Find Your Style
Women
Men
Accessories
Search for clothing, brands, styles...
×
Women
Men
Accessories
Parameterized Complexity Classes
Search
Loading...
No suggestions found
Rohit Vaish
rohitvaish.in
Parameterized Complexity in the Polynomial Hierarchy: Buy Parameterized ...
flipkart.com
DAA Seminar - Types of Complexity Classes | P, NP, NP hard and NP ...
studocu.com
Theory of Computation: TOC:- Chomsky hierarchy
gateoverflow.in
Full wave rectifier investigatory project PDF » Knowledge Cycle
knowledgecycle.in
Others: TIFR CSE 2025 | Part B | Question: 6
gateoverflow.in
Buy Cognition and Intractability: A Guide to Classical and ...
amazon.in
Basic Crystal Concepts
home.iitk.ac.in
Algorithm Complexity Ladder (CS101) - Study Guide - Studocu
studocu.com
What are Bond Parameters, Classification & Factors - Chemistry | AESL
aakash.ac.in
Approx Inference pp - Approximate Inference in Bayesian Networks ...
studocu.com
Variance in programming languages
rubber-duck-typing.com
Class P - Class P P P is a complexity class that represents the set of ...
studocu.com
SPPU: Unit VI - Computability and Complexity Theory Syllabus - Studocu
studocu.com
ELEMENTAL CHEMISTRY: The Seven Crystal Systems
elementalchemistry.in
Analysis of Transistor Amplifier Configurations using Simplified h ...
eee.poriyaan.in
Small Dynamic Complexity Classes: An Investigation into Dynamic ...
amazon.in
OOP- Basic Theory -Unit1c
vedveethi.co.in
Complexity, Complexity Class P and Complexity Class NP - Theory of ...
edurev.in
Complexity, Complexity Class P and Complexity Class NP - Theory of ...
edurev.in
Complexity, Complexity Class P and Complexity Class NP - Theory of ...
edurev.in
Based on parameterized constructor - Syntax: Derived class constructor ...
studocu.com
Statistical Mechanics: Entropy, Order Parameters, and Complexity ...
amazon.in
Bond Parameters: Bond Angle, Bond Energy and Bond Order.
allen.in
Constructor in Java | Why Use Constructor
sitesbay.com
Java examples - m cgdfghjkhgfdcxzcfgvhnbjmklkjhgfdxcfgvhbnjk ...
studocu.com
Statistical Mechanics: Entropy, Order Parameters and Complexity: 14 ...
amazon.in
User-Defined Functions in C | Scaler Topics
saludolearning.in
Scope
iitk.ac.in
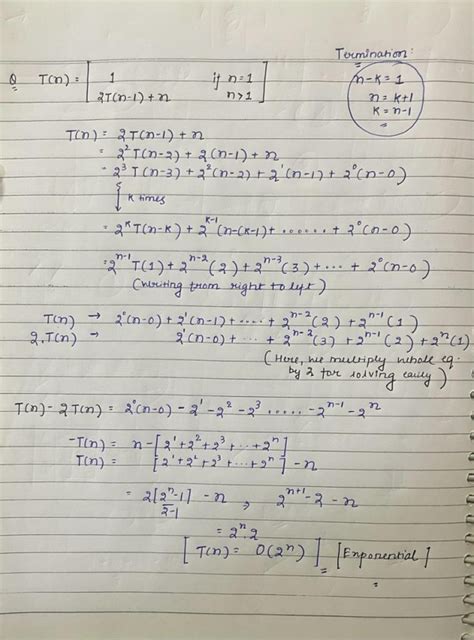
Algorithms: let T(n) a function of complexity satisfying T(0)=T(1)=Θ(1 ...
gateoverflow.in
Parameterized Algorithms - Course
onlinecourses.nptel.ac.in
Default Constructors : Example
minigranth.in
Alternating current ac class 12 physics formula sheet by sykophysics ...
studocu.com
What are Bond Parameters, Classification & Factors - Chemistry | AESL
aakash.ac.in
Java Notes Summary - 3 Generic Classes and Interface Generics means ...
studocu.com
Parameterized Constructors : Example
minigranth.in
Tutorial At Home
tutorialathome.in
Default Parameters and Function Overloading - 1 Video Lecture - C++ ...
edurev.in
Buy Statistical Mechanics: Entropy, Order Parameters and Complexity ...
amazon.in
Algorithms: time complexity of recursive equations
gateoverflow.in
Algorithms: Finding Time complexity
gateoverflow.in
Basics of Computational Complexity - Course
onlinecourses.nptel.ac.in
Low-Complexity Nonlinear Self-Inverse Permutation for Creating ...
mdpi.com
Using GEDI Waveforms for Improved TanDEM-X Forest Height Mapping: A ...
mdpi.com
Compressed Air Quality | BEKO TECHNOLOGIES
beko-technologies.com
Create a base class containing the data member roll number and name ...
brainly.in
Understanding Cyclomatic Complexity & its Importance in Code Analysis ...
blog.thedigitalgroup.com
3150703 Analysis And Design Of Algorithms-Notes PDF-Unit-9 - (1) P and ...
studocu.com
Benefits of Using BIM for Efficient Project Management
novatr.com
Parameters Estimation of a Class of Generalized Beta Distribution ...
amazon.in
Introduction of Power Amplifiers and DC/DC Converters - Comparison of ...
ece.poriyaan.in
write the difference between parameter and argument - Brainly.in
brainly.in
Understanding Cyclomatic Complexity & its Importance in Code Analysis ...
blog.thedigitalgroup.com
Boxing and Unboxing in Java
sitesbay.com
Rohit Vaish
rohitvaish.in
Constructor Overloading : Example
minigranth.in
Understanding Cyclomatic Complexity & its Importance in Code Analysis ...
blog.thedigitalgroup.com
Introducing Shared Class Library – Multi-target Xamarin.Forms and .NET ...
egvijayanand.in
Rohit Vaish
rohitvaish.in
CS469 Computational Complexity - Notes | Textbook | Syllabus | Question ...
ktustudents.in
Syallbus:
cse.iitm.ac.in
Class 3 Logical Reasoning - Patterns - Set 3 | Olympiad tester
olympiadtester.in
ICT CS-core1 - Class notes - (h) Create an object for a class Park. 2 ...
studocu.com
java training institute | best java training institute
ittrainingclasses.in
Understanding Cyclomatic Complexity & its Importance in Code Analysis ...
blog.thedigitalgroup.com
Ecological Pyramid: Types, Pyramid of Numbers, Diagrams
adda247.com
Class 3 Logical Reasoning | Olympiad tester
olympiadtester.in
Alternating Current Class 12 Notes - IIT JEE | NEET %%sep%% %%sitename%%
esaral.com
Write a program to input two integers using parameters and find their ...
brainly.in
Super Keyword Example : Case 2
minigranth.in
Understanding Cyclomatic Complexity & its Importance in Code Analysis ...
blog.thedigitalgroup.com
RABS HYDRAULICS in Coimbatore
rabshydraulics.in
Theory of Computation: Self doubt in decidability in TOC
gateoverflow.in
Members - Theory Group @ CSE-IITM
theory.cse.iitm.ac.in
Understanding Cyclomatic Complexity & its Importance in Code Analysis ...
blog.thedigitalgroup.com
Revolutionizing Hospital Design: Creating Future-Ready Healthcare ...
hospitalarchitects.in
lube oil testing report, lube oil analysis report
atlaslab.in
Class 3 Logical Reasoning - Patterns - Set 3 | Olympiad tester
olympiadtester.in
Visiting fellows
tcs.tifr.res.in
Polyphenols in Plants: Structure, Biosynthesis, Abiotic Stress ...
mdpi.com
Members - Theory Group @ CSE-IITM
theory.cse.iitm.ac.in
Algorithms: ISRO2014-62
gateoverflow.in
Algorithmic Game Theory - Course
onlinecourses.nptel.ac.in
C++ call by value call by reference - C++ Tutorial
sitesbay.com
Software Quality Metrics |Professionalqa.com
professionalqa.com
This image describes a program where, This keyword can be used to ...
minigranth.in
IIT Jammu
iitjammu.ac.in
Members - Theory Group @ CSE-IITM
theory.cse.iitm.ac.in
Members - Theory Group @ CSE-IITM
theory.cse.iitm.ac.in
Super Keyword in Java - Super Keyword in Java
sitesbay.com
Members - Theory Group @ CSE-IITM
theory.cse.iitm.ac.in
Members - Theory Group @ CSE-IITM
theory.cse.iitm.ac.in
Waldner Magazine | Types of Fume Hoods
gdwaldner.com
Budget 2026 income tax: What middle class, salaried taxpayers want from ...
msn.com
Buy 6 Roll Reward Stickers for Teachers, 3000 Pieces Fun Stickers for ...
ubuy.co.in
Members - Theory Group @ CSE-IITM
theory.cse.iitm.ac.in
Algorithms: What will be the time complexity of recurrence relation T(n ...
gateoverflow.in
Members - Theory Group @ CSE-IITM
theory.cse.iitm.ac.in
solve the questions by bodmas - Brainly.in
brainly.in
How To Read A Sperm Analysis Report? - Aarush IVF & Endoscopy Centre
aarushivf.com
Debajyoti Bera (@ IIIT-Delhi, India)
iiitd.edu.in
Slip 20 - A) Write a python program to create a class Circle and ...
codingactivity.co.in
Data Conversion In Java
sitesbay.com
Members - Theory Group @ CSE-IITM
theory.cse.iitm.ac.in
Members - Theory Group @ CSE-IITM
theory.cse.iitm.ac.in
IIT Jammu
iitjammu.ac.in
Constructors in Java - It is called when an instance of the class is ...
studocu.com
Purnata Ghosal
cse.iitm.ac.in
Members - Theory Group @ CSE-IITM
theory.cse.iitm.ac.in
CALDAM 2023
caldam2023.daiict.ac.in
CALDAM 2019
cse.iitkgp.ac.in
River Crossing Lateral Thinking Puzzle
twinkl.co.in
IIT Gandhinagar | Neeldhara Misra
iitgn.ac.in
ANJENEYA SWAMI KARE
scis.uohyd.ac.in
India’s Top Home Bakers 2024 - Homebakers.co.in
homebakers.co.in
This image describes output of, This keyword being used to call current ...
minigranth.in
Members - CSE-IITM
cse.iitm.ac.in
Members - Theory Group @ CSE-IITM
cse.iitm.ac.in
Raising of Funds through External Commercial Borrowings (ECB)
taxguru.in
Related Searches
Computational Complexity
Space Complexity
Time Complexity Classes
Complexity Theory
Space Complexity Example
Complexity Classes Diagram
Cubic Time Complexity
Economic Complexity
Computing Complexity
Complexity Classes Venn Diagram
Complexity Graph
Computational Complexity Theory Wikipedia
Hierarchy of Complexity Classes
Algorithm Complexity
Polynomial Time Complexity
Quantum Complexity Classes
Scientific Complexity
Computation Complexity
Complexity Computer Science
Define Complexity
Complexity Classes for Beginners
Complexity Classes P and NP
Time Complexity Order
Complexity Statement
Specified Complexity
Euler's Diagram of Complexity Classes
Common Complexity Classes
Complexity Examples
Ladder of Complexity
Project Classes Complexity
Complexity Editing
Complexity Theory Map
Complexity CS
Program Complexity
Relationships Between Complexity Classes
Complexity Classes Da Igram
Complexity Classes From Lower to Higher
Complexity Classes in Daa
Complexity in C++
Complexity Classes Rank
Complexity Categories
Rule of Complexity
Resource Boundaries Complexity Classes
Classroom Complexity
Complexity Types
Algorithm Order of Growth
Cognitive Complexity Examples
Enn Diagram for the Complexity Classes
Complexity Classes Ven Diagram
Euler Diagram for Space and Time Complexity Classes
Search
×
Search
Loading...
No suggestions found