Find Your Style
Women
Men
Accessories
Search for clothing, brands, styles...
×
Women
Men
Accessories
Periodontis Body
Search
Loading...
No suggestions found
INR Full Form: What is full form of INR?
bankersadda.com
Convert KWD TO INR | Kuwait Dinar to Indian Rupee
unimoni.in
Top 10 Countries Where INR Has the Highest Value in 2025
currentaffairs.adda247.com
Facts about Indian businessman who is buying Lavasa city for INR 1814 ...
timesofindia.indiatimes.com
Anand Kamalnayan Pandit — INR 8,660 Cr (Sri Lotus Developers & Realty ...
economictimes.indiatimes.com
Anand Kamalnayan Pandit — INR 8,660 Cr (Sri Lotus Developers & Realty ...
economictimes.indiatimes.com
Your Partner for Home INR Monitoring Services and Supplies | mdINR®
mdinr.com
Tourism projects worth INR 2500 cr delayed in Rajasthan, industry body ...
travel.economictimes.indiatimes.com
Anand Kamalnayan Pandit — INR 8,660 Cr (Sri Lotus Developers & Realty ...
economictimes.indiatimes.com
Decision to Withdraw 2,000 INR Note Won't Have Any Impact: Economist
sputniknews.in
Explore the smoothest whiskey collection: Best Scotch under INR 2000
lifestyleasia.com
Gensol Engineering Secures INR 186 Crore Contract for 23 MWp
psuconnect.in
KWD to INR conversionDownload it from KWD to INR conversion for free 7.99
durslt.du.ac.in
Perpetual Protocol Live Price Chart, PERP to INR live price and Market cap
suncrypto.in
Anand Kamalnayan Pandit — INR 8,660 Cr (Sri Lotus Developers & Realty ...
economictimes.indiatimes.com
Ugro Capital Crosses Inr 10000 crore aum milestone launches 10k ...
psuconnect.in
Jungle Camps India Limited aims for INR 100 cr revenue by 2028 ...
hospitality.economictimes.indiatimes.com
Indian Rupee (₹) - Buy INR Currency Online at Best Rates
makemytrip.com
medical-dental-science-disease-pathogenesis
jrmds.in
Periodontitis: Symptoms, Causes, Diagnosis and Treatments
medicoverhospitals.in
Interdental Papillary Reconstruction by Microtunnelling Technique Using ...
mdpi.com
Patients of autoimmune liver disease treated with immune suppressants ...
medicaldialogues.in
A Reciprocal Link between Oral, Gut Microbiota during Periodontitis ...
mdpi.com
Predictive Periodontitis: The Most Promising Salivary Biomarkers for ...
mdpi.com
Elderly patients with terminal dentition due to stage IV periodontitis ...
medicaldialogues.in
Periodontitis tied to increased risk of dyslipidemia: Study
medicaldialogues.in
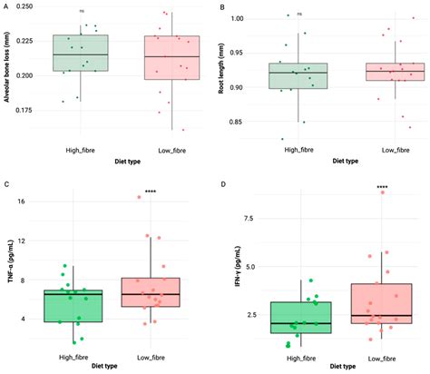
Dietary Fibre Modulates Body Composition, Blood Glucose, Inflammation ...
mdpi.com
Periodontitis
en.vikaspedia.in
Intraoral Ultrasonography for Periodontal Tissue Exploration: A Review
mdpi.com
Department of Periodontology & Implantology | IDS Barielly | Uttar Pradesh
idsbareilly.in
The Efficacy of Low-Level Laser Therapy Combined with Single Flap ...
mdpi.com
Hyderabad Dental Hospital » Periodontics
hyderabaddental.co.in
The Promising Role of Antioxidant Phytochemicals in the Prevention and ...
mdpi.com
Articles on Oral Health, Oral Hygiene and Oral Care
bajajfinservhealth.in
The Role of Vitamin C and Vitamin D in the Pathogenesis and Therapy of ...
mdpi.com
Periodontal Disease Model | DESCO
descomedicalindia.com
Gum Periodontal Disease: Guide on Easy Tips for Treatment
bajajfinservhealth.in
Dietary Fibre Modulates Body Composition, Blood Glucose, Inflammation ...
mdpi.com
Buy Lasers in Periodontics Book Online at Low Prices in India | Lasers ...
amazon.in
Essentials of Clinical Periodontology and Periodontics eBook : Reddy ...
amazon.in
Buy Periodontitis Staging and Grading Reference DIGITAL DOWNLOAD, Perio ...
etsy.com
MGM Dental College & Hospital | Periodontis
mgmdchnavimumbai.edu.in
Buy Chronic Periodontitis: Evidence Based Diagnosis and Treatment ...
amazon.in
Dietary Fibre Modulates Body Composition, Blood Glucose, Inflammation ...
mdpi.com
Dietary Fibre Modulates Body Composition, Blood Glucose, Inflammation ...
mdpi.com
Dietary Fibre Modulates Body Composition, Blood Glucose, Inflammation ...
mdpi.com
Buy Teeth Periodontal Disease Model Dental Caries Breakdown Display ...
desertcart.in
MGM Dental College & Hospital | Periodontis
mgmdchnavimumbai.edu.in
MGM Dental College & Hospital | Periodontis
mgmdchnavimumbai.edu.in
Coagulation Analyzer - Micropoint Q3 Pro Electrometer PT-INR Trader ...
r2healthcare.in
Welcome to Dr.Gupta's Dental Specialities Centre
drguptadentalcare.com
Online Invoice Generator | Create a Bill - Wise
wise.com
How Warfarin Is Synthesized and Key Insights
medicoverhospitals.in
Periodontal Files GDC - Dentalmart
dentalmart.in
Warfarin Toxicity and Individual Variability—Clinical Case
mdpi.com
Best Gum Infection Treatment in Delhi - Periodontal Specialist
sterlingdentalclinic.com
USD/INR Cracks Big: Falls 2% in 4 Days! | Investing.com India
in.investing.com
India and Malaysia can now trade in Indian rupee
currentaffairs.adda247.com
Pediatric Dentistry : Periodontal Diseases : Periodontal Diseases ...
pediatriconcall.com
Gold Necklace Set for Women | Buy Gold Necklace Set Online India ...
manubhai.in
MGM Dental College & Hospital | Periodontis
mgmdchnavimumbai.edu.in
Currency Today: Euro Finds Footing, Dollar Whipsaws, Rupee Tanks | India
btcc.com
Sell USDC for USD | USDC to USD Calculator
binance.com
The Role of Vitamin C and Vitamin D in the Pathogenesis and Therapy of ...
mdpi.com
Administration of Warfarin Inhibits the Development of Cerulein-Induced ...
mdpi.com
International Journal of Periodontics & Restorative Dentistry ...
quintessence-publishing.com
Buy Antique Set Online | Antique Set by Manubhai.
manubhai.in
International Trade Settlement in Indian Rupee (INR)
taxguru.in
Buy Diamond Necklace Online | Diamond Set Online Manubhai Jewellers
manubhai.in
Buy Antique Set Online | Antique Set by Manubhai.
manubhai.in
Anticoagulation in Acute Pulmonary Embolism: Which Drug? How Long ...
universimed.com
How to change name in Land Registry
magicbricks.com
Buy Antique Set Online | Antique Set by Manubhai.
manubhai.in
The Efficacy of Low-Level Laser Therapy Combined with Single Flap ...
mdpi.com
Buy Gold Pendant Set with Earrings Online India | Latest Gold Pendant ...
manubhai.in
Fed’s 75 bps Hike: Rupee Falls to Record Low, Sets Eye for ‘82 ...
in.investing.com
Buy Diamond Necklace Online | Diamond Set Online Manubhai Jewellers
manubhai.in
Transgingival antimicrobial photodynamic therapy may reduce microbial ...
medicaldialogues.in
Wedding Edit – Page 2 – Gauri and Nainika
gauriandnainika.com
The Stages and Grades of Periodontitis Are Risk Indicators for Peri ...
mdpi.com
Minimally Invasive Periodontal Surgery: Buy Minimally Invasive ...
flipkart.com
Buy Manual of Clinical Periodontics Book Online at Low Prices in India ...
amazon.in
Gold Necklace Set for Women | Buy Gold Necklace Set Online India ...
manubhai.in
Buy Manual of Clinical Periodontics Book Online at Low Prices in India ...
amazon.in
International Journal of Periodontics & Restorative Dentistry, 01/2024 ...
quintessence-publishing.com
Wedding Edit – Page 2 – Gauri and Nainika
gauriandnainika.com
Tatcha Indigo Overnight Repair: Benefits & Full Review - Epicfashion
epicfashion.in
Gold Necklace Set for Women | Buy Gold Necklace Set Online India ...
manubhai.in
Panel Comp Side Sill, R/L
skhgroup.co.in
Buy Gold Set Online | Gold Set by Manubhai.
manubhai.in
MGM Dental College & Hospital | Periodontis
mgmdchnavimumbai.edu.in
1 million dong in indian rupees - Brainly.in
brainly.in
Role of Biomaterials Used for Periodontal Tissue Regeneration—A Concise ...
mdpi.com
Gold Necklace Set with Price | Buy Gold Necklace Set Online
manubhai.in
Diamond Earrings Designs | Buy Diamond Earrings Online India - Manubhai ...
manubhai.in
Viruet Periodontics Office Photos
glassdoor.co.in
Plant Synthetic Promoters: Advancement and Prospective
mdpi.com
Periodontal Ligament - about pdl - PERIODONTAL LIGAMENT The normal ...
studocu.com
MGM Dental College & Hospital | Periodontis
mgmdchnavimumbai.edu.in
MGT-6 Form Filing Process and Key Requirements
taxguru.in
Periodontitis & Diabetes: A Complete Guide | Expert Tips
tap.health
Diamond Necklace Designs | Buy Diamond Necklace Set Online at Best ...
manubhai.in
Buy Gold Earrings Online | Gold Earrings by Manubhai.
manubhai.in
Essentials of Clinical Periodontology & Periodontics: Buy Essentials of ...
flipkart.com
Collections
svbventures.in
Buy Gold Pendant Set with Earrings Online India | Latest Gold Pendant ...
manubhai.in
USD/INR Breaking Imp. Trendline; Is Nifty 50 Topping Out? | Investing ...
in.investing.com
Diamond Necklace Designs | Buy Diamond Necklace Set Online at Best ...
manubhai.in
ILT20 auction: Complete list of players sold and their prices | Cricket ...
crickettimes.com
Buy Real Diamond Set Online | Real Diamond Set by Manubhai.
manubhai.in
Blood thinning Diet: Foods to eat and foods to avoid | Sprint Medical
sprintmedical.in
Buy Antique Set Online | Antique Set by Manubhai.
manubhai.in
International Trade Settlement in Indian Rupee (INR)
taxguru.in
Manubhai Jewellers | Gold & Diamond Jewellers in Borivali, Mumbai
manubhai.in
Best Online Shopping Store in Delhi for Top Global Brands | Ubuy
ubuy.co.in
Sri Lanka and Russia in talks to use the rupee in foreign trade
currentaffairs.adda247.com
Gold Necklace Set for Women | Buy Gold Necklace Set Online India ...
manubhai.in
Back To Black: | Grazia India
grazia.co.in
Contact – valientecaps
valientecaps.com
Did You Know About India's Rs 10,000 Rupee Note
indiatimes.com
Related Searches
Periodontal Disease
Periodontitis
Advanced Periodontitis
Permanent Dental Implants
Gum Disease
Periodontal Laser
Dental Implant Illustration
Periodontitis Treatment
Periodontitis Stages
Cosmetic Dentistry
Dental Implant Surgeon
Laser Periodontal Therapy
Prosthodontist
Early Periodontitis
Periodontist Dentist
Dental Tooth Implants Procedure
Severe Gum Disease
Gingivitis Gums
Periodontal Disease Chart
Orthodontist
Perio Surgery
Tartar Build Up
Invisalign Process
Pyorrhoea
Surgical Tooth Extraction
Gum Recession Surgery
Types of Periodontitis
Ultrasonic Dental Cleaning
Gingival Graft
Periodontitis Symptoms
Cat Periodontal Disease
Fistula Dental
Osseous Surgery for Periodontal Disease
Gingivitis Before and After Treatment
Periodontitis Bone Loss
Periodontitt Kirurgi
Chronic Periodontitis
Smith Periodontist
Gum Abscess
What Is Periodontal Disease
Alveolitis
Dental Implant Technology
Periodontology Logo
Gum Flap Surgery
Female Dentist
Late-Stage Gingivitis
Dental Therapist
Dental Plaque
Gingivoplasty vs Gingivectomy
Dental Probe
Search
×
Search
Loading...
No suggestions found