Find Your Style
Women
Men
Accessories
Search for clothing, brands, styles...
×
Women
Men
Accessories
Patching In Compiler Design
Search
Loading...
No suggestions found
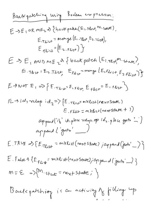
Back patching using Boolean expression: - Compiler Design - Studocu
studocu.com
Buy Compiler Design Book Online at Low Prices in India | Compiler ...
amazon.in
What is a Compiler Design? Types, Construction Tools, Example
codegyan.in
Compiler Answer - Q11. Calculate the first and follow function for the ...
studocu.com
Compiler design quick guide - tutorialspoint/compiler_design/compiler ...
studocu.com
Compiler Design Lab - Lab manual - COMPILER DESIGN LABORATORY MANUAL ...
studocu.com
Compiler Design
archive.nptel.ac.in
Compiler Design: compiler design
gateoverflow.in
The Building Blocks of Compilers Video Lecture - Compiler Design (Video ...
edurev.in
CS3501 Compiler Design: Phases and Types of Compilers - Studocu
studocu.com
Compiler Design for GTU 18 Course (VII - CE/CSE/ICT - 3170701 ...
technicalpublications.in
Compiler Design for JNTU-H 18 Course (III - II - CSE/IT -CS602PC) & Pr ...
technicalpublications.in
Compiler Design
archive.nptel.ac.in
CD UNIT-I - cd notes - Unit I Define compiler. A compiler is a special ...
studocu.com
Compiler design - Compiler design Unit 1: Introduction to Compilers ...
studocu.com
Compiler Design Lab - Lab manual - COMPILER DESIGN LABORATORY MANUAL ...
studocu.com
Compiler Answer - Q11. Calculate the first and follow function for the ...
studocu.com
Fundamentals Of Compiler Design - CSI412 - BAMU - Studocu
studocu.com
Compiler Design
goclasses.in
Basic Blocks and Flow Graphs in Compiler Design - Tutorial And Example ...
studocu.com
CS8602 Compiler Design notes (Downloaded from annauniversityedu - UNIT ...
studocu.com
Reinhard Wilhelm , Helmut Seidl Introduction to Compiler Design with ...
ubuy.co.in
Code optimization technique - Compiler Design - Studocu
studocu.com
Compiler design - unit1 - Compiler Design – Unit I COMPILERS • A ...
studocu.com
Compiler Design (CD) Unit 1: Phases, Lexical Analysis & Parsing Notes ...
studocu.com
Unit 4 Compiler Design - Symbol Table and Activation Records Notes ...
studocu.com
UNIT - 3 - Compiler Design: Syntax Directed Definitions & SDD Examples ...
studocu.com
Basic Blocks and Flow Graphs in Compiler Design - Tutorial And Example ...
studocu.com
Compiler Design CS3591: Unit 3 - Introduction to Compilers & Lexical ...
studocu.com
Compiler Design - Comprehensive Study Guide for Compiler Construction ...
studocu.com
3 1 Compiler Design - LECTURE NOTES ON COMPILER DESIGN 2020 – 2021 III ...
studocu.com
Directed Acyclic Graph (DAG) in Compiler Design - Compiler Design ...
edurev.in
Compiler Design-2023 - Cheat sheet - Introduction to Computer Science ...
studocu.com
Compiler Design - 1 Explain phases of compilers with suitable example ...
studocu.com
Compiler Design
archive.nptel.ac.in
Compiler design manual - Practical – 1 Introduction to LEX The Lex A ...
studocu.com
CS 3501 - Compiler Design Unit I: Intro to Compilers & Lexical Analysis ...
studocu.com
Directed Acyclic Graph (DAG) in Compiler Design - Compiler Design ...
edurev.in
Directed Acyclic Graph (DAG) in Compiler Design - Compiler Design ...
edurev.in
The Phases of Compiler: A Detailed Guide
ccbp.in
Compiler Design LAB Record - DEPARTMENT OF COMPUTER SCIENCE AND ...
studocu.com
Compiler Design Notes - COMPILER DESIGN [R17A0512] LECTURE NOTES B III ...
studocu.com
Compiler design Unit 1 - b.tech - Studocu
studocu.com
Compiler Design unit 2 - Good - Studocu
studocu.com
Transition Diagram - Compiler Design - Computer Science Engineering ...
edurev.in
Compiler Design unit1 - Unit 1 notes - UNIT I INTRODUCTION TO COMPILERS ...
studocu.com
Compiler Design Lab - Lab manual - COMPILER DESIGN LABORATORY MANUAL ...
studocu.com
1Compiler Design - CS8602 COMPILER DESIGN Target Program INTRODUCTION ...
studocu.com
Syntax Tree - Compiler Design - Computer Science Engineering (CSE) PDF ...
edurev.in
Compiler Design - CS3501 5th Semester CSE Dept | 2021 Regulation Notes ...
poriyaan.in
Compiler Design Lab - Lab manual - COMPILER DESIGN LABORATORY MANUAL ...
studocu.com
PRINCIPLES OF MODERN COMPILER DESIGN eBook : HEMANT R. KUMBHAR, SURESH ...
amazon.in
Unit 2 | Compiler Design Notes | AKTU Notes ~ AKTU POINT
aktupoint.blogspot.com
Compiler design syntax analysis - tutorialspoint/compiler_design ...
studocu.com
Automata Theory and Compiler Design Question Paper - Shanti Vardhak ...
studocu.com
Transition Diagram - Compiler Design - Computer Science Engineering ...
edurev.in
SDD - compiler design notes - Compilers Lecture VIII—Semantic Analysis ...
studocu.com
Compiler design unit 1 - CS 3501 COMPILER DESIGN UNIT : 1 INTRODUCTION ...
studocu.com
Compiler design HAND WRITTEN NOTES - Theory Of Computation & Formal ...
studocu.com
Syntax Tree - Compiler Design - Computer Science Engineering (CSE) PDF ...
edurev.in
Compiler Design CD 4 Unit 1 Lecture: Introduction to Compilers - Studocu
studocu.com
Transition Diagram - Compiler Design - Computer Science Engineering ...
edurev.in
Principles Of Compiler Design: Buy Principles Of Compiler Design by ...
flipkart.com
CSE LMS SJCET PALAI
cse.lms.sjcetpalai.ac.in
Cdunit 1 - Compiler Design notes - UNIT INTRODUCTION TO COMPILERS ...
studocu.com
Automata Theory & Compiler Design ATC (21CS51) IA Test Questions - Studocu
studocu.com
Compiler Design
archive.nptel.ac.in
CST302 – COMPILER DESIGN – eLearning @ AISAT
elearning.aisat.ac.in
Compiler Design Lab - Lab manual - COMPILER DESIGN LABORATORY MANUAL ...
studocu.com
COMPILER DESIGN - COMPILER DESIGN Module- Lecture INTRODUCTION TO ...
studocu.com
CD Lab Manual - Compiler Design Practicals - Compiler Design Lab Manual ...
studocu.com
Compiler Design: MadeEasy Workbook: Compiler Design - Parsing
gateoverflow.in
Phases of Compiler with Example - Phases of Compiler with Example ...
studocu.com
CA2-Reports on Compiler Design Topics 15 - ABSTRACT We basically have ...
studocu.com
Compiler Answer - Q11. Calculate the first and follow function for the ...
studocu.com
Compiler Design Lab - cd manual - COMPILER DESIGN LABORATORY MANUAL AND ...
studocu.com
Compiler Design: Compiler Design : Timothy G. Griffin
gateoverflow.in
Construction OF Compiler NOTES - Computer science engineering - Studocu
studocu.com
Syntax Tree - Compiler Design - Computer Science Engineering (CSE) PDF ...
edurev.in
Phases & Passes of Compiler - Compiler Design - Studocu
studocu.com
Compiler design - Consider the following grammar S→ (L)/a L→L, S/S I ...
studocu.com
Compiler Design: Compiler Design compiler design tcompiler-design ...
gateoverflow.in
UNIT3 COMPILER DESIGN LECTURE NOTES - UNIT: 1. OVERVIEW OF COMPILATION ...
studocu.com
CS8602 Complier Design Handwritten notes - lOMoARcPSD| lOMoARcPSD ...
studocu.com
Compiler Design Lab - Lab manual - COMPILER DESIGN LABORATORY MANUAL ...
studocu.com
Compiler Design - CS3501 5th Semester CSE Dept | 2021 Regulation Notes ...
poriyaan.in
Compiler Design: GATE CSE 2023 | Question: 1
gateoverflow.in
Compiler Design - BCS- SYLLABUS COMPILER DESIGN (3-1-0) Credit- Module ...
studocu.com
Compiler Design 2 MARK QN - CS3501 COMPILER DESIGN UNIT 1 (2 MARKS ...
studocu.com
CD UNIT 1-2-3 - Compiler Design - Studocu
studocu.com
Compiler Design Notes - COMPILER DESIGN LECTURE NOTES for Bachelor of ...
studocu.com
Compiler Design 2 - EXPLAINING ALL TOPIC 1. Definition of Compiler ...
studocu.com
Compiler Design Lab - Lab manual - COMPILER DESIGN LABORATORY MANUAL ...
studocu.com
Reaching Definition Analysis - Compiler Design - Computer Science ...
edurev.in
CS6660-Compiler Design - QUESTION BANK SUBJECT : CS6660- COMPILER ...
studocu.com
Compiler Design Lab - Lab manual - COMPILER DESIGN LABORATORY MANUAL ...
studocu.com
Compiler Design Lab - Lab manual - COMPILER DESIGN LABORATORY MANUAL ...
studocu.com
Compiler Design (Video Lectures for GATE) - Books, Notes, Tests 2024 ...
edurev.in
21CS51-ATC - Automata Theory and Compiler Design - Studocu
studocu.com
LR Parsing - Compiler Design - Computer Science Engineering (CSE) PDF ...
edurev.in
Amazon.in: Buy Principles Of Compiler Design Book Online at Low Prices ...
amazon.in
Compiler Design: Compiler Construction : Timothy G. Griffin
gateoverflow.in
Syntax Tree - Compiler Design - Computer Science Engineering (CSE) PDF ...
edurev.in
Compiler Design
repository.jamiahamdard.edu
Compiler Design - A simple One Pass Compiler - A simple One Pass ...
studocu.com
Compiler Design R16 - Cotle No: 136,\Q I 1116 l .I A\'A FIA III,A I- N ...
studocu.com
Compiler Design: GATE CSE 2007 | Question: 18
gateoverflow.in
QB104631 - compiler design question bank - CS6660 COMPILER DESIGN UNIT ...
studocu.com
Compiler design lab Experiment - LAB EXPERIMENT COMPILER LAB (KCS-552 ...
studocu.com
SCSA1604-Compiler Design - SCSA 604 COMPILER DESIGN L T P Cred its ...
studocu.com
Cd mod4 - Compiler Design lecture notes. Thank you! - compiler design ...
studocu.com
Automata and compiler design - ATCD1 - Studocu
studocu.com
10 - book - Compiler Design - Studocu
studocu.com
Compiler Design - unit 4 - B C Dependency graph for inherited ...
studocu.com
UNIT - 1 - compiler design - Studocu
studocu.com
Compiler design lab - Good - V V COLLEGE OF ENGINEERING TISAIYANVILAI ...
studocu.com
Compiler Design: Static vs Dynamic Links in activation records
gateoverflow.in
Basic Blocks and Flow Graphs - Compiler Design - Computer Science ...
edurev.in
Compiler Design - Subjects - Gyan Aangan
gyanaangan.in
Compiler Design
universityacademy.in
Related Searches
Compiler Design Diagram
Basic Blocks in Compiler Design
Patterns in Compiler Design
In and Out Compiler Design
Anita R Compiler Design
Compiler Design PNG Image
Compiler Design Wall Paper
Basic Block Examples in Compiler Design
Handle and Handle Purning in Compiler Design
Compiler Structure
Bootstrapping in Compiler Design Diagram Geekforgeek
Automata Theory and Compiler Design Logo.png
Basic Building Blocks of Compiler Design
Complier Design Animated
Dinesh Gupta Compiler Design
Compiler Design Douglas Thain
Compiler Design Pic for Backdound
Compiler Design Best 3D Picture for PPT
Syntax Analysis Compiler Design PNG Images
Semantic Analysis Compiler Design PNG Images
Compiler Design Black and White Text
Compiler Design Subject Images
Compiler Design Clip Art
Thompson Construction in Compiler Design
Search
×
Search
Loading...
No suggestions found