Find Your Style
Women
Men
Accessories
Search for clothing, brands, styles...
×
Women
Men
Accessories
Pam Hale Barry
Search
Loading...
No suggestions found
Designing the Dance: Jade Hale-Christofi eBook : Russ, Pam, Hale ...
amazon.in
Unleash Her: 30 Powerful Stories of Unleashing the Female Power Within ...
amazon.in
Quantitative Analysis for Management, Global Edition eBook : Render ...
amazon.in
COWBOY HEROES: WESTERN DOUBLE FEATURE - VOL 2: Amazon.in: James Craig ...
amazon.in
Roanoke Rapids, NC Real Estate Agents - Homes.com
homes.com
Unleash Her: 30 Powerful Stories of Unleashing the Female Power Within ...
amazon.in
Mulan: Amazon.in: Lea Salonga, Eddie Murphy, Donny Osmond, Disney, Ming ...
amazon.in
Unleash Her: 30 Powerful Stories of Unleashing the Female Power Within ...
amazon.in
South Sixty-Five: South Sixty-Five, Greg Morrow, Biff Watson, Steve ...
amazon.in
Pamela Hoss & Kim Barry Two Painters, Two Friends, 80 Pleasant Street ...
allevents.in
Designing the Dance: Jade Hale-Christofi eBook : Russ, Pam, Hale ...
amazon.in
Unleash Her: 30 Powerful Stories of Unleashing the Female Power Within ...
amazon.in
Halle Berry is in Mumbai - Hollywood's Bond Girl Halle Barry's India ...
gqindia.com
Clinical Therapy in Breastfeeding Patients eBook : Berens, Pamela, Hale ...
amazon.in
Somniscope: A Dreampunk Convergence eBook : Jones Jr., Cliff, Schwartz ...
amazon.in
'Dog Gone Trouble' Trailer: Big Sean,Pamela Adlon And Lucy Hale starrer ...
timesofindia.indiatimes.com
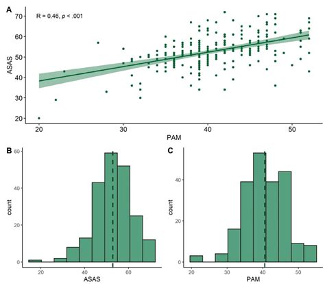
Validation and Psychometric Analysis of the German Translation of the ...
mdpi.com
Quantitative Analysis for Management Thirteenth Edition By Pearson: Buy ...
flipkart.com
Son of the South (Uncut) [Blu-ray] (2020) | Imported from CA | Region A ...
amazon.in
Pamela Hoss & Kim Barry Two Painters, Two Friends, 80 Pleasant Street ...
allevents.in
COWBOY HEROES: WESTERN DOUBLE FEATURE - VOL 2: Amazon.in: James Craig ...
amazon.in
Butley [Blu-Ray]: Amazon.in: Alan Bates, Jessica Tandy, Richard O ...
amazon.in
13 Cool Catios for Your Feline Friend | Cat patio, Cat enclosure ...
pinterest.com
Larger Than Life: Movie Stars of the 1950s (Star Decades: American ...
amazon.in
All in the Family: Complete Third Season: Amazon.in: Mel Stewart ...
amazon.in
75 najpopularnijih frizura svih vremena – Moda
moda.covermagazin.com
Related Searches
Rick Barry Sons
Rick Barry Basketball
Rick Barry NBA
Rick Barry Free Throw
Rick Barry Warriors
Is Halle Berry Black
Halle Berry at 54
Harouna Barry
Ricky Berry Wife
Halle Berry Casual
Halle Berry Smile
Hale Baerry
Pam Halme
Hal Berry
Gene and Betty Barry
Halle Barry Hoy
Barry Hale JLR
Rick Barry Jerry West
Halle Berry Weddings
Barry Kent Hale
Hale Barry the Union
Halle Berry Smiling
Halle Bebrry
Wendy Hale Model
Pamela Realtor
Rick Barry Family
Halle Berry as a Baby
Erin Barry
Halle Berry Tik Tok
Halle Berry Storm
Barry Hale Sr Family Tree
Rick Barry Golden State Warriors
Halle Berry Kids
Pam Beesly Halpert
Halle Berry as a Child
Rick Barry's First Wife
Halle Berry Moonfall
Rick Barry ABA
Pam Barbey
Halle Berry 53
Halle Berry Personal Life
Rick Barry Wig
Halle Berry Red Carpet
Halle Berry Oscar
Rick Barry Quotes
Halle Berry Hair
Halle Barry Line Drawing
Halle Berry Style
Halle Bearry Peralta
Barry Soper First Wife
Search
×
Search
Loading...
No suggestions found