Find Your Style
Women
Men
Accessories
Search for clothing, brands, styles...
×
Women
Men
Accessories
Pam Matrix Example
Search
Loading...
No suggestions found
Matrix Gas & Renewables raises INR 350 Crore in pre-IPO round
aninews.in
Creasing Matrix Cutter Products at price INR 5500 in Pune | N N Graphics
nngraphicspune.in
SAP S/4HANA: Deep impact or progressive innovations? - Capgemini India
capgemini.com
Theory
evalidate.in
Relationship between Surface Properties and In Vitro Drug Release from ...
mdpi.com
Prothrombin time, PT/INR Report Format | MS Word & Pdf
labsmartlis.com
Pam And Tommy Nude Scene Latest File & Photo Additions #850
superadmin.kalaignarcentenarylibrary.tn.gov.in
Pam Grier Young Nude Members-Only Content Refresh #688
superadmin.kalaignarcentenarylibrary.tn.gov.in
What is Confusion Matrix and Advanced Classification Metrics?
jainnews.in
Groups - Algebraic Structures - Discrete Mathematics
cse.poriyaan.in
Types of Matrices - Examples, Properties and Special Matrices - JEE PDF ...
edurev.in
Role of Mitochondrial Protein Import in Age-Related Neurodegenerative ...
mdpi.com
ELEMENTAL CHEMISTRY: Polymers, classification of polymers, polymerization.
elementalchemistry.in
What a p-Value Tells You about Statistical Data - India Dictionary
1investing.in
Singular Matrix - Types, Examples, Definition & Properties - Maths ...
aakash.ac.in
Calculation of Tender or Quotation - Overheads, Cost Accounting - Cost ...
edurev.in
CRISPR / Cas核酸酶RNA介导的基因组编辑
sigmaaldrich.com
Pay Structure for Defence Forces Personnel – Pay Matrix
potoolsblog.in
Supply Chain Planning | Oracle India
oracle.com
Hands-on-session On PARAM 10000 : Day 2
cse.iitd.ac.in
Similarity Transformation and Orthogonal Transformation - Theorem ...
mech.poriyaan.in
SOP for Nursing: How to Write sample SOP for MSc nursing?
yocket.com
Idempotent matrix example? - Brainly.in
brainly.in
USD/INR Cracks Big: Falls 2% in 4 Days! | Investing.com India
in.investing.com
SBI BANK CODE SBCHQ-GEN-PUB-IND-INR MEANING.SBI DIFFERENT TYPES OF ...
digitalhelper.in
Matrices Class 12 Notes IIT JEE , %%sep%% %%sitename%%
esaral.com
Types of Matrices - Examples, Properties and Special Matrices - JEE PDF ...
edurev.in
Questions and Answers - Solved Example Problems | Matrices
mech.poriyaan.in
கிராமரின் விதி (Cramer’s Rule) - வரையறை, தேற்றம், நிரூபணம் ...
brainkart.in
Scalar Matrix: Definitions, Examples, Formula, Properties, Terms ...
collegesearch.in
வடிவக் கணிதத்தில் அணிகளின் பயன்பாடுகள் (Application of matrices to ...
brainkart.in
Understanding Concepts of Determinants and Matrices: find the topic and ...
jagranjosh.com
Matrices: Vector - Worked Solved Examples
mech.poriyaan.in
Singular Matrix - Types, Examples, Definition & Properties - Maths ...
aakash.ac.in
Matrix Multiplication: Process, Properties & Calculator | AESL
aakash.ac.in
Every row echelon form of a matrix is reduced row echelon form.(True ...
brainly.in
Questions and Answers - Solved Example Problems | Matrices
mech.poriyaan.in
Questions and Answers - Solved Example Problems | Matrices
mech.poriyaan.in
Matrices: Vector - Worked Solved Examples
mech.poriyaan.in
Bring Home a Cinematic Experience with Samsung Big TV Days; Get Free ...
news.samsung.com
Andy Byron net worth: Here's how much Astronomer CEO earns amid ...
hindustantimes.com
Similarity Transformation and Orthogonal Transformation - Theorem ...
mech.poriyaan.in
சமச்சீர் மற்றும் எதிர் சமச்சீர் அணிகள் (Symmetric and skew−symmetric ...
brainkart.in
Types of Matrices - Examples, Properties and Special Matrices - JEE PDF ...
edurev.in
Similarity Transformation and Orthogonal Transformation - Theorem ...
mech.poriyaan.in
Fertigungsprozess Flussdiagramm Leitfaden
edrawsoft.com
Raven's 2 - Raven’s Progressive Matrices Second Edition | Raven's 2 ...
pearsonassessments.com
Q5. If then x is (A) 2+x 3 4 1 -1 2 x 1 -5 (C) لها الله wla is a ...
brainly.in
Types of Matrices - Examples, Properties and Special Matrices - JEE PDF ...
edurev.in
What are Individual Behaviour Plans? - Twinkl
twinkl.co.in
Types of Matrices - Examples, Properties and Special Matrices - JEE PDF ...
edurev.in
Buy Shark AI Ultra 2in1 Robot Vacuum & Mop with Sonic Mopping, Matrix ...
ubuy.co.in
Raven's 2 - Raven’s Progressive Matrices Second Edition | Raven's 2 ...
pearsonassessments.com
சங்கேத மொழியியலில் அணிகளின் பயன்பாடுகள் (Application of matrices to ...
brainkart.in
Buy Bundle L Destiny Matrix Analysis in 24 Hour L Numerology L Know ...
etsy.com
அணிகளின் மீதான செயல்கள் - தீர்க்கப்பட்ட எடுத்துக்காட்டு கணக்குகள் ...
brainkart.in
Questions and Answers - Solved Example Problems | Matrices
mech.poriyaan.in
அணிக்கோவை: பூஜ்ஜியக் கோவை மற்றும் பூஜ்ஜியமற்ற கோவை அணிகள் (Singular and ...
brainkart.in
How Do I Define Context in ISO Management Standards? | NQA
nqa.com
12. let a be a complex 3x3 matrix with a--1. which of the following ...
scoop.eduncle.com
Matrices PPT Maths Class 12
edurev.in
Stacks | Learn Everything about Stacks in DSA
talentbattle.in
Fillable Online PERSONNEL ACTION For use of this form, see DA PAM 600-8 ...
pdffiller.com
சங்கேத மொழியியலில் அணிகளின் பயன்பாடுகள் (Application of matrices to ...
brainkart.in
CBSE Matrices Class 12 Mind Map for Chapter 3 of Maths, Download PDF
jagranjosh.com
அணிகளின் மீதான செயல்கள் - தீர்க்கப்பட்ட எடுத்துக்காட்டு கணக்குகள் ...
brainkart.in
அணிகள்(Matrices) - வரையறை, பொது வடிவம், தேற்றம், விளக்க எடுத்துக்காட்டு ...
brainkart.in
Multiplication of 1x2 matrix by 2x1 matrix - Brainly.in
brainly.in
What is Confusion Matrix and Advanced Classification Metrics?
jainnews.in
The Beginner's Guide to the Competitive Matrix [+ Templates] - Blog
appsmanager.in
அணிக்கோவை: பூஜ்ஜியக் கோவை மற்றும் பூஜ்ஜியமற்ற கோவை அணிகள் (Singular and ...
brainkart.in
The Beginner's Guide to the Competitive Matrix [+ Templates] - Blog
appsmanager.in
Raven's Progressive Matrices™ Practice Test (IQ Tests series Book 4 ...
amazon.in
அணிகளின் சமத்தன்மை (Equality of Matrices) - வரையறை, விளக்க ...
brainkart.in
Professional Bio Examples: 29 Work Bios I Keep in My Back Pocket for ...
appsmanager.in
அணிகள்(Matrices) - வரையறை, பொது வடிவம், தேற்றம், விளக்க எடுத்துக்காட்டு ...
brainkart.in
Define Matrix, Matrix Meaning, Matrix Examples, Matrix Synonyms, Matrix ...
smartvocab.in
K-PAM: Klebsiella species serotype predictor and surface antigens modeler
iith.ac.in
வடிவக் கணிதத்தில் அணிகளின் பயன்பாடுகள் (Application of matrices to ...
brainkart.in
அணிக்கோவை: பூஜ்ஜியக் கோவை மற்றும் பூஜ்ஜியமற்ற கோவை அணிகள் (Singular and ...
brainkart.in
IPS Salary: Detailed Analysis of Pay, Perks, and Growth in 2025
collegesearch.in
2020-2026 Form DoL WH-380-E Fill Online, Printable, Fillable, Blank ...
wh-380-e.pdffiller.com
அணிக்கோவை: பூஜ்ஜியக் கோவை மற்றும் பூஜ்ஜியமற்ற கோவை அணிகள் (Singular and ...
brainkart.in
Types of Matrices - Examples, Properties and Special Matrices - JEE PDF ...
edurev.in
K-PAM: Klebsiella species serotype predictor and surface antigens modeler
iith.ac.in
அணிகள்(Matrices) - வரையறை, பொது வடிவம், தேற்றம், விளக்க எடுத்துக்காட்டு ...
brainkart.in
அணிகளின் மீதான செயல்கள் - தீர்க்கப்பட்ட எடுத்துக்காட்டு கணக்குகள் ...
brainkart.in
Types of Matrices - Examples, Properties and Special Matrices - JEE PDF ...
edurev.in
Theory
evalidate.in
Types of Matrices - Examples, Properties and Special Matrices - JEE PDF ...
edurev.in
Please help with in-hand salary calculation Deloitte India Deloitte ...
glassdoor.co.in
Types of Matrices - Examples, Properties and Special Matrices - JEE PDF ...
edurev.in
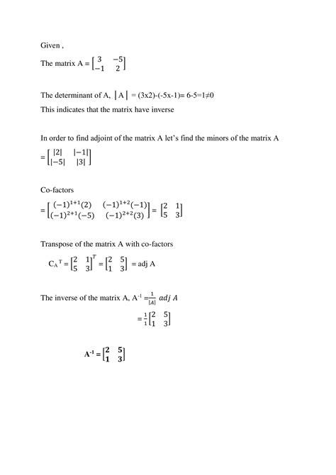
Find the inverse of each of the matrices given below: 3 - 5| - 1 2
toppr.com
Ansoff Matrix Examples For Your Business Growth Strategy
in.indeed.com
அணிகளின் சமத்தன்மை (Equality of Matrices) - வரையறை, விளக்க ...
brainkart.in
Free Invoice Format | Download and Send Invoices Easily - Wise
wise.com
Hermitian Matrices - Notes are easy to understand - Physics - Studocu
studocu.com
Types of Matrices - Examples, Properties and Special Matrices - JEE PDF ...
edurev.in
அணிக்கோவை: பூஜ்ஜியக் கோவை மற்றும் பூஜ்ஜியமற்ற கோவை அணிகள் (Singular and ...
brainkart.in
NIT Meghalaya is organizing Matrix Classes in Solving the Linear ...
edubard.in
Rank of a Matrix- Definition, Example, Properties, How to Find?
adda247.com
Types of Matrices - Examples, Properties and Special Matrices - JEE PDF ...
edurev.in
Matrices Class 12 Notes IIT JEE , %%sep%% %%sitename%%
esaral.com
The Beginner's Guide to the Competitive Matrix [+ Templates] - Blog
appsmanager.in
அணிகளின் சமத்தன்மை (Equality of Matrices) - வரையறை, விளக்க ...
brainkart.in
Pathology Request Form - Fill and Sign Printable Template Online
uslegalforms.com
Buy Matrix Elite Series Black 60% Mechanical Gaming Keyboard: Fast ...
ubuy.co.in
Buy PAM 8403 Online in India | Robocraze
robocraze.com
3. let v be the vector space of 2 x 2 matrices over k. let w be the ...
scoop.eduncle.com
Da Pam 37 1 - Fill Online, Printable, Fillable, Blank | pdfFiller
pdffiller.com
MATRICES & DETERMINANTS: Key Concepts & Examples - Studocu
studocu.com
அணிகள்(Matrices) - வரையறை, பொது வடிவம், தேற்றம், விளக்க எடுத்துக்காட்டு ...
brainkart.in
Multi-Currency Accounting – Create, Alter, and Delete
vedcrm.vedantsoft.in
Buy Beefunny 315MHz 4D67 Chip Upgraded Flip Remote Car Key Fob 4 Button ...
ubuy.co.in
K-PAM: Klebsiella species serotype predictor and surface antigens modeler
iith.ac.in
Hospital Management Software | Billing Prints | Formats
softcure.in
Solved Examples for JEE: Matrices - Mock Tests for JEE Main and ...
edurev.in
Free Invoice Format | Download and Send Invoices Easily - Wise
wise.com
K-PAM: Klebsiella species serotype predictor and surface antigens modeler
iith.ac.in
Give an example of two 3 3 matrices a and b such that ab ≠ ba - Brainly.in
brainly.in
Related Searches
PAM250 Matrix
BLOSUM Matrix
Pam 120 Matrix
Pam vs BLOSUM
Pam Matrix Diagram
Pam Sequence
Pam 10 Matrix
Matrix Types
PAM-1 Matrix
Similarity Matrix
Mutation Matrix
Matrix Presentation
Substitution Matrix
Blosum50 Matrix
Pam Matrix 2
Dayhoff Matrix
Pam Matrix Joseph Carson
Blossom 62 Matrix
Conservative Amino Acid Substitution Pam Matrix
All Types of Matrices
Different Types of Matrices
DNA Substitution Matrix
Pam Substituion Matrix Logo
Scoring Matrix Amino Acid
Pam100 Matrix
Biorix Pam
Probability Matrix
Matrix Poem
Scoring Matrix Example
Scooring Matrix
Hiperuricemia
Pam Score Chart
PAM-1 Mutation Matrix
PA Omni Matrix
Scoring Matrix Pam Blossum
Pam Margaret Dayhoff
Matricea Pam
ASC 250 Matrix
Kinds of Matrices
What Is a Scoring Matrix
Pam Theorem
Constructing Matrices
Privilege Matrix Instrument
Mutational Probability Matrix for PAM-1
Pam Diagram in Bioinfomatices
Manufacturing Skills Matrix Template Excel
Amino Acid Replacement Matrix
Pam and Nam Graphs
Pam Das Biochemistry
Matriz De Madurez Pam
Search
×
Search
Loading...
No suggestions found