Find Your Style
Women
Men
Accessories
Search for clothing, brands, styles...
×
Women
Men
Accessories
Patching Using Clampex
Search
Loading...
No suggestions found
USD to INR converter: Convert USD to INR using USD to INR currency ...
economictimes.indiatimes.com
Planning Your Finances Abroad: Using a GBP to INR Converter for Precise ...
smestreet.in
Punjab Kings buy back Arshdeep Singh for INR 18 crore using RTM card at ...
sportskeeda.com
Shiba Inu Price Prediction, INR India 28th January 2023: Expected ...
in.mashable.com
INR To Yen Conversion: An All Inclusive Guide For 2026
traveltriangle.com
Convert INR To USD: Your Guide On US Currency Exchange Rate
traveltriangle.com
INR
indiannaturalrubber.com
5 Ways To Convert INR To Thai Baht For The Lowest Fee In 2025
traveltriangle.com
Convert INR To Dirham: Top Currency Exchange Spots And More
traveltriangle.com
Convert INR To Dirham: Top Currency Exchange Spots And More
traveltriangle.com
Best EURO to INR Exchange Rate | Buy or Sell Euros at Best Rates
orientexchange.in
Check Out The Unlimited Buffets Under INR 500 | LBB, Kolkata
lbb.in
IIT Indore Opening for JRF Position, INR 31,000 per month; Apply by ...
edubard.in
3D Dense Separated Convolution Module for Volumetric Medical Image Analysis
mdpi.com
Rapink Patch Panel 24 Port Cat6A with Inline Keystone 10G Support, Pass ...
amazon.in
Lysymixs 24 Port RJ45 Cat6 Patch Panel with Keystone India | Ubuy
ubuy.co.in
Rapink 24 Port Cat6A Patch Panel with 10G Support India | Ubuy
ubuy.co.in
Choosing the right nicotine replacement therapy (NRT)
blog.walgreens.com
OCI Fleet Application Management Service| Oracle India
oracle.com
Nothing appeared when clicking "Use Probability Emitter" - question - Forum
forum.vvvv.org
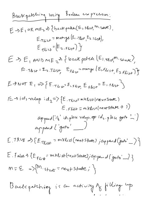
Back patching using Boolean expression: - Compiler Design - Studocu
studocu.com
Ardex MRF Water Resistant Rapid-Drying, Cement Based India | Ubuy
ubuy.co.in
The Perfect Guide on How to Use Acne Patches - Kshipra Health – Kshipra ...
kshiprahealth.com
Buy Lysymixs 24 Port RJ45 Patch Panel Cat6 STP Feed Through, Coupler ...
desertcart.in
50m(164ft) OS2 LC to LC Single Mode Fiber Patch Cables, Options 0.2m ...
amazon.in
Buy Tech next 10m SC-SC SingleMode Fiber Optic Patch Cable Fiber Cables ...
amazon.in
Buy Hole Patching in Unstructured Mesh and Parallelization Using ...
amazon.in
Buy RocRide 16 Piece Inner Tube Patch Bicycle Tire Repair Kit. Also for ...
ubuy.co.in
Flipkart.com | Sticky Buddy Leak Proof Butyl Seal Strip Watertight ...
flipkart.com
Scientists Find Cure For Male Baldness Using A Micro-Needle Patch
indiatimes.com
Hotone FS1 Ampero Switch Dual Switch Pedal – Jubal Store
jubalstore.com
Using a Mixer With a DAW
ethanwiner.com
SIKA Corp FBA_472189 1 Qt. Ready-Mix Concrete Patch, 1 Quart, Gray ...
amazon.in
Nicotex Nicotine Patch | Helps Quit Smoking | Cipla Health
nicotex.in
Buy 60 Pcs) Mugwort Belly Patch, Natural Plant Abdomen Navel Patch, Use ...
ubuy.co.in
Zeldinac 200 MG Patch | Order Zeldinac 200 MG Patch Online at Truemeds
truemeds.in
Buy Mending Clothes: An Upcycling Stitching Clothing Handbook for ...
amazon.in
Buy 60 Pcs) Mugwort Belly Patch, Natural Plant Abdomen Navel Patch, Use ...
ubuy.co.in
Quicknik Waterproof Tape For Leakage Proof Multi-Use Duct Strong ...
amazon.in
Buy IMPRESA Aluminum Foil Tape - 1.9 Inches Wide (150 Feet/50 Yards ...
desertcart.in
Bill Invoice Format in Excel | Free Download - Wise
wise.com
Buy 60 Pcs) Mugwort Belly Patch, Natural Plant Abdomen Navel Patch, Use ...
ubuy.co.in
Buy Glucomart Omnipod Adhesive Patches Waterproof No-Lift No-Fray Patch ...
desertcart.in
Buy 360TronicsHeavy Duty Black Duct Tape 2 Inch x 30 Yards, All-Weather ...
desertcart.in
Nicotex Nicotine Patch | Helps Quit Smoking | Cipla Health
nicotex.in
Buy Useful Black Medical Use Concave Eye Patch 3D Foam Groove Eyeshades ...
ubuy.co.in
Best Hair Patch in Delhi | Non-Surgical Hair Patch Service - LordHairs
lordhairs.in
Botim
botim.me
Fiber Patch Panel - 24 Port Fiber Patch Panel SC SC SIMPLEX Service ...
shivnetworksolutions.co.in
Ethernet Cable CAT6 3 FT - 10-PACK 3 FEET Each - By Ultra Clarity ...
amazon.in
Viopatch - Pain Relief Patch - 30 Patches : Amazon.in: Health ...
amazon.in
Liberalization of FEMA Regulations for encouraging settlement of cross ...
ey.com
MAKPHALT Fiber Glass Mesh Sheet Tape For Waterproof to Roof/Crack Patch ...
amazon.in
Labottach 72 Hydrogel Patches Dark Spot Old Age Spot Care | Desertcart ...
desertcart.in
Mahatma Gandhi picture on indian currency on note where it was taken ...
indiatv.in
Buy SOUR PATCH KIDS Xploderz Soft & Chewy Candy, 12 - 6.5 oz Bags ...
ubuy.co.in
Examples for healing brush in Photoshop
helpx.adobe.com
MAKPHALT Fiber Glass Mesh Sheet Tape For Waterproof to Roof/Crack Patch ...
amazon.in
DLINK RJ45 CAT 6 5M, 16 Feet Patch Cable for Modem, Personal Computer ...
amazon.in
Bill Invoice Format in Excel | Free Download - Wise
wise.com
Butyl Tape - Amazon.in
amazon.in
MAKPHALT Fiber Glass Mesh Sheet Tape For Waterproof to Roof/Crack Patch ...
amazon.in
Calculation of Tender or Quotation - Overheads, Cost Accounting - Cost ...
edurev.in
ENG vs IND: Virender Sehwag Makes Big Statement About Virat Kohli Poor Form
mensxp.com
Pumpkin Patch Dramatic Play - Twinkl
twinkl.co.in
Stay cool on the go this summer with these 9 essentials | Fox News
foxnews.com
Paint & Surface Testing Insturmenst - Pencil Type Coating Thickness ...
bombaytools.in
realme C67 5G sale starts on Flipkart; offers dynamic display and fast ...
tech.hindustantimes.com
KIDNEY | NAMO Medical Education & Research Institute
museum.namomeridnhdd.in
Buy Systimax Commscope CPC3312-01F015 GigaSPEED-XL 1074E Patch-Cord ...
ubuy.co.in
Mandatory HSN/SAC Codes in GST Invoices from 01.04.2021
taxguru.in
MAKPHALT Fiber Glass Mesh Sheet Tape For Waterproof to Roof/Crack Patch ...
amazon.in
Buy New! Libre/Libre 2 GripShield by Deck My Diabetes-Reusable ...
desertcart.in
Menu at Veggie Patch, Mumbai
restaurant-guru.in
Wellness Today Detox Foot Patch, Kinoki Toxin Removal Foot Patch
sonienterprise.in
Best Hair Patch, Hair Wigs, Hair Extensions | PS Hair Replacement
pshairreplacement.com
Kerala Lottery Result: December 5, 2025 - Suvarna Keralam SK 30 Live ...
freepressjournal.in
Bids Are Invited For Repair And Overhauling Service - High Frequency ...
biddetail.com
Buy Under Soft Close Drawer Slides,6 Pair 12 Inch 100lb Load Capacity ...
desertcart.in
OPPO Mobile Phones under 15000: List of Top 10 OPPO Phones in India
godigit.com
Best Hair Patch, Hair Wigs, Hair Extensions | PS Hair Replacement
pshairreplacement.com
Classic and Modern Goatee Beard Styles for Men | Gillette IN
gillette.co.in
PremiumAV RJ45 Cat-6 Ethernet Patch/LAN Cable (10M, White) : Amazon.in ...
amazon.in
Buy Arctic Hunter Backpack Premium Business Backpack for Men Office ...
amazon.in
Java developer Images - Free Download on Freepik
freepik.com
How to get more performance - general - Forum
forum.vvvv.org
TREND SPOTTING: OTT BOMBERS | Grazia India
grazia.co.in
Classic and Modern Goatee Beard Styles for Men | Gillette IN
gillette.co.in
Meltdown and Spectre CPU Vulnerabilities and its Remediation | T/DG ...
blog.thedigitalgroup.com
Buy 12 Port LC Fiber Optic Cable Patch Panel Singlemode (loaded 1u) 19 ...
amazon.in
Buy 90 Pairs (180pcs) Nipple Cover for runners, Anti Chafing Nipple ...
ubuy.co.in
Shopify Analytics and Reporting Dashboards - Shopify India
shopify.com
MATCHING SETS – Label Aditi Hundia
labeladitihundia.com
Q. To stitch a shirt 2M 20 Cm of cloth is required. a tailor has ...
brainly.in
Classic and Modern Goatee Beard Styles for Men | Gillette IN
gillette.co.in
Cure By Design - CBD Transdermal Patch – CannaMeds India
cannameds.in
PTE Exam Registration 2024: Everything You Need to Know About PTE Exam ...
yocket.com
MAKPHALT Fiber Glass Mesh Sheet Tape For Waterproof to Roof/Crack Patch ...
amazon.in
Buy Freestyle Sensor Covers for Libre 1/2, 55 Pack Waterproof Adhesive ...
desertcart.in
Best Hair Patch, Hair Wigs, Hair Extensions | PS Hair Replacement
pshairreplacement.com
Bridal Lehenga | Buy maroon-velvet-wedding-wear-patch-work-a-line ...
kollybollyethnics.com
Krutrim Launches Agentic AI Assistant Kruti in India
jigya.co.in
Pain management medicines - Buprinorphine Transdermal Patch 20mg ...
pharmatone.in
Production Linked Incentive Scheme (PLI)
aicfo.in
Current Issues | Wjpps Controller
wjpps.com
12 Most Pinned Wedding Sarees of 2014-15 – India's Wedding Blog
weddingsonline.in
ViewSonic Portable Monitor Vg1655 15.6 Inch (39.62 Cm), 1920 X 1080 ...
amazon.in
Ranveer Singhs 90s RetroInspired Shoes Are Super Fun Colourful, And ...
mensxp.com
Banned & Exempted Plastic For Maharashtra Plastic Ban I LBB, Mumbai
lbb.in
NKD SKN PreShower Gradual Tan - Price in India, Buy NKD SKN PreShower ...
flipkart.com
Advance FRP Cooling Towers -Shah Marketing, Indore
shahmarketing.co.in
The Airtel Money app - Everything that you need to know
blog.grabon.in
Buy Mechatron Robotics? 20+ AI Based Projects & Robots Using Raspberry ...
amazon.in
Grundfos Centrifugal Water Pump -Shah Marketing, Indore
shahmarketing.co.in
Best Cruiser Bikes In India- Bajaj Avenger, Royal Enfield Thunderbird ...
carblogindia.com
Advance FRP Cooling Towers -Shah Marketing, Indore
shahmarketing.co.in
A Serene private island in Kerala you can rest for just 12K!
traveltriangle.com
Related Searches
Clampex Patch
KTR 200
Clampex Tablet
Clampex EPC10
KTR Clampex 400
KTR 250
Clampex Shortcuts
Ruins Clampex
Hydraulic Clamping System
KTR Bearings
KTR Clampex 225
Clampex Voltage Time Traces
Clampex KTR 700
Chr2 Clampex
Clampex Multi Clamp Integration
Cool LED Clampex Connect
Self-Centering Clamp
Rotex Coupling
Clampex KTR 400
Clampex KTR 100
Clampex Kupplung
Axon Clampex
AxoScope
Clamp Kid Forte Tablet
Clampex Ordinateur
Kt7235 Clamp
Clamp Forte Syrup
Motex Clamp
Xcrew Clamp
Clamp Cicin
Aclin Clamp
Clamp XL Syrup
Victaulic Clamp
Patentenic Clamp
HoverMatt Clamp
Nobex 110 Clamp
Clamp Fit
Pixivision Clamp
Kentrax Clamp
Shaft 200 Clamp
MaxTrax Clamp
Kleemann Kt80-2
X-Clamp Vol. 1
SE Refine Clamp
Maxel Reel Clamp
Search
×
Search
Loading...
No suggestions found