Find Your Style
Women
Men
Accessories
Search for clothing, brands, styles...
×
Women
Men
Accessories
Percent Difference Question
Search
Loading...
No suggestions found
INR Full Form
adda247.com
INR Full Form: What is full form of INR?
bankersadda.com
Print question on KBC for INR one-crore | PrintWeekIndia
printweek.in
Focus Lighting and Fixtures Achieves INR 86 Cr Standalone Total Income ...
aninews.in
Fredun Pharmaceuticals Reports 61 percent YoY Growth in EBITDA to INR ...
aninews.in
Percentages Year 6 Worksheets KS2 Differentiated Quantities
twinkl.co.in
What is different between percentage and percentile? - EduRev Class 10 ...
edurev.in
Percent Difference Formula, Definition, Solved Examples
pw.live
50+ Percents worksheets for 7th Class on Quizizz | Free & Printable
wayground.com
๐ Simple Percentage Increase and Decrease Worksheet
twinkl.co.in
What is the difference between Percentage and Percentile? Know about ...
jagranjosh.com
Percentage Error Formula and Questions with Examples
adda247.com
Percent Decrease Formula - How To Calculate And Examples
pw.live
50+ Percent Problems worksheets for 5th Class on Quizizz | Free & Printable
wayground.com
Percent Difference Formula- How To Calculate Percentage Difference ...
1investing.in
Difference Between Percentage and Percentile? Know ALL About Percentage ...
jagranjosh.com
๐ Y6 White Rose: Interactive Percentage of a Quantity PDF
twinkl.co.in
50+ Percent Problems worksheets for 5th Class on Quizizz | Free & Printable
wayground.com
Percentage Difference Calculator: Quick and Accurate
jainuniversity.ac.in
Percentage Questions For Competitive Exam
bankersadda.com
[Video] A person buys tea of three different qualities at โน 800, โน 500 ...
cracku.in
Percentages Activities - Twinkl Homework Help - Twinkl
twinkl.co.in
Aptitude Percentage Problems Tips, Tricks and shortcuts
sitesbay.com
Percentage Questions For Competitive Exam
bankersadda.com
Class 6 - Percentage | Math Practice, Questions, Tests, Worksheets ...
in.edugain.com
Part Whole Percent Worksheet | Math Resource | Twinkl USA
twinkl.co.in
[Video] Anil, Bobby, and Chintu jointly invest in a business and agree ...
cracku.in
View question - Percentage
web2.0calc.com
Percentage Formula, Percentage Calculator and Questions
sscadda.com
View question - what percentage is 1 out of every 6
web2.0calc.com
๐ Percentage Change Worksheet (teacher made) - Twinkl
twinkl.co.in
Mixed Percentage Questions PowerPoint
twinkl.co.in
Percentage Error Formula and Questions with Examples
adda247.com
View question - Percent
web2.0calc.com
Find the Percentage Loss Worksheet 1
twinkl.co.in
Percentage Formula, Percentage Calculator and Questions
sscadda.com
Find the Percentage Profit Worksheet 1
twinkl.co.in
View question - Percentage Problem!
web2.0calc.com
RRB NTPC UG Percentage Questions 2025, Top 20 Most Expected Quant ...
infoeazy.com
Percentage Formula, Percentage Calculator and Questions
sscadda.com
Most Important CAT Quant Percentage Questions PDF
cracku.in
What Is Finding the Difference? | Maths Definition & Examples | Twinkl
twinkl.co.in
What Is Finding the Difference? | Maths Definition & Examples | Twinkl
twinkl.co.in
Formula to Calculate Sales Percentage in Excel
encodedna.com
Short Questions and Answers - Newton's Divided Differences interpolation
eee.poriyaan.in
Year 2 Finding the Difference Differentiated Worksheet / Worksheets
twinkl.co.in
Descriptive vs Inferential Statistics
arockialiborious.com
10 Percentage Questions | Percentage Questions & Answers
twinkl.co.in
Karat โ Fiona Diamonds
fionadiamonds.com
[Video] One part of a hostelโs monthly expenses is fixed, and the other ...
cracku.in
Draw a flowchart to take marks of 5 subjects of students and calculate ...
brainly.in
Solved: How to show percentage change in Bar chart visual ...
community.fabric.microsoft.com
Q5. Study the given double bar graph answer the following questions ...
brainly.in
How to Calculate Percentage Between Two Numbers? - Aiwa Calculator
aiwamasr.com
View question - Growth factor to Percent Change
web2.0calc.com
Percentage Question and Answers For SSC CGL Exam
adda247.com
Differetiate between primary data and secondary data? - EduRev Class 11 ...
edurev.in
[Video] A shop owner bought a total of 64 shirts from a wholesale ...
cracku.in
Percentage Formula, Percentage Calculator and Questions
sscadda.com
Percentage Calculator - India Dictionary
1investing.in
IPMAT Indore - If the difference between compound interest and simple ...
afterboards.in
MTG CBSE Class-11 100 Percent Mathematics For 2025-26 Exam | As Per ...
flipkart.com
MTG CBSE Class-12 100 Percent Biology For 2025-26 Board Exam | As Per ...
pricehistoryapp.com
SATHEE: Percentage Practice Questions for SSC
satheessc.iitk.ac.in
Percentages Conversions Workbooks | Math activities
math-center.org
what is difference between inhalation and exhalation - Brainly.in
brainly.in
MTG 100 Percent Science Text Book Class 10 with CBSE Chapterwise ...
amazon.in
[Video] Bank A offers 6% interest rate per annum compounded half-yearly ...
cracku.in
A cell of emf (E) and internal resistance r is connected across a ...
brainly.in
[Video] Anil invests some money at a fixed rate of interest, compounded ...
cracku.in
evaluate 12 1/2 percent of 625 - Brainly.in
brainly.in
TRY THESE1. A shopkeeper bought two TV sets at 10,000 each. He sold one ...
brainly.in
Class 7 - Percentage | Math Practice, Questions, Tests, Worksheets ...
in.edugain.com
Test Your Visual Acuity with This Spot the Difference Puzzle
jagranjosh.com
Percentage - General Questions
indbix.in
Phantom Digital Effects Limited Delivers Exceptional H1 FY26 ...
aninews.in
MTG 100 Percent Science Text Book Class 10 with CBSE Chapterwise ...
amazon.in
Quality Engineer Question Answer Bank PPT โ Smart Office Template (INR)
smartofficetemplates.myshopify.com
View question - Find the percent change and round to the nearest tenth ...
web2.0calc.com
Sum, Difference, Product, Quotient - Vocab/Practice Questions | TPT
teacherspayteachers.com
MTG CBSE Class-11 100 Percent Mathematics For 2025-26 Exam | As Per ...
flipkart.com
Percentage Question and Answers For SSC CGL Exam
adda247.com
Percentage Question and Answers For SSC CGL Exam
adda247.com
Climate Class 9 Important Questions Social Science Geography Chapter 4 ...
amreshacademy.in
15 questions on profit and loss - Brainly.in
brainly.in
What is the difference between the eastern ghats and western ghats ...
edurev.in
Class 10-100 Percent Exam Ready Cbse Board Term 1 Objective Question ...
flipkart.com
100 Percent Exam Ready CBSE Board Term 1 Objective Question Bank ...
flipkart.com
[Video] The cost of fencing a rectangular plot is โน 200 per ft along ...
cracku.in
Spot the Difference Worksheet / Worksheet - Spot the Difference Worksheet
twinkl.co.in
Difference between Distance and Displacement for Class 9
adda247.com
A cell having an emf E and internal resistance r is connected across a ...
brainly.in
Class 7 - Percentage | Math Practice, Questions, Tests, Worksheets ...
in.edugain.com
Percentage Question and Answers For SSC CGL Exam
adda247.com
Administration of Warfarin Inhibits the Development of Cerulein-Induced ...
mdpi.com
Difference between `S_N1 and S_N2` reaction
allen.in
Percentage Question and Answers For SSC CGL Exam
adda247.com
Apex Ecotech Limited Reports Strong H1 FY26 Results, Revenue Surges 50. ...
aninews.in
1 million dong in indian rupees - Brainly.in
brainly.in
Pw Cbse 15 New Pattern Sample Question Papers Class 10 | Desertcart INDIA
desertcart.in
Sum, Difference, Product, Quotient - Vocab/Practice Questions | TPT
teacherspayteachers.com
[Video] Anil can paint a house in 60 days while Bimal can paint it in ...
cracku.in
draw and identify different elements of xylem and phloem 8 points ...
brainly.in
Difference between climate and weather? - EduRev Class 9 Question
edurev.in
Printable Year 4 Maths Worksheets incl. FREE Resources
twinkl.co.in
[Video] Amal purchases some pens at โน 8 each. To sell these, he hires ...
cracku.in
MTG 100 Percent Science Text Book Class 9 with CBSE Chapterwise ...
pricehistoryapp.com
OMR Sheets for Practice 180 MCQs by BUNGBEE - 100 Sheets Spiral ...
amazon.in
History Previous year question papers semester 4 - 9082 9082 Was the ...
studocu.com
MTG 100 Percent Science Text Book Class 10 with CBSE Chapterwise ...
amazon.in
Op-amp Subtractor or Difference Amplifier - Working Principle, Circuit ...
eee.poriyaan.in
MTG CBSE Class-10 100 Percent Science For 2025-26 Exam | As Per Latest ...
flipkart.com
Year 2 Maths Problem Solving with Bar Models Homework Differentiated
twinkl.co.in
Basic Electrical Questions AND Answers - BASIC ELECTRICAL QUESTIONS AND ...
studocu.com
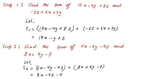
[tex]subtract \: the \: sum \: of \: 13x + 4y - 7z \: and \: - 6z + 6x ...
brainly.in
The values of current I flowing in a given resistor for the ...
brainly.in
Data Science vs. Data Analytics: Whatโs the Difference?
vtricks.in
USD/INR Cracks Big: Falls 2% in 4 Days! | Investing.com India
in.investing.com
[Video] A tea shop offers tea in cups of three different sizes. The ...
cracku.in
Current, Resistance, Potential Difference Worksheet | Beyond
twinkl.co.in
Related Searches
How to Find Percent Difference
Formula for Percent Difference
Calculating Percent Difference
Percent Difference Equation
Percent Error Percent Difference
Calculate Percent Difference
What Is the Percent Difference Formula
Percent Difference Forum
How You Find Percent Difference
Percent Difference in Chemistry
Percent and Percentage Difference
Percent Difference Formula Experiment
Hot to Find Percent Difference
Percent Difference with a True Value
Percent Difference Science Calculator
Percent Difference Formula Physics
Novare Percent Difference
Percent Error Vs. Difference
Percent Difference Formula From Target
Percent Difference Equ
Percent Difference Formula Actual Theoretical
Percent S Difference Formula
Percent Difference From Non Average
Percent Difference Eqn
Percent Difference Equiatoin Experiment
Percent Difference From Mean
Percent Difference Equation in Expirement
Difference Between Percent and Percent Point
B as Percent Difference to A
Percent Difference Between 101 and 57
Percent Difference Formula Known and Experimental
50 Percent Questions
Percent Difference Sample Formula
How Do You Find the Percent Difference
Percent Difference in Momentum Formula
Percet Differnce Formuka
Percent Diference Equatin
How to Do Percent Difference EQ
Percent Difference Measured vs Calculated
Difference Between Percent Difference and Percent Change
How to Find Difference of Two Percents
Is Percent Error and Percent Difference the Same Thing
Percent Error and Percent Fference
Best Plot to Show Percent Difference
Relative Percent Difference Calculator
Angle Difference Formula
Equations Percent Error Percent Difference
Is Percent Difference Supposed to Be Negative
Percent Difference for Multiple Inputs
Percent Difference of Two Standard Solutions
Search
×
Search
Loading...
No suggestions found