistance 1 ohm is connected to the ...
brainly.in
Two cells having emf 4V and 2V and internal resistance 1Ω and 1Ω are ...
brainly.in
A cell of emf (E) and internal resistance r is connected across a ...
brainly.in
Draw a schematic diagram of a circuit consisting of a battery of three ...
brainly.in
a cell of EMF 2 volt and internal resistance 0.1 ohm is connected to a ...
brainly.in
Ohmic Contacts - Definition, Energy band diagram, Construction, Working ...
ece.poriyaan.in
[Best Answer] Two cells of emf 2v and 4v and internal resistance 1 ohm ...
brainly.in
Two cells of e.m.f 6v and 12 v and internal resistance’s 1 ohm and 2 ...
brainly.in
AnimealCELL-PET AQUATIC DROP - Upto 15% Off - Animeal
animeal.in
One 3 ohm resistor and 6 ohm resistor are connected in parallel across ...
brainly.in
Resistance of conductivity cell Filled with a solution of an ...
edurev.in
PDF] Stability And Placement Of Ag/AgCl Quasi-Reference, 57% OFF
iiitl.ac.in
When a certain conductivity cell was filled with 0-05 M KCl solution ...
brainly.in
A cell with internal resistance 2.5 ohm is balanced across 450 cm ...
brainly.in
the potential difference across the 3 ohm resistance in the following ...
brainly.in
Draw a schematic diagram of a circuit consisting of a cell of 1.5 V ,10 ...
brainly.in
three resistors 1 ohm, 2 ohm, 3 ohm in series the combination is ...
brainly.in
Two cells emfs 3V and 4V and internal resistance of 1 ohm and2 ohm ...
edurev.in
four cells, each of EMF 2 volt and internal resistance 2 ohm are ...
brainly.in
DROP Sennheiser HD 8XX Flagship Over-Ear Audiophile India | Ubuy
ubuy.co.in
four cells, each of EMF 2 volt and internal resistance 2 ohm are ...
brainly.in
2 cells of emf 6v and 4v internal reistance 3 ohm ans 2 ohm ...
brainly.in
medkuff-cp drop Medset Pharma
company.pharmahopers.com
3d rendering cosmetic serum oil drop on saggy skin cell skin repair ...
freepik.com
Flow-Injection Amperometric Determination of Tacrine based on Ion ...
mdpi.com
in the circuit shown below, the cell has an e.m.f of 10V and internal ...
brainly.in
NUCON SWITCH GEARS PVT. LTD.
nucon.co.in
Draw a Schematic diagram of a circuit consisting of a battery of 6 ...
brainly.in
Draw a circuit diagram which depicts two resistor R1 and R2 connected ...
brainly.in
A conductance cell was filled with a 0.02 M KCl solution which has a ...
edurev.in
Buy Ohm's Law Electrical Math and Voltage Drop by Tom Henry Online at ...
ubuy.co.in
Related Searches
Ohmic
Ohmic Curve
Charge/Discharge Curve
Ohmic Range
Cyclic Voltammetry
Electrochemical Polarization
Ohmic I-V Curve
Ohmic Potential
Ohmic Behavior Graph
Ohmic Voltage Drop
Ohmic Overvoltage
Zir Drop Table
Ohmic Substances
Ohmic Component
Soil Electrical Conductivity
Drop Anode
Ohmic Lod Curve
Drop Fe Sency
Ohmic Loss Diagram
Ohmic Ftir
Gaas Ohmic Resistivity
Ohmic Polarization in CV
Ohmic Heating Electrodes
IR Drop Table
Ferrocene Cyclic Voltammetry
Drop and Dirt Defects
Ohmic Measurement Diagram
Ohmic Damping
Types of Currents Ohmic EDM
Drop in Between Electrodes
What Is Salt Water Ohmic Resistane
Ohmic Resistance Measurement Tools
N Plus Ohmic Regrowth
Non-Ohmic Conductor Graph
Non-Ohmic Conductor Example
Ohmic Circuit
Types of Potential Drop
Ohmic Drop Cyclic Voltammetry
Electrokinetic Remediation
Mi0 Drops Electrolytes
Voltage Polarization
Ohmic Bloomee
Ohmic Resistance
High Ohmic
Ohmic Polarization
COMSOL Eye Drop
Ohmic IV
Ohmic Potential Drop
Ohmic Drop Salt Bridge
Ohmic Over Potential in Electrochemical System Equation
Search
×
Search
Loading...
No suggestions found