Find Your Style
Women
Men
Accessories
Search for clothing, brands, styles...
×
Women
Men
Accessories
Pdms Film With Embedded Amine Group Synthesis
Search
Loading...
No suggestions found
Synthesis and Hydrophilicity Analysis of bis(propane-1,2-diol ...
mdpi.com
Improving Hydrophilicity and Adhesion of PDMS through Dopamine ...
mdpi.com
Fabrication of UV-Crosslinked Flexible Solid Polymer Electrolyte with ...
mdpi.com
A Near-Infrared Mechanically Switchable Elastomeric Film as a Dynamic ...
mdpi.com
Patterned Fibers Embedded Microfluidic Chips Based on PLA and PDMS for ...
mdpi.com
PEG/PPG-PDMS-Adamantane-Based Crosslinked Terpolymer Using the ROMP ...
mdpi.com
Improving the Performance of a Triboelectric Nanogenerator by Using an ...
mdpi.com
Properties and Applications of PDMS for Biomedical Engineering: A Review
mdpi.com
Silicalite-1/PDMS Hybrid Membranes on Porous PVDF Supports: Preparation ...
mdpi.com
Flexible PDMS-Based SERS Substrates Replicated from Beetle Wings for ...
mdpi.com
Dip-Coating Approach to Fabricate Durable PDMS/STA/SiO2 ...
mdpi.com
Flexible Capacitive Pressure Sensor Based on Microstructured Composite ...
mdpi.com
Water-Based Highly Stretchable PEDOT:PSS/Nonionic WPU Transparent Electrode
mdpi.com
Controlled Drug Release by the Pore Structure in Polydimethylsiloxane ...
mdpi.com
Polysiloxane/Polystyrene Thermo-Responsive and Self-Healing Polymer ...
mdpi.com
A High-Sensitivity Flexible Direct X-ray Detector Based on Bi2O3/PDMS ...
mdpi.com
Biomimetic Slippery PDMS Film with Papillae-Like Microstructures for ...
mdpi.com
A Novel Porous PDMS-AgNWs-PDMS (PAP)-Sponge-Based Capacitive Pressure ...
mdpi.com
Improving Hydrophilicity and Adhesion of PDMS through Dopamine ...
mdpi.com
Improving Hydrophilicity and Adhesion of PDMS through Dopamine ...
mdpi.com
Controlled Drug Release by the Pore Structure in Polydimethylsiloxane ...
mdpi.com
Self Assembled Films of Porphyrins with Amine Groups at Different ...
mdpi.com
Flexible PDMS-Based SERS Substrates Replicated from Beetle Wings for ...
mdpi.com
Polysiloxane/Polystyrene Thermo-Responsive and Self-Healing Polymer ...
mdpi.com
Silicalite-1/PDMS Hybrid Membranes on Porous PVDF Supports: Preparation ...
mdpi.com
A Highly Sensitive and Flexible Capacitive Pressure Sensor Based on a ...
mdpi.com
Surface Segregation of Amphiphilic PDMS-Based Films Containing ...
mdpi.com
Radiation Damage of Polydimethylsiloxane and Polyimide by X-ray Free ...
mdpi.com
Self Assembled Films of Porphyrins with Amine Groups at Different ...
mdpi.com
Study on Mechanical Properties of Polyurethane Cross-Linked P(E-co-T ...
mdpi.com
Self Assembled Films of Porphyrins with Amine Groups at Different ...
mdpi.com
Amine Responsive Poly(lactic acid) (PLA) and Succinic Anhydride (SAh ...
mdpi.com
Controlled Drug Release by the Pore Structure in Polydimethylsiloxane ...
mdpi.com
Carbon Black/PDMS Based Flexible Capacitive Tactile Sensor for Multi ...
mdpi.com
Reaction Chart: Preparation and Properties of Amines
chemca.in
Silicalite-1/PDMS Hybrid Membranes on Porous PVDF Supports: Preparation ...
mdpi.com
22. nitrosamine will be formed by the reaction of nitrous acid with (a ...
scoop.eduncle.com
Hofmann Elimination Reaction: Mechanism, Examples & Applications | AESL
aakash.ac.in
Fast Solution-Phase and Liquid-Phase Peptide Syntheses (SolPSS and LPPS ...
mdpi.com
Amines Chemical Properties: Basic Nature of Amines, Carbylamine ...
aakash.ac.in
NCERT Solutions for Class 12 Chemistry Chapter 13 Amines
oswalpublishers.com
Derivatization and Separation of Aliphatic Amines
sigmaaldrich.com
Self Assembled Films of Porphyrins with Amine Groups at Different ...
mdpi.com
Urea Synthesis from Isocyanides and O-Benzoyl Hydroxylamines Catalyzed ...
mdpi.com
Preparation of SiO2@Au Nanoparticle Photonic Crystal Array as Surface ...
mdpi.com
Water-Based Highly Stretchable PEDOT:PSS/Nonionic WPU Transparent Electrode
mdpi.com
Properties and Applications of PDMS for Biomedical Engineering: A Review
mdpi.com
Biomimetic Slippery PDMS Film with Papillae-Like Microstructures for ...
mdpi.com
Molecules | Special Issue : Application of Ultrasound in Chemical Reaction
mdpi.com
Ethyl Amine: Preparation, Properties, Uses, and Tests|Chemistry Page
chemistrypage.in
Diazotization of anilline for preparing alcohol is which type of reaction
scoop.eduncle.com
Hinsberg test is used for distinguishing primary, secondary and ...
ask.learncbse.in
An Electromagnetically Actuated Double-Sided Cell-Stretching Device for ...
mdpi.com
Biomimetic Slippery PDMS Film with Papillae-Like Microstructures for ...
mdpi.com
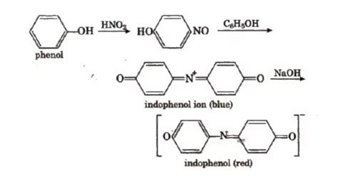
Chemistry of liebermann's nitroso reaction - Brainly.in
brainly.in
Flexible Thin-Film PZT Ultrasonic Transducers on Polyimide Substrates
mdpi.com
Controlled Drug Release by the Pore Structure in Polydimethylsiloxane ...
mdpi.com
Phosphate Esters, Thiophosphate Esters and Metal Thiophosphates as ...
mdpi.com
Effective Elastic Modulus of Structured Adhesives: From Biology to ...
mdpi.com
Curing | Encyclopedia MDPI
encyclopedia.pub
Self Assembled Films of Porphyrins with Amine Groups at Different ...
mdpi.com
Lithography-Free Fabrication of Periodic Metal Network for Ultra ...
jncasr.ac.in
Colorimetric-Based Detection of TNT Explosives Using Functionalized ...
mdpi.com
Silicon Wafer CMP Slurry Using a Hydrolysis Reaction Accelerator with ...
mdpi.com
Epoxides in Chemistry: Definition, Types and Importance | AESL
aakash.ac.in
Self Assembled Films of Porphyrins with Amine Groups at Different ...
mdpi.com
Fabrication of an Anti-Reflective and Super-Hydrophobic Structure by ...
mdpi.com
Reduced Reactivity of Amines against Nucleophilic Substitution via ...
mdpi.com
Polysiloxane/Polystyrene Thermo-Responsive and Self-Healing Polymer ...
mdpi.com
Antagonists of Vitamin K—Popular Coumarin Drugs and New Synthetic and ...
mdpi.com
Ultra-Sensitive Flexible Pressure Sensor Based on Microstructured Electrode
mdpi.com
Diazonium Salt Preparation in Chemistry: Definition, Types and ...
aakash.ac.in
Tertiary Amine Uses || What is a Primary Secondary and Tertiary Amine ...
chemistrypage.in
Ammonolysis of alkyl halides followed by the treatment with NaOH ...
edurev.in
Libermaan nitroso test????????????....
scoop.eduncle.com
Development of Uniform Polydimethylsiloxane Arrays through Inkjet Printing
mdpi.com
Biomimetic Slippery PDMS Film with Papillae-Like Microstructures for ...
mdpi.com
What cannot primary amines be prepared by gabriel phthalimide synthesis ...
brainly.in
AVEVA™ PDMS
aveva.com
Biomimetic Slippery PDMS Film with Papillae-Like Microstructures for ...
mdpi.com
Review of Growth Defects in Thin Films Prepared by PVD Techniques
mdpi.com
A Limited-View CT Reconstruction Framework Based on Hybrid Domains and ...
mdpi.com
Biomimetic Slippery PDMS Film with Papillae-Like Microstructures for ...
mdpi.com
Simple Synthesis of Modafinil Derivatives and Their Anti-inflammatory ...
mdpi.com
Is it possible to distinguish aromatic amines from aliphatic amines. If ...
brainly.in
Glucose - Structure, Preparation, Uses & Properties - Chemistry ...
aakash.ac.in
Group Transfer Reactions :- Pericyclic Reactions Chemistry Notes | EduRev
edurev.in
Self Assembled Films of Porphyrins with Amine Groups at Different ...
mdpi.com
please give the mechanism of Liebermann's test for phenols and for ...
brainly.in
Effects of Schiff Base Formation and Aldol Condensation on the ...
mdpi.com
Arrange the following amines in the order of increasing basicity.
tardigrade.in
Control of Silver Coating on Raman Label Incorporated Gold ...
mdpi.com
conversion of acetic acid to ethylamine - Brainly.in
brainly.in
Biomimetic Slippery PDMS Film with Papillae-Like Microstructures for ...
mdpi.com
Development of Uniform Polydimethylsiloxane Arrays through Inkjet Printing
mdpi.com
Synthesis, Characterization and Application of a New Functionalized ...
mdpi.com
LB Film Deposition Technology — Apex Instruments
apexicindia.com
Linkers Having a Crucial Role in Antibody–Drug Conjugates
mdpi.com
Amines: Nomenclature, Isomerism, Basic Characters|Chemistry Page
chemistrypage.in
Dimethylamine in India - Chemicalbook.in
chemicalbook.in
High Sensitivity Flexible Electronic Skin Based on Graphene Film
mdpi.com
Interaction with a Hand Rehabilitation Exoskeleton in EMG-Driven ...
mdpi.com
Thermal CVD system for CNT synthesis MPCVD-50
jescoprojects.com
Mechanical Behaviour of Silicone Membranes Saturated with Short Strand ...
mdpi.com
Amines: Nomenclature, Isomerism, Basic Characters|Chemistry Page
chemistrypage.in
PDMS-20-250-250 LIMITLESS SHIELDING LIMITED | Tapes, Adhesives ...
digikey.in
Nanowatts Technologies - Microfluidic Medical Device Fabrication ...
nanowattstech.com
Preeti Ranjan Panda
cse.iitd.ernet.in
GAAFET Semiconductor pvt ltd
gaafetsemi.com
Amino Acids Biology LibreTexts, 55% OFF | www.elevate.in
elevate.in
how many amines are possible with the molecular formula c4h11n - Brainly.in
brainly.in
(S)-N-Glycidylphthalimide 161596-47-0 | Tokyo Chemical Industry (India ...
tcichemicals.com
Silicone Fluid And Emulsions - Rubber Silicone Emulsion Manufacturer ...
siliconeproducts.in
Gallery :: Ashis Research Group
ashislab.in
SPME Fiber Assembly 50/30µm DVB/CAR/PDMS, Metal Alloy (1cm), needle ...
sigmaaldrich.com
Indian Uber Driver in Poland Reveals His Income » Car Blog India
carblogindia.com
ohv diagnostic
ohv-diagnostic.in
Glyoxal, 40% - Manufacturers & Suppliers | India
ottokemi.com
Gallery :: Ashis Research Group
ashislab.in
Gallery :: Ashis Research Group
ashislab.in
Search
×
Search
Loading...
No suggestions found