Find Your Style
Women
Men
Accessories
Search for clothing, brands, styles...
×
Women
Men
Accessories
Paia Form C
Search
Loading...
No suggestions found
Fillable Online Promotion of Access to Information Act (paia) Manual ...
pdffiller.com
J750 Form - Fill Online, Printable, Fillable, Blank | pdfFiller
pdffiller.com
Apply for Registration Normal Taxpayer
tutorial.gst.gov.in
FORM C - - Studocu
studocu.com
Ball joints DIN 71802 | norelem
norelem.com
Fillable Online PAIA Request form - Master Builders KwaZulu-Natal Fax ...
pdffiller.com
Tax collector
tutorial.gst.gov.in
Fillable Online PAIA Manual Form 3 Fax Email Print - pdfFiller
pdffiller.com
1435496 Phoenix Contact | Phoenix Contact Male 3 way M12 to DIN 43650 ...
in.rsdelivers.com
Linear Dependence and Linear Independence
ece.poriyaan.in
GST Registration of Normal Taxpayer (FORM GST REG-01)
taxguru.in
Paia Tourism (2024): All You Need to Know Before You Go
tripadvisor.in
Interstate Sales Exempt – With Form C (VAT)
vedcrm.vedantsoft.in
Fillable Online SOUTH AFRICAN RESERVE BANK GROUP PAIA/POPIA ... Fax ...
pdffiller.com
FORM C(Application for the electrical installations)
ceaclearance.gov.in
Form C Passport - Fill Online, Printable, Fillable, Blank | pdfFiller
pdffiller.com
Linear Dependence and Linear Independence
ece.poriyaan.in
Fillable Online ffc co PROMOTION OF ACESS TO INFORMATION-PAIA MANUAL ...
pdffiller.com
Fillable Online FORM B: NOTICE OF INTERNAL APPEAL STATE YOUR REFERENCE ...
pdffiller.com
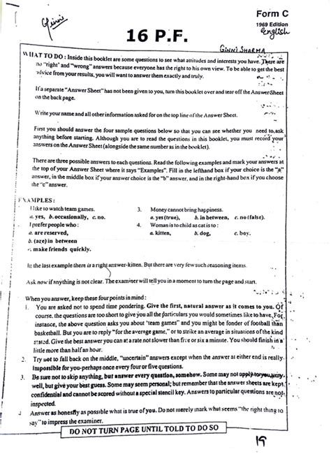
16PF Questionnaire Guide - Form C 1969 Edition - Studocu
studocu.com
Form C for CSIR Research Associate Fellowship - FORM-C COUNCIL OF ...
studocu.com
Form 10C – Eligibility, Benefits, How To Fill, Attestation, Documents
cleartax.in
Form C explained - PPF account withdrawal from bank: Steps you need to ...
economictimes.indiatimes.com
2021-2026 Form ZA COD1 - City of Cape Town Fill Online, Printable ...
pdffiller.com
Clamping rails for linear actuator with ball screw drive | norelem
norelem.com
KUAU PLAZA CONDOS (Paia, Maui) - Villa Reviews, Photos, Rate Comparison ...
tripadvisor.in
Glide plate bronze, maintenance-free | norelem
norelem.com
KUAU PLAZA CONDOS (Paia, Maui) - Villa Reviews, Photos, Rate Comparison ...
tripadvisor.in
Delicious Gelato! - Reviews, Photos - Paia Gelato Company - Tripadvisor
tripadvisor.in
Company Overview - Xiamen Paia Import & Export Co., Ltd.
paiastone.en.alibaba.com
Aadhaar Card Form: आधार कार्ड अप्लाई या आधार में अपडेट के लिए फॉर्म ...
paisabazaar.com
Talafaasolopito o le Ekalesia a Iesu Keriso o le Au Paia o Aso e Gata Ai
churchofjesuschrist.org
KUAU PLAZA CONDOS (Paia, Maui) - Villa Reviews, Photos, Rate Comparison ...
tripadvisor.in
Talafaasolopito o le Ekalesia a Iesu Keriso o le Au Paia o Aso e Gata Ai
churchofjesuschrist.org
How to Edit/Modify Excel Data in Windows Forms using C#
encodedna.com
Hula Hula Hopper (Paia) - All You Need to Know BEFORE You Go
tripadvisor.in
Fillable Online riskmanagement ubc Form C Application for Construction ...
pdffiller.com
Hula Hula Hopper (Paia) - All You Need to Know BEFORE You Go
tripadvisor.in
WinForm - Read an Excel file in Windows Application using C# and VB.NET
encodedna.com
How to Edit/Modify Excel Data in Windows Forms using C#
encodedna.com
Locating pins and rest pads DIN 6321 | norelem
norelem.com
Steps to Obtain a Form C Certificate for Your Partnership Firm in ...
makeeasyfilings.in
Just Breathe, Lumeria Maui Educational Retreat, Paia, 5 May to 10 May ...
allevents.in
BS National Insurance Board C.10 (A) 2015-2026 - Fill and Sign ...
uslegalforms.com
Z125 Form - Fill Online, Printable, Fillable, Blank | pdfFiller
pdffiller.com
1439528 Phoenix Contact | Phoenix Contact DIN 43650 Form C to Sensor ...
in.rsdelivers.com
Explain why phenol with bromine water forms 2,4,6-tribromophenol while ...
allen.in
SR - 1 Form for applying leave
potoolsblog.in
Fillable Online tax ny Form CT-3-S-I:2010:Instructions for Forms C-3-S ...
pdffiller.com
Self-aligning pads | norelem
norelem.com
What is the deadline for submitting form C in LTIMINDTREE and from ...
glassdoor.co.in
Paia Photos - Featured Images of Paia, Maui - Tripadvisor
tripadvisor.in
2022 Form IRS 1040 - Schedule 1 Fill Online, Printable, Fillable, Blank ...
pdffiller.com
Hula Hula Hopper (Paia) - All You Need to Know BEFORE You Go
tripadvisor.in
Spherical washers DIN 6319, edition 10/01 | norelem
norelem.com
2/5 paia di calzini da yoga antiscivolo per donne, con grip in gomma ...
it.shein.com
Mothers Day High Tea | Celebrating Mothers in all Forms, C Restaurant ...
allevents.in
Fillable Online courts state hi Forms C-5 & D-5 - Hawaii State ...
pdffiller.com
2/5 paia di calzini da yoga antiscivolo per donne, con grip in gomma ...
it.shein.com
What is Form 16 | Upload Form 16 and File Income Tax Return Online
cleartax.in
The Maui Road to Hana Tour Company (Paia) - 2021 What to Know Before ...
tripadvisor.in
Angle brackets for chain tensioner | norelem
norelem.com
Kipp Locking Ring Split, With Adjustable Handle, Form:C, D1=20, D2=40 ...
zoro.com
a. b. The formation of (D) form (C ) proceeds via the formation of ...
allen.in
Aadhar Card Application Form | Aadhar Enrollment Form | Aadhaar Card ...
goodreturns.in
1401465 Phoenix Contact | Phoenix Contact 3 way DIN 43650 Form C to ...
in.rsdelivers.com
Post Office Monthly Income Scheme (MIS) 2024 Account Opening / Closure ...
yogiyojana.co.in
PF Withdrawal Form - Know EPF Withdrawal Procedure
bankbazaar.com
2/5 paia di calzini da yoga antiscivolo per donne, con grip in gomma ...
it.shein.com
Vernier Caliper Digital Diagram, Least Count, Scale Drawing, Structure ...
adda247.com
GST Registration of Normal Taxpayer (FORM GST REG-01)
taxguru.in
Maui Easy Riders (Paia) - All You Need to Know BEFORE You Go
tripadvisor.in
2024-2026 Form TX H1010 Fill Online, Printable, Fillable, Blank - pdfFiller
form-h1010.pdffiller.com
FORM 30 - Transmission form for single account without nominee below ...
studocu.com
Explain why phenol with bromine water forms 2,4,6-tribromophenol while ...
allen.in
The correct statements about above structure of glucose are:
tardigrade.in
Claim bridge
cirpmaliha.in
Eform 8 - online voting - Date of Notification- ELECTION COMMISSION OF ...
studocu.com
Cam-action indexing plungers with stop, stainless steel | norelem
norelem.com
Navratri 2022: 9 day guide to colours, forms of goddess Durga
freepressjournal.in
Windows Forms App - Export Data to an Excel Sheet with AutoFormat ...
encodedna.com
5 paia di calzini in pizzo per bebè, calzini carini per bambine che ...
it.shein.com
SRI ANUMULA REVANTH REDDY
tgct.gov.in
PAIA BAY COFFEE BAR - Menu, Prices & Restaurant Reviews - Tripadvisor
tripadvisor.in
Thane Civic Polls Controversy: Opposition Alleges Bias As Ruling Party ...
freepressjournal.in
Rac Claim Form - Fill Online, Printable, Fillable, Blank | pdfFiller
pdffiller.com
Fillable Online Free Oklahoma Motor Vehicle Bill of Sale Form - PDF ...
pdffiller.com
Hook clamp with long clamp strap, Form C | norelem
norelem.com
1400785 Phoenix Contact | Phoenix Contact Straight Male M12 to DIN ...
in.rsdelivers.com
C79 Enforcement Order Online - Fill Online, Printable, Fillable, Blank ...
c79-application-form.pdffiller.com
Structural Isomerism - Chemistry Class 11 - NEET PDF Download
edurev.in
5 paia di calzini in pizzo per bebè, calzini carini per bambine che ...
it.shein.com
Provident Fund (PF) Withdrawal Process ~ Discover Infotainment, Jobs ...
spoonfeeding.in
Assume that the consumption function is of the form, C= 50+.8Y. If ...
brainly.in
Re-registration of Vehicle for Inter-State Vehicle Transfer
itzeazy.in
Mibfa Withdrawal Forms - Fill Online, Printable, Fillable, Blank ...
pdffiller.com
Clamping jaws for floating clamps | norelem
norelem.com
Registration as TDS Deductor under GST- FAQs & How to apply
taxguru.in
how to withdraw ppf: How to withdraw PPF money from account in bank ...
economictimes.indiatimes.com
Forms | IntelliBuddies® Documentation Portal
docs.intellibuddies.com
What is Form 16? Upload Form 16 and File Income Tax Return
cleartax.in
5 paia di calzini in pizzo per bebè, calzini carini per bambine che ...
it.shein.com
C++ notes - C++ is a general purpose, case-sensitive, free-form ...
studocu.com
2006 Form MD DHR/FIA 9702 Fill Online, Printable, Fillable, Blank ...
dhr-fia-cares-9702.pdffiller.com
PAIA INN (Maui) - Hotel Reviews, Photos, Rate Comparison - Tripadvisor
tripadvisor.in
📁 Tusitusiga Paia
churchofjesuschrist.org
An organic compound (A) on reduction gives a compound (B) which on ...
allen.in
Buy System Sensor 2WTA-B I3 Series 4-Wire Conventional Photoelectric ...
desertcart.in
transform the equation √3x + y = 4 into (a) slope - intercept form (b ...
brainly.in
Realization of Systems in Direct Form - Realization of Systems in ...
ece.poriyaan.in
Structural Isomerism - Chemistry Class 11 - NEET PDF Download
edurev.in
Epfosurat Form-19 - Fill Online, Printable, Fillable, Blank - pdfFiller
employees-provident-fund-1952.pdffiller.com
Realization of Systems in Direct Form - Realization of Systems in ...
ece.poriyaan.in
ET Bureau of Revenues Pension Contribution Declaration Form - Fill ...
pdffiller.com
Provisions for Resubmission of Form STK-2
taxguru.in
Music fuels the soul with BrownChicken BrownCow StringBand, Belle Surf ...
allevents.in
Fillable Online toyato appaction form Fax Email Print - pdfFiller
pdffiller.com
Forms of Business Ownership - Simplynotes - Online Notes for MBA, BBA ...
simplynotes.in
Mutation is A Small and continuous variations B Irreversible, gradual ...
brainly.in
An organic compound (A) on reduction gives a compound (B) which on ...
allen.in
Related Searches
Paia Form RAF
Paia Manual Template
Paia Maui Map
Form-C Paia Form
Paia Request Form
Paia Form J750
Paia Fish Market
Paia Hawaii
Paia Manual Template Free
Paia Town Maui
Paia Appeal Form
Paia Application Form
Form 2 Paia Request Form
Paia Consent Form
Paia Logo
SARS Paia Form
Paia Beach Maui
Paia Hi Map
New RAF 5 Form
Probate Paia Form
Paia School
Paia Elementary
Old RAF 1 Form
Paia Annual Report Template
Example of Paia Manual
SAPS Paia Request Form
Paia Section 70 Form
Raf-1 Forms
Paia Information Officer Registration Form
South Africa Paia Request Form
Pai Record Form
Request for Information Form Template Paia
Access Request Form
Paia Restaurants
Paia Request Form for African Bank
Personal Health Record Form Printable Free Form 02 Paia PDF
Form 2 Paia Filled Sample
Blank Sapia Form
Long Paia
J739 Form
Paia Information Forms for State Departments
Paia Brochure
Pria Manula
Pia A55 Form
Leonard Paia
Paira Poliger Club
Paia Manual Template Private. Body
Map Paia Hi
Paia Application Form 2
Guide of Paia Form
Search
×
Search
Loading...
No suggestions found