Find Your Style
Women
Men
Accessories
Search for clothing, brands, styles...
×
Women
Men
Accessories
Ozempic Kids Before And After
Search
Loading...
No suggestions found
INR To Yen Conversion: An All Inclusive Guide For 2026
traveltriangle.com
Ducati Panigale V4 R Launched in India: priced at INR 51.87 lakh » Car ...
carblogindia.com
PM Modi's Office Thanks A 10-Year-Old Who Donated INR 1000 To His Fund ...
indiatimes.com
Pain in the Kidney After Caffeine and Sugar
everydayhealth.com
Buying Weight Loss Drugs from LillyDirect: What to Know
everydayhealth.com
Patients in Denmark compensated for vision loss linked to Novo’s Wegovy ...
in.investing.com
Weight Rebound After Ozempic? Here's How to Keep It Off
medicallyspeaking.in
Anticoagulation in Acute Pulmonary Embolism: Which Drug? How Long ...
universimed.com
Can occupational therapy help preterm babies for real? | Health ...
onmanorama.com
Jaw-dropping transformation: Chicago woman looks unrecognizable after ...
msn.com
CHAMPION PLAYGROUND - ANTEA (2026) All You Need to Know BEFORE You Go ...
tripadvisor.in
CHAMPION PLAYGROUND - ANTEA (2026) All You Need to Know BEFORE You Go ...
tripadvisor.in
CHAMPION PLAYGROUND - ANTEA (2026) All You Need to Know BEFORE You Go ...
tripadvisor.in
FUNFINITY ENTERTAINMENT (2026) All You Need to Know BEFORE You Go (with ...
tripadvisor.in
Current Perspectives on Management of Type 2 Diabetes in Youth
mdpi.com
Urinary Abnormalities in Children Before and After Birth
medtalks.in
`Can`t be seen with shirt off`: R Madhavan shares strict rules for son ...
msn.com
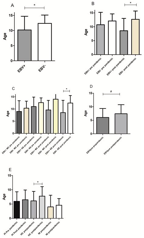
Pandemic-Driven Shifts in Epstein-Barr Virus (EBV) Epidemiology: Single ...
mdpi.com
Medicube Age-R Booster H - Korean No.1 Skin Care India | Ubuy
ubuy.co.in
Medicube Age-R Booster H - Korean No.1 Skin Care India | Ubuy
ubuy.co.in
A1C for Ozempic: What You Need to Know Before Getting a Prescription
dermatologistfaridabad.in
Urinary Abnormalities in Children Before and After Birth
medtalks.in
COVID-19 Pandemic and Eating Disorders among University Students
mdpi.com
Urinary Abnormalities in Children Before and After Birth
medtalks.in
Glutathione Forte | Get Glowing Skin | Healeo Nutrition
healeo.in
Winter and Child Health
hcp.medtalks.in
Eye Care for All Age Groups
hcp.medtalks.in
Challenges Addressing Inequalities in Measles Vaccine Coverage in ...
mdpi.com
Childhood: Then v/s Now
indiatimes.com
Insulin 100 years
novonordisk.co.in
Before and After Concept Activity Pack | Sequencing Pack
twinkl.co.in
Pemvidutide, a New Weight Loss Drug, Hopes to Take on Ozempic
everydayhealth.com
The Unbelievable Stories About the Children of Gaza | NewsClick
newsclick.in
Toddler runs in terror after 'Grinch' surprises her during Christmas ...
ktvu.com
Ozempic forced to cut prices after problem emerges
msn.com
The Science of Keto: How Adamaris Lopez’s Weight Loss Journey Can Help ...
imtma.in
Oprah Winfrey Exits Weight Watchers Board After Weight Loss Drug Use
eonline.com
KidsNest.in
kidsnest.in
Before And After Picture Cards (teacher made) - Twinkl
twinkl.co.in
The Indian School
theindianschool.in
Fascinating History Of The Indian Rupee And It’s Evolution
indiatimes.com
Challenges Addressing Inequalities in Measles Vaccine Coverage in ...
mdpi.com
SACRED VALLEY (2026) All You Need to Know BEFORE You Go (with Photos ...
tripadvisor.in
Sewer Bill | City of Reno
reno.gov
SACRED VALLEY (2026) All You Need to Know BEFORE You Go (with Photos ...
tripadvisor.in
Hip dysplasia & preservation :: Dr Deepak khurana- Paediatric ...
jcpods.in
SACRED VALLEY (2026) All You Need to Know BEFORE You Go (with Photos ...
tripadvisor.in
The Sensitive Periods of Child Development
arirotoys.com
Unravels- The Relevance of Low Dose Modern SU in New Age- Management of ...
hcp.medtalks.in
Childhood: Then v/s Now
indiatimes.com
R Praggnanandhaa Elated After Anand Mahindra’s Gesture Of Fulfilling ...
in.mashable.com
News
kolotv.com
194 R-Applicability on doctors
hcp.medtalks.in
VKIDS | Play School | Preschool | Day Care | Whitefield | Bangalore
vkids.in
👉 Outdoor Activity Ideas - Sports Nursery Ideas
twinkl.co.in
Buy Visual Timetable, Children Visual Now and Next Board Learning Aids ...
desertcart.in
Fillable Online Roselle Park District Club Kids: Before and After ...
pdffiller.com
Respiratory Health in Winters
hcp.medtalks.in
Kristi Noem Before And After
email.titechnologies.in
Why Educators Need to Put Maslow Before Bloom | Bloom Taxonomy in ...
iitms.co.in
Bacteria | Bacteria Facts for Kids | Shapes of Bacteria
twinkl.co.in
Saru Matriculation Higher Secondary School
saruindia.com
2 children die, 3 seriously injured after goods vehicle mows them down ...
english.varthabharati.in
How to treat your baby's congestion | BabyCenter
babycenter.com
Child Labor During The Industrial Revolution [1 min read]
fairgaze.com
Whitehirst Nursery
whitehirstnursery.declan.in
After School Home Activities Planner - Parents
twinkl.co.in
Buy Physical Fitness Mental Health Before and After R Book Online at ...
amazon.in
Kids R Kids Calendar - Fill Online, Printable, Fillable, Blank | pdfFiller
pdffiller.com
Tata Steel Chess 2025: D Gukesh becomes new World No. 3 as R ...
msn.com
Fans Worried As New Pics Of Rajkummar Rao Convince Them That He Has ...
mensxp.com
Dr. Arbinder Singal | Medtalks
hcp.medtalks.in
Who Is R Praggnanandhaa, The Young Indian Chess Grandmaster?
augustman.com
Looking after our environment poster junior/senior
twinkl.co.in
Childhood: Then v/s Now
indiatimes.com
VKIDS | Play School | Preschool | Day Care | Whitefield | Bangalore
vkids.in
Whitehirst Nursery
whitehirstnursery.declan.in
IPL 2024: CSK coach back Ravindra Jadeja to find form before crucial ...
insidesport.in
Grade R / Grade 1 - Worksheet: Safe or Unsafe (CAPS Aligned)
twinkl.co.in
Ozempic Pricing in South Africa: What You Should Know Before Visiting ...
tase.org.in
The Wire: The Wire News India, Latest News,News from India, Politics ...
thewire.in
3 Best Gastroenterologists in Thane - Expert Recommendations
threebestrated.in
Stages of Loss and Grief Death Display Poster - Stages of Loss and ...
twinkl.co.in
👉 Using the Toilet Reminder Posters (teacher made)
twinkl.co.in
Who Is R Praggnanandhaa, The Young Indian Chess Grandmaster?
augustman.com
Celebs who fathered kids after 50 Pics | Celebs who fathered kids after ...
photogallery.indiatimes.com
R Praggnanandhaa shocks world no.1 Magnus Carlsen: All you need to know ...
zeenews.india.com
Stolen Children: The Dark Truth About Native American Boarding Schools ...
thevintagenews.com
Gukesh to face challenges from World No. 1 Magnus Carlsen and ...
insidesport.in
Buy Think Before You Post - Laminated, 17 x 22 inches - Bullying s for ...
desertcart.in
Stars Before & After Cosmetic Surgeries Pics | Stars Before & After ...
photogallery.indiatimes.com
Tata Steel 2023 R10: Gukesh bests Praggnanandhaa, Carlsen makes a ...
chessbase.in
Hamsa Beach Resort | Perupalem - Jollyday Tours
jollydaytours.com
Children Evaluation Form (teacher made)
twinkl.co.in
Weather and Seasons Display Chart (teacher made)
twinkl.co.in
Dog Facts for Kids - Twinkl Homework Help - Twinkl
twinkl.co.in
Pothys Boutique | LBB
lbb.in
पूर्व विश्व शतरंज चैंपियन गैरी कास्पारोव ने FIDE WC फाइनल में पहुंचने ...
ndtv.in
durable power of attorney after death Forms and Templates - Fillable ...
pdffiller.com
A bacteria population starts with 400 bacteria and grows at a rate of r ...
brainly.in
Children's Weather Chart for Classrooms - Primary Resource
twinkl.co.in
A particle is moving in a circular path of radius r. What would be the ...
ask.learncbse.in
The age of the father is twice the sum of the children. After 20 years ...
brainly.in
12 Best Gyms In Kolkata You Must Try | LBB
lbb.in
Sports Shorts: Bhat, Varma in pre-quarter-finals of NZ Open - Rediff Sports
rediff.com
FIDE Chess: Meet R Praggnanandhaa, the first Indian after Viswanathan ...
economictimes.indiatimes.com
Voorkoms Vegetables Names Learning Chart Posters for Kids Room School ...
amazon.in
Stars Before & After Cosmetic Surgeries Pics | Stars Before & After ...
photogallery.indiatimes.com
Write a formal letter to the editor of a magazine, commenting on ...
brainly.in
VKIDS | Play School | Preschool | Day Care | Whitefield | Bangalore
vkids.in
Celebs who fathered kids after 50 Pics | Celebs who fathered kids after ...
photogallery.indiatimes.com
Ladli Scheme for Girls: Benefits, Eligibility, All You Need To Know ...
herzindagi.com
Celebs who fathered kids after 50 Pics | Celebs who fathered kids after ...
photogallery.indiatimes.com
School of Stocks - Technical Analysis of Currencies
fyers.in
Buy Hasbro GamingMonopoly: Disney Tim Burton's The Nightmare Before ...
desertcart.in
Buy Vegetal Safe Hair Color - Soft Black 50gm - Certified and y Free ...
desertcart.in
After UCC, nobody will be able to marry 4 women and beget 25 kids ...
english.varthabharati.in
Celebs who fathered kids after 50 Pics | Celebs who fathered kids after ...
photogallery.indiatimes.com
Celebs who fathered kids after 50 Pics | Celebs who fathered kids after ...
photogallery.indiatimes.com
Related Searches
Ozempic Body Before and After
Ozempic Before and After Pictures
Ozempic Drugs Before After
Ozempic Before and After Two Months
Ozempic Face Before After
Celebrities Before After Ozempic
Ozempic Users Before and After
Ozempic Patient Before and After
Ozempic Before and After Men
Avery Before and After Ozempic
Ozempic Before and After Back
Ozempic Before and After 1 Month
Ozempic for Weight Loss Before and After
Ice Spice Before and After Ozempic
Ozempic Before and After Time Frame
Ozempic for Kids
People On Ozempic Before and After
Scary Ozempic Before and After
Ozempic Prgenancy Kids
Ozempic Stories Before and After
Before vs After Ozempic
Drake Ozempic Before and After
Ozempic Adolescents Before and After
Ozempic B4 and After
Ozempic Before and After Over 50
Ozempic Injection Before and After
Before and After Ozempic Meme
Ozempic Approved for Kids
Avery Singer Before After Ozempic
Ozempic Before and After Male
Ozempic MicroDose Before and After
Stopping Ozempic Before and After
Ozempic Before and After Gabe Newell
Ozempic 4 Weeks Before and After
Ozempic Face Before and After Colibrim
Ozempic Side Effects Before and After
Lcay Before Ozempic
Ozempic Barbie
Ozempic Coupon for Kids
Board Panda Ozempic Before and After
Ozempic Teaching Pictures
James Gordon Before and After Ozempic
Ozempic Before and After When You Go Too Far
Ozempic Before and After Photos That Look Bad
Singer Avery Says Ozempic Before and After Pictures
Albama Baker Before Ozempic
Post Ozembic Body
Ozempic for Children
I'm On Ozempic Kid
Ozempic Changes the Structure
Search
×
Search
Loading...
No suggestions found