Find Your Style
Women
Men
Accessories
Search for clothing, brands, styles...
×
Women
Men
Accessories
Particular Integral Formula
Search
Loading...
No suggestions found
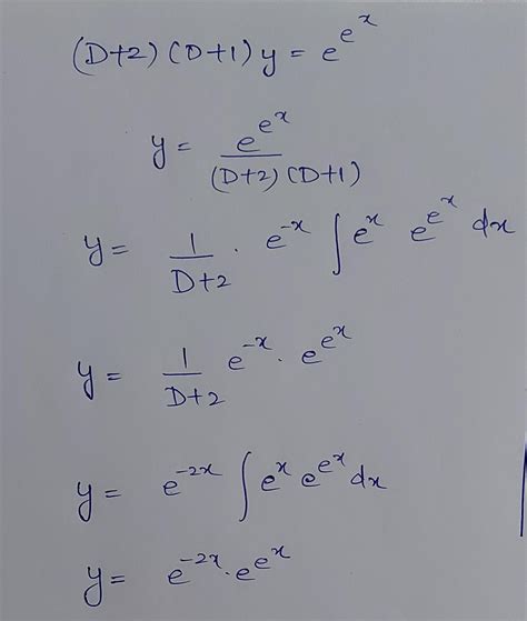
De part 2 particular integral!
scoop.eduncle.com
All Integration Formulas PDF and Sheet for Class 12 Students
adda247.com
Second-Order Differential Equations - Mathematical Methods - Physics ...
edurev.in
Problems based on, to find the particular integral by the method of ...
eee.poriyaan.in
Particular integral!
scoop.eduncle.com
A particular integral of the differential equation
scoop.eduncle.com
Problems based on, to find the particular integral by the method of ...
eee.poriyaan.in
All Integration Formulas- PDF, List, Sheet for Class 12
adda247.com
A particular integral of the differential equation is
scoop.eduncle.com
CBSE Class 12 Maths Chapter 8 Application of Integrals Formulas List ...
jagranjosh.com
Integral Formulas - INTEGRAL FORMULAS ā« šš„ = š„ + š¶ ā« š„ š šš„ = š„š+ š ...
studocu.com
CBSE Class 12 Maths Chapter 8 Application of Integrals Formulas List ...
jagranjosh.com
List of All Maths Calculus Formulas for NDA Exam Preparation
defenceguru.co.in
List of All Maths Calculus Formulas for NDA Exam Preparation
defenceguru.co.in
Solved Example Problems based on Type 2 Clairaut's form z = = px + qy ...
civil.poriyaan.in
Particular Integral Type - III - Advanced Calculus And Complex Analysis ...
studocu.com
Integrals Formula Sheet for Calculus CCE 8A - Studocu
studocu.com
Find the particular integral for sinx/(d^3+1)
scoop.eduncle.com
L20 : Integrals of some particular functions - Integrals, Maths, Class ...
edurev.in
CBSE Class 12 Maths Chapter 7 Integrals Revision Notes: Download PDF
jagranjosh.com
Problems based on cauchy's integral formula - Complex integration
eee.poriyaan.in
Second-Order Differential Equations - Mathematical Methods - Physics ...
edurev.in
4 a particular integral of the differential equation y\" +3y'+ 2y e 1s ...
scoop.eduncle.com
Particular Integral of differential equation (D^3+9D)y = cos3x - Brainly.in
brainly.in
Calculus integral formulas integration Maths Education Chart Poster ...
amazon.in
The particular integral of the differential equation (D2 - 4)y = cos ...
brainly.in
Particular integral of the differential equation y\"+3y'+2y = e is (a ...
scoop.eduncle.com
Particular integral for (D^2-4D+D)y=cos2x is ? - Brainly.in
brainly.in
Cauchyās integral theorem and integral formula - Engineering ...
edurev.in
Second-Order Differential Equations - Mathematical Methods - Physics ...
edurev.in
12th Maths Formula: Derivatives & Integrals - SKNS PMC - Studocu
studocu.com
Find the particular integral of the following differential equation: (D ...
brainly.in
Problems based on cauchy's integral formula - Complex integration
eee.poriyaan.in
List of all Integral Formulas For Class 10th - 2024
jaincollege.ac.in
4 a particular integral of the differential equation y\" +3y'+ 2y e 1s ...
scoop.eduncle.com
4 a particular integral of the differential equation y\" +3y'+ 2y e 1s ...
scoop.eduncle.com
(q.35) the particular integral of y+3ay'+ y= (1-x is
scoop.eduncle.com
A particular integral of the differential equation y\"+3y'+2y e is: (a ...
scoop.eduncle.com
24. a particular integral of the differential equation y+3y+2y=e is a ...
scoop.eduncle.com
CBSE Class 12 Maths Chapter 8 Application of Integrals Formulas List ...
jagranjosh.com
Linear partial differential equations of second and higher order with ...
civil.poriyaan.in
Problems based on, to find the particular integral by the method of ...
eee.poriyaan.in
CBSE Class 12 Maths Chapter 7 Integrals Revision Notes: Download PDF
jagranjosh.com
Problems based on, to find the particular integral by the method of ...
eee.poriyaan.in
Problems based on cauchy's integral formula - Complex integration
eee.poriyaan.in
Definite integral formula - DEFINITE INTEGRAL 1.. 2. Change of variable ...
studocu.com
Problems based on cauchy's integral formula - Complex integration
eee.poriyaan.in
Definite Integral Formula: Definition, Properties, Examples
pw.live
Problems based on, to find the particular integral by the method of ...
eee.poriyaan.in
Problems based on, to find the particular integral by the method of ...
eee.poriyaan.in
Problems based on cauchy's integral formula - Complex integration
eee.poriyaan.in
Problems based on, to find the particular integral by the method of ...
eee.poriyaan.in
Problems based on cauchy's integral formula - Complex integration
eee.poriyaan.in
Problems based on cauchy's integral formula - Complex integration
eee.poriyaan.in
Particular integral of (D² + a²)y= cos ax is - Brainly.in
brainly.in
Problems based on cauchy's integral formula - Complex integration
eee.poriyaan.in
Indefinite Integral Formulas - LearningScience
learningscience.co.in
Problems based on cauchy's integral formula - Complex integration
eee.poriyaan.in
Integration of Tan x - Explanation, Formula, Proof, Examples
adda247.com
Problems based on, to find the particular integral by the method of ...
eee.poriyaan.in
Problems based on, to find the particular integral by the method of ...
eee.poriyaan.in
Surface Area; Surface Integrals - (1) We will now drive a formula for ...
studocu.com
Methods of evaluation of particular Integrals - ENGINEERING MATHEMATICS ...
studocu.com
Formulas - Integral - formula - Mathematics I - Integral Formulas 26 ...
studocu.com
Solve d2y/dx2-4y=ex+sin2x - Brainly.in
brainly.in
Problems based on cauchy's integral formula - Complex integration
eee.poriyaan.in
Calculus integral formulas integration Maths Education Chart Poster ...
amazon.in
Singular integrals grals - solution of standard types of first order ...
mech.poriyaan.in
Problems based on, to find the particular integral by the method of ...
eee.poriyaan.in
Fourier Sine And Cosine Integrals - Examples
civil.poriyaan.in
Properties of Definite Integrals & Formula - Maths - Aakash | AESL
aakash.ac.in
Problems based on, to find the particular integral by the method of ...
eee.poriyaan.in
Buy Integral Formulas in Riemannian Geometry Book Online at Low Prices ...
amazon.in
Integration Formula for Class 12th, Concepts and Examples
careerpower.in
List of All Maths Calculus Formulas for NDA Exam Preparation
defenceguru.co.in
Calculus integral formulas integration Maths Education Chart Poster ...
amazon.in
(D^2+1)y=x^3+e^-x+e^xsinx - Brainly.in
brainly.in
If the Particular Integral (PI) of the Differential equation(D2+a2)y ...
edurev.in
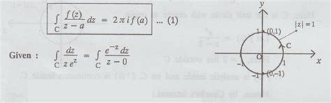
Use cauchy integral formula
scoop.eduncle.com
Problems based on, to find the particular integral by the method of ...
eee.poriyaan.in
Mathmatics-1-23 - Mathmatics-1-23 - 206 Integrals Thorough ...
studocu.com
82815 - math formula sheet - TY 3 x 2 VIDYAKUL 12TH TY CHAPTER NOTES ...
studocu.com
Problems based on cauchy's integral formula - Complex integration
eee.poriyaan.in
Problems based on cauchy's integral formula - Complex integration
eee.poriyaan.in
Problems based on cauchy's integral formula - Complex integration
eee.poriyaan.in
(D^2+1) y=xcosx to find particular integral in mathe matics in ...
brainly.in
Problems based on cauchy's integral formula - Complex integration
eee.poriyaan.in
Mastering Cauchy's Integral Formula: A Key Concept For GATE Engineering ...
edurev.in
Exercise 4.1 (Cauchy's integral theorem) - Formula, Problems with ...
eee.poriyaan.in
Definite Indefinite Integrals - Definite Integrals THE NEWTON ...
studocu.com
Particular Integral Type - IV - Calculus and Linear Algebra - Studocu
studocu.com
Problems based on cauchy's integral formula - Complex integration
eee.poriyaan.in
Problems based on cauchy's integral formula - Complex integration
eee.poriyaan.in
Indefinite Integral Formulas - LearningScience
learningscience.co.in
Problems based on cauchy's integral formula - Complex integration
eee.poriyaan.in
Problems based on cauchy's integral formula - Complex integration
eee.poriyaan.in
Problems based on cauchy's integral formula - Complex integration
eee.poriyaan.in
Problems based on cauchy's integral formula - Complex integration
eee.poriyaan.in
Indefinite Integral Notes for Class 12 & IIT JEE
esaral.com
Differentiation Formulas, Definition, Chart, PDF, Solved Examples
adda247.com
3-The particular Integral by Method of undetermined coefficients-21-02 ...
studocu.com
Problems based on cauchy's integral formula - Complex integration
eee.poriyaan.in
Problems based on cauchy's integral formula - Complex integration
eee.poriyaan.in
Problems based on cauchy's integral formula - Complex integration
eee.poriyaan.in
Integrals Formula Sheet - Mathematics class 12 - Studocu
studocu.com
Mind Maps For Indefinite Integration - Class 12, JEE (Main + Advanced)
esaral.com
Problems based on cauchy's integral formula - Complex integration
eee.poriyaan.in
Indefinite Integral Formulas - LearningScience
learningscience.co.in
Universal Formulas In Integral And Fractional Differential Calculus ...
amazon.in
Problems based on cauchy's integral formula - Complex integration
eee.poriyaan.in
Q9. For a particular commodity the demand function and the supply ...
appliedmaths.in
Problems based on cauchy's integral formula - Complex integration
eee.poriyaan.in
Problems based on cauchy's integral formula - Complex integration
eee.poriyaan.in
Cauchy Integral Formula with Examples Video Lecture - CSIR NET Crash ...
edurev.in
Exercise 4.1 (Cauchy's integral theorem) - Formula, Problems with ...
eee.poriyaan.in
solve (D^3+2D^2-3D)y=xe^3x - Brainly.in
brainly.in
the particular integral of (D²+DD')z=e^(x-y) - Brainly.in
brainly.in
Plus two mathematics video class Integral Calculus and its applications ...
tnschools.co.in
Maths 12th Chapterwise PYQs Shobhit Nirwan - Relations and Functions ...
studocu.com
Problems based on cauchy's integral formula - Complex integration
eee.poriyaan.in
Related Searches
Particular Integral
Formula of Integral
Cauchy Integral Formula
Particular Solution Formula
Particular Integral of Differential Equation Formula
Sin Integral Formula
Particular Integral Ode
Finding Particular Integral
Particular Integral of Constant
Particular Integral Table
Second Integral Formula
Integral AB Formula
How to Find Particular Integral
Formula of Particular Integral and CF in Graduation Matha
Definite Integral Formula
Derivative Integration Formula
Particular Integral Test Form
Particular Integral of E
Appendix for Particular Integral
Complementary Function Particular Integral
Wronskian Formula of Finding Particular Integral
Particular Integral Formula List
Integral Formula Sheet
Arctan Integral Formula
SA Integral Formula
Integration of DX
Complimentary Integral and Particular Integral
Determine Integral Formula
Definite Integral Rules
Formula for Calculating Particular Integral in PDE
Particular Integral PDF
Particular Integral Formula Linear
Particular Intergral and CF
Basic Differentiation and Integration Formula
Particular Integral Guesses
3 Particular Integral
Particular Integral Forms
Particular Integral of 1
Solving Particular Integral
Special Integration Formula
IBP Formula
Indefinite Integral
Antiderivative Cheat Sheet
Particular Intergral Geneanral
Derivative and Integral Formulas
Particular Integral with Cos
Exponential Particular Integral
Integral Calculus Table
Integration by Parts Formula
Particular Integral of Eixo
Search
×
Search
Loading...
No suggestions found