Find Your Style
Women
Men
Accessories
Search for clothing, brands, styles...
×
Women
Men
Accessories
Pdla Form
Search
Loading...
No suggestions found
INR Full Form
adda247.com
Fillable Online INR Application Form.doc Fax Email Print - pdfFiller
pdffiller.com
Philips Remote Inr Order Form - Fill Online, Printable, Fillable, Blank ...
pdffiller.com
Fillable Online fill in the blank inr form Fax Email Print - pdfFiller
pdffiller.com
Fillable Online Acelis inr form Fax Email Print - pdfFiller
pdffiller.com
Inr Tracking Sheet - Fill and Sign Printable Template Online
uslegalforms.com
Buy PT INR Log Book Printable, Inr Tracker, INR Anticoagulant ...
etsy.com
Fillable Online INR Application Form.doc Fax Email Print - pdfFiller
pdffiller.com
Fillable Online APPLICATION FOR INR FUND TRANSFER (RTGS) FORM Fax Email ...
pdffiller.com
INR Full Form: What is full form of INR?
bankersadda.com
INR Full Form: What Is The Full Form Of INR?
samco.in
Kotak Securities — Without any queries money inr 9,990 deducted form my ...
consumercomplaints.in
Good news for Delhi Capitals! INR 9 crore opener roars back in form ...
insidesport.in
Fillable Online inr oregonstate Heritage Ranking Form - State Rank ...
pdffiller.com
GBP to INR for ACCA exam fees - Eduyush
eduyush.com
INR Full Form: What is full form of INR?
bankersadda.com
INR Full Form: What Is The Full Form Of INR?
samco.in
INR Full Form: What is full form of INR?
bankersadda.com
INR Full Form: What is full form of INR?
bankersadda.com
what is the full form of INR - Brainly.in
brainly.in
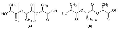
Relationship between the Stereocomplex Crystallization Behavior and ...
mdpi.com
Relationship between the Stereocomplex Crystallization Behavior and ...
mdpi.com
Relationship between the Stereocomplex Crystallization Behavior and ...
mdpi.com
Stereocomplex-Reinforced PEGylated Polylactide Micelle for Optimized ...
mdpi.com
Relationship between the Stereocomplex Crystallization Behavior and ...
mdpi.com
Relationship between the Stereocomplex Crystallization Behavior and ...
mdpi.com
Influence of Polylactide (PLA) Stereocomplexation on the Microstructure ...
mdpi.com
Relationship between the Stereocomplex Crystallization Behavior and ...
mdpi.com
Relationship between the Stereocomplex Crystallization Behavior and ...
mdpi.com
Relationship between the Stereocomplex Crystallization Behavior and ...
mdpi.com
Influence of Polylactide (PLA) Stereocomplexation on the Microstructure ...
mdpi.com
Melt Viscoelastic Assessment of Poly(Lactic Acid) Composting: Influence ...
mdpi.com
Melt Viscoelastic Assessment of Poly(Lactic Acid) Composting: Influence ...
mdpi.com
Stereocomplex-Reinforced PEGylated Polylactide Micelle for Optimized ...
mdpi.com
Melt Viscoelastic Assessment of Poly(Lactic Acid) Composting: Influence ...
mdpi.com
Melt Viscoelastic Assessment of Poly(Lactic Acid) Composting: Influence ...
mdpi.com
Fillable Online PDLA.doc Fax Email Print - pdfFiller
pdffiller.com
Coaxial Electrospun PLLA Fibers Modified with Water-Soluble Materials ...
mdpi.com
PDLA Main Page
pdla.in
PDLA Main Page
pdla.in
Full form of GBP and INR: Explained and Compared
shallbd.com
Pathwest Request Form - Fill Online, Printable, Fillable, Blank | pdfFiller
pdffiller.com
Mdinr Form - Fill Online, Printable, Fillable, Blank | pdfFiller
form-pt-inr.pdffiller.com
Form 67 and Claim Of Foreign Tax Credit
cleartax.in
Fillable Online NEW ORDER FORMS INRs TESTINGCOLLECTION Fax Email Print ...
pdffiller.com
Stereocomplex-Reinforced PEGylated Polylactide Micelle for Optimized ...
mdpi.com
2021-2025 Form SC DMV DLA-1 Fill Online, Printable, Fillable, Blank ...
dla-1-form-dmv.pdffiller.com
Ptinr Com - Fill and Sign Printable Template Online
uslegalforms.com
Liquipastin - Fill and Sign Printable Template Online
uslegalforms.com
Fillable Online Sc dmv form 452 instructions Fax Email Print - pdfFiller
pdffiller.com
Crystallization and Alkaline Degradation Behaviors of Poly(l-Lactide)/4 ...
mdpi.com
PDLA Main Page
pdla.in
Procedure for getting Certificate of Donation (FORM 10BE) online
taxguru.in
PDLA Main Page
pdla.in
Form 16 कैसे डाउनलोड करें: फॉर्म 16 कैसे भरें और अपलोड करें
paisabazaar.com
Partial Thromboplastin Time Wikipedia, 58% OFF
elevate.in
Dorevitch Order Form - Fill Online, Printable, Fillable, Blank | pdfFiller
pdffiller.com
FORM R-2 REPORT OF ALTERATION In Accordance With - Nationalboard - Fill ...
uslegalforms.com
Crystallization and Alkaline Degradation Behaviors of Poly(l-Lactide)/4 ...
mdpi.com
1 million dong in indian rupees - Brainly.in
brainly.in
PDLA Main Page
pdla.in
Asme U1 Form - Fill Online, Printable, Fillable, Blank | pdfFiller
pdffiller.com
2016 Form LA R-10606 Fill Online, Printable, Fillable, Blank - pdfFiller
pdffiller.com
Upmc Registration - Fill Online, Printable, Fillable, Blank | pdfFiller
pdffiller.com
2012 Supplement Schedule For Refund Of Louisiana Citizens Property ...
uslegalforms.com
Buy PDLA-50, Sensata Klixon, Thermal 50 amp Circuit Breaker Online at ...
ubuy.co.in
PDLA Main Page
pdla.in
USD/INR Cracks Big: Falls 2% in 4 Days! | Investing.com India
in.investing.com
What is Filing Of 1042 Form?
taxguru.in
PDLA Main Page
pdla.in
Rupee Depreciation: Will India's Exports Stand To Gain? | Investing.com ...
in.investing.com
Best Budget Laptop in India under Rs. 30000
primebook.in
Blood Test Report - Fill Online, Printable, Fillable, Blank | pdfFiller
pdffiller.com
Melt Viscoelastic Assessment of Poly(Lactic Acid) Composting: Influence ...
mdpi.com
PDLA Main Page
pdla.in
IRS 1099-R form | pdfFiller
pdffiller.com
Full form of GBP and INR: Explained and Compared
shallbd.com
Export Invoice Format|Export Invoice Sample & Template for Online Software
eformz.in
Post Office Recurring Deposit (RD) Form 2024 PDF - Download Account ...
yogiyojana.co.in
Fillable Online revenue louisiana Sales Tax Exemption Certificate for ...
pdffiller.com
Louisiana Form R 1391 - Fill Online, Printable, Fillable, Blank | pdfFiller
pdffiller.com
Warfarin Dose Adjustment Chart - Fill Online, Printable, Fillable ...
pdffiller.com
2006 UK NHS Home Oxygen Order Form (HOOF) Fill Online, Printable ...
pdffiller.com
Zen Publications
zenpublications.com
2011-2020 Form LA LDR R-1070 Fill Online, Printable, Fillable, Blank ...
pdffiller.com
Form for Reimbursement of Medical claims of ECHS Beneficiaries ...
staffnews.in
Leaders take note: The Army’s counseling form gets a much-needed update ...
army.mil
Mandatory HSN/SAC Codes in GST Invoices from 01.04.2021
taxguru.in
NC D-400 Schedule S 2022 - Fill and Sign Printable Template Online
uslegalforms.com
Different Dance Forms of India
liberalarts.dpu.edu.in
PH DOLE-BWC AF-PCN-A1 Form - Fill Online, Printable, Fillable, Blank ...
pdffiller.com
Mixing cylinders, tall form, BLAUBRAND®, class A, Boro 3,3, DE-M, with ...
shop.brand.co.in
EPF Form 10D: Instructions, How to Download & Filling Procedure
paisabazaar.com
Full form of GBP and INR: Explained and Compared
shallbd.com
Graduated cylinders, tall form, BLAUBRAND®, class A, DE-M, 10 ml : 0.2 ...
shop.brand.co.in
Drs Form R 657 - Fill Online, Printable, Fillable, Blank | pdfFiller
pdffiller.com
Da Form 4610 R - Fill Online, Printable, Fillable, Blank | pdfFiller
pdffiller.com
2010 Form Philippine R-5 Fill Online, Printable, Fillable, Blank ...
pdffiller.com
Best Voyage: Explore Top Travel Destinations & Unforgettable Journeys
bestvoyage.in
IRS Form 1040-NR ≡ Fill Out Printable PDF Forms Online, 47% OFF
elevate.in
Usar Form 24 R - Fill Online, Printable, Fillable, Blank | pdfFiller
pdffiller.com
SR - 1 Form for applying leave
potoolsblog.in
TA & DA Full Form: जानिए क्या होता है TA और DA भत्ता, देखें TA-DA फुल ...
hindi.bankersadda.com
FOOTLOOSE | Grazia India
grazia.co.in
2011 Form MY LHDN CP22 Fill Online, Printable, Fillable, Blank - pdfFiller
pdffiller.com
Fillable Online revenue louisiana R-1376 (1/09) Governmental Employees ...
pdffiller.com
Full form of GBP and INR: Explained and Compared
shallbd.com
Fillable Online Election Commission of India - forms.gov.in Fax Email ...
pdffiller.com
Liberalization of FEMA Regulations for encouraging settlement of cross ...
ey.com
Incontinence Order Form Referral 219084 - Fill and Sign Printable ...
uslegalforms.com
Graduated cylinders, tall form, BLAUBRAND® ETERNA, class A, Boro 3,3 ...
shop.brand.co.in
New Product Development Form - Fill Online, Printable, Fillable, Blank ...
pdffiller.com
PDLA Main Page
pdla.in
Fillable Online Static-99 Coding Form Fax Email Print - pdfFiller
pdffiller.com
Fillable Online Gems Application Form - Fill Online, Printable ...
pdffiller.com
Free CRM Trial: Salesforce 30-Day Trial - Salesforce IN
salesforce.com
Shiba Inu’s Highly Anticipated Shibarium Officially Launches in Beta ...
cryptopanic.com
How to change name in Land Registry
magicbricks.com
Whatsapp
prathapsatlaandassociates.com
2008 Form PH SSS R-1 Fill Online, Printable, Fillable, Blank - pdfFiller
r-1-form.pdffiller.com
Related Searches
SC Pdla Form
Printable South Carolina DMV Form 400
SC DMV Forms to Print
MC 7 Form
Cash Verification Form
DMV Forms to Print Out
SCDMV Form Ti 006
AA Attendance Verification Form
MS Certification of School Attendance Form
Edla Criminal Form
Pdla and Plla Polymers
Form for Driver for Attendance Event
DMV Forms Printable SC
Printable SCDMV Form 452
TB Consent Form Printable
E Colla Plla
DMV Attendance Form
Enrollment Form
TB Skin Test Form PDF Printable
Lactic Acid L and D Forms
AA Meeting Attendance Form
Free Printable Property Relinquishing Forms
Plla Crystallization
Pdla Structuurformule
Driving Licence Form
Plla Pdla Stereocomplex
SCDMV Road Test Form
Tuberculin Skin Test Form for Employee
SCDMV Tea 1 Form
PDS Blank Free Downloadable Form
Form 411
SC Form RG 007A
Pdla and Plla Polymers General Picture
School Attendance Verification Form
Fize Plla
D-lactic Acid
Neofilera Pdlla
SCDMV Form Ti 007
Pdla Molecular Structure
Isotactic Plla
SC Bill of Sale Form
SCDMV Printable Forms
DMV 65 MCP Certificate Fillable Form
Certificate of School Attendance Form
SCDMV Ti 004A Form
Sample Notary Form Non-Collusion Affidavit
Sample of Pdpa Consent Form
Professional Development Application Form
Pdla Voucher Form
SC Form Rg-007A
Search
×
Search
Loading...
No suggestions found