Find Your Style
Women
Men
Accessories
Search for clothing, brands, styles...
×
Women
Men
Accessories
P80 Particle Size Calculation
Search
Loading...
No suggestions found
A Production and Fractionation Protocol for Polyvinyl Chloride ...
mdpi.com
Characterization of Particle-Size-Based Homogeneity and Mycotoxin ...
mdpi.com
Understanding & Interpreting Particle Size Distribution Calculations
horiba.com
Understanding & Interpreting Particle Size Distribution Calculations
horiba.com
Impact of Silicon Content and Particle Size in Lithium-Ion Battery ...
mdpi.com
An alpha particle with kinetic energy `10 Me V` is heading toward a ...
allen.in
Effects of Particle Size Distribution with Efficient Packing on Powder ...
mdpi.com
Sizes of Particles and their Properties - Chemistry for Grade 10 PDF ...
edurev.in
Indian Standard Soil Classification system (ISSCS)
apsed.in
Dislocation Interactions with Hcp- and χ-Phase Particles in Tungsten ...
mdpi.com
Particle Count, Particle Count Test,
atlaslab.in
CFD-Based Structural Optimization of Rotor Cage for High-Efficiency ...
mdpi.com
How to choose an instrument for particle analysis | Anton Paar Wiki
wiki.anton-paar.com
Impact of Silicon Content and Particle Size in Lithium-Ion Battery ...
mdpi.com
de Broglie Wavelength- Definition, Equation, Derivation, Examples
adda247.com
Effect of Different Feed Particle Size on Gastrointestinal Tract ...
mdpi.com
How to analyze paint and coating parameters | Anton Paar Wiki
wiki.anton-paar.com
Analysis of Particle Size Distribution of Coke on Blast Furnace Belt ...
mdpi.com
Soil Classification and Particle Size Distribution - Soil Mechanics ...
edurev.in
Analysis of Particle Size Distribution of Coke on Blast Furnace Belt ...
mdpi.com
Experimental Study on the Particle Size and Weight Distribution of the ...
mdpi.com
Particle Size Analyzer
iitk.ac.in
Alpha particle scattering and Rutherford's atomic model-Observations ...
aakash.ac.in
Buy Sample Size Calculations in Clinical Research (Chapman & Hall/CRC ...
amazon.in
Construction Blog Posts | Civil Engineering Blog Topics
constructionnews.co.in
A particle of mass m is confined in the potential v(x)= { * for x > 0 ...
scoop.eduncle.com
A particle is moving on a circular path of radius r with uniform speed ...
edurev.in
P80 Electrode Nozzle, P80 Nozzle, Tips Electrode Flexible to Operate ...
amazon.in
Optimal Design of the Gating and Riser System for Complex Casting Using ...
mdpi.com
Power Difference between two independent sample proportions: Help
drsm.in
Buy Sample Size Calculations in Clinical Research (Chapman & Hall/CRC ...
amazon.in
The position vector of a particle R vector is as a function of time t ...
brainly.in
Three particles P, Q and R are situated at pointA on the circular path ...
brainly.in
Sample Size Calculations - Not too little, not too much, just right ...
amazon.in
The displacement of a particle is represented by the equation y=asin(wt ...
scoop.eduncle.com
AUSTOR 80 Grit Sandpaper Roll for Automotive and India | Ubuy
ubuy.co.in
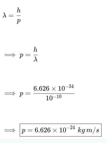
calculate the momentum of a particle which has de broglie wavelength of ...
brainly.in
Logarithm Formula- Explanation, Types, Properties, Examples
adda247.com
Calculate the number of particles in each of the following: (a) 48 g of ...
ask.learncbse.in
Mole Concept- Definition, basic formulas and Questions related to Mole ...
allen.in
Sample Size Calculations in Clinical Research eBook : Chow, Shein-Chung ...
amazon.in
Influence of Flour Particle Size Distribution on the Quality of Maize ...
mdpi.com
IRR - Definitions, Uses, Formulas with Examples
financiallearning.co.in
The wave function of a free particle of mass m, constrained to move in ...
scoop.eduncle.com
A particle moving in a circle of radius R with a uniform speed takes a ...
edurev.in
C) 2= hrpg the probability that a particle in a 1d box of length l is ...
scoop.eduncle.com
The principles of dynamic light scattering | Anton Paar Wiki
wiki.anton-paar.com
displacement in metres of a particle moving along x-axis is given by X ...
brainly.in
How To Choose The Right Sandpaper Grit And Type Bob Vila, 45% OFF
elevate.in
A particle of mass m is suspended from a ceiling through a string of ...
tardigrade.in
How much amount of sulphur can be obtained? - Brainly.in
brainly.in
engineering tips for students | construction tips and tricks
constructioncivilengineering.com
What is a Particle? - Answered | Twinkl Teaching-wiki
twinkl.co.in
Experimental Study on the Particle Size and Weight Distribution of the ...
mdpi.com
Buy Techniques for Nuclear and Particle Physics Experiments: A How-to ...
amazon.in
Design of RCC Column | RCC Column with Foundation
constructioncivilengineering.com
Pile Cap Construction Method | Volume Of Pile Cap | Pile Cap Design
constructioncivilengineering.com
Part-a a particle is moving in one dimensional box between x= a and x ...
scoop.eduncle.com
A particle moving in a circle of radius R =3m with an angular speed of ...
brainly.in
quark in physics: Definition, Types and Importance | AESL
aakash.ac.in
Steel Calculation For Circular RCC Slab | Slab Steel Calculation
constructioncivilengineering.com
A particle is moving in a circular path of radius r. What would be the ...
ask.learncbse.in
What is difference between fundamental particles and elementary ...
scoop.eduncle.com
A proton carrying 1 MeV kinetic energy is moving in a circular path of ...
brainly.in
Amazon.in: Buy Foldable Bluetooth Keyboard with Touchpad - Samsers ...
amazon.in
Find the value of normalization constant a for the wave function, )= axe\"?
scoop.eduncle.com
CRF Instrument Booking
crf.cens.res.in
Research on Suspended Particle Size Measurement Based on Ultrasonic ...
mdpi.com
200 Mesh 0.074mm Aperture Lab Standard Test Sieve Stainless Steel 20cm ...
amazon.in
Buy Sample Size Calculations in Clinical Research (Chapman & Hall/CRC ...
desertcart.in
The work done in adiabatic compression of 2 mole of an ideal monoatomic ...
scoop.eduncle.com
Electrical Cable Size Calculator and BS7671 Wire Sizing Chart
insulatedcables.co.in
O-rin GS O-rinG SiZe Chart For MetriC SealS, 49% OFF
iiitl.ac.in
3M 314D P180 38MMX25M 5RLS/CTN 3M | 3M 314D P180 Grit Very Fine ...
in.rsdelivers.com
Two particles of equal mass m go around a circle of radius R under the ...
brainly.in
Relative Response Factor (RRF) and its Calculation in HPLC Analysis
qcqa.industrialguide.co.in
Two blocks `A` and `B` of mass `m` and `2m` respectively are connected ...
allen.in
Calculate the Coulomb force between two alpha particles separated by ...
brainly.in
The Effect of Sr-CoFe2O4 Nanoparticles with Different Particles Sized ...
mdpi.com
. The acceleration (a) versus time (t) graph of a particle moving along ...
brainly.in
Flow Rate Calculation: Flow Rate, Flow Velocity, and Pipe Size - Lorric
lorric.com
A particle of mass m is suspended from the ceiling through a string of ...
brainly.in
Classification Of Elementary Particles
pw.live
Velocity-time graph of a particle of mass (2 kg) moving in a straight ...
allen.in
The diagram shows the displacement-time graph for a particle moving in ...
allen.in
Circular Water Tank | Construction Video Tutorial | Reinforcement For ...
civildailyinfo.com
Two particles of equal mass m go around a circle of radius R under the ...
brainly.in
The position vector →r of a particle of mass m is given by the ...
brainly.in
Reboot Plasma Electrode Tip Nozzle 1.5mm 100Amp for P80 Plasma Cutting ...
amazon.in
Premium Analytical Instruments | Anton Paar
anton-paar.com
Two particles are moving with equal and opposite velocities in such a ...
ask.learncbse.in
Difference in molar absorption coefficient and absoption coefficient ...
brainly.in
A first order reaction takes 30 minutes for 50% completion. Calculate ...
brainly.in
A proton and alpha particle is accelerated through the same potential ...
ask.learncbse.in
A particle is moving on a Circular path of radius 1m with 2m/s . If ...
brainly.in
what are the values of charge to mass ratios of electron proton neutron ...
brainly.in
In scattering experiment find the distance of closest approach if a 6 ...
edurev.in
A particle moves in a circle with O as centre and AO = OB = 5cm, as ...
brainly.in
Calculation of Tender or Quotation - Overheads, Cost Accounting - Cost ...
edurev.in
Weigher Machine - Dimension Weight Scanning Dws Systems Manufacturer ...
mechatronicsinternational.in
Curtain size calculator – House of Ekam
houseofekam.com
Calculate the momentum of a particle which has a de-Broglie wavelength ...
brainly.in
Aerosol Calculation And Pressure Drop Simulation For Sep Analysis ...
desertcart.in
Stopping Distance Formula: Definition And Examples
pw.live
A particle of mass 'm' moves on the axis of a ringof radius 'R' and ...
brainly.in
Solids, Liquids and Gases
twinkl.co.in
A particle of mass ‘m’ oscillates along the horizontal diameter AB ...
tardigrade.in
INTERPRETATION AND REPORTING
home.iitk.ac.in
Particle Size Analysis and its Applications | CRAMbridge
crambridge.in
The velocity-time graph of a particle moving along a straight line is ...
allen.in
The hamiltonian of a system of n non interacting spin-particles is h=-4 ...
scoop.eduncle.com
The displacement(in metres) of a particle moving along x-axis is given ...
brainly.in
Calculate the coulomb force between two alpha particles separated by a ...
brainly.in
Ring Size Guide | Keeta Luxury - Perfect Fit for Your Rings
keetaluxury.com
Formation and Aggregation of Gold (Electrum) Nanoparticles in ...
mdpi.com
Which one of the following plots represents the variation of ...
brainly.in
Heat Transfer Class 11 Notes Physics
edurev.in
calculate the number of particles in 11gm of carbon dioxide. - Brainly.in
brainly.in
Particle Size Reducers - CHEMFILT
chemfilt.com
A particle moves on circular path of radius 5m with constant speed 5m/s ...
edurev.in
Related Searches
Probability Calculation
Basic R Calculations
How to Do Calculations INR Studio
Statistical Calculation
How to Calculate R-value
Search
×
Search
Loading...
No suggestions found